• 文献检索
  • 文档翻译
  • 深度研究
  • 学术资讯
  • Suppr Zotero 插件Zotero 插件
  • 邀请有礼
  • 套餐&价格
  • 历史记录
应用&插件
Suppr Zotero 插件Zotero 插件浏览器插件Mac 客户端Windows 客户端微信小程序
定价
高级版会员购买积分包购买API积分包
服务
文献检索文档翻译深度研究API 文档MCP 服务
关于我们
关于 Suppr公司介绍联系我们用户协议隐私条款
关注我们

Suppr 超能文献

核心技术专利:CN118964589B侵权必究
粤ICP备2023148730 号-1Suppr @ 2026

文献检索

告别复杂PubMed语法,用中文像聊天一样搜索,搜遍4000万医学文献。AI智能推荐,让科研检索更轻松。

立即免费搜索

文件翻译

保留排版,准确专业,支持PDF/Word/PPT等文件格式,支持 12+语言互译。

免费翻译文档

深度研究

AI帮你快速写综述,25分钟生成高质量综述,智能提取关键信息,辅助科研写作。

立即免费体验

苏格兰疼痛管理项目参与情况的社会人口统计学预测因素

Sociodemographic predictors of attendance at a Scottish pain management programme.

作者信息

Moore F R, Williams L, Dunbar M

机构信息

Phoenix Centre, Raigmore Hospital, Inverness, UK.

New Victoria Hospital, Glasgow, UK.

出版信息

Br J Pain. 2021 Nov;15(4):393-400. doi: 10.1177/2049463720970579. Epub 2020 Nov 6.

DOI:10.1177/2049463720970579
PMID:34840787
原文链接:https://pmc.ncbi.nlm.nih.gov/articles/PMC8611294/
Abstract

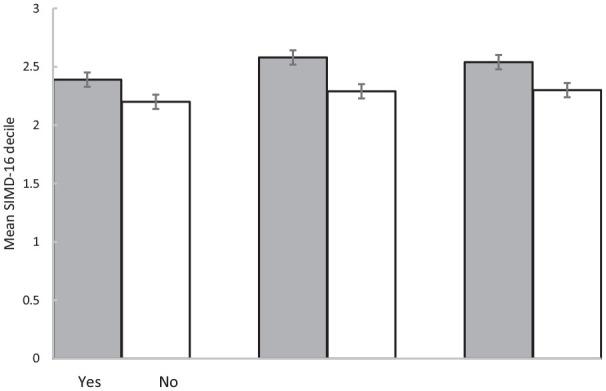
We examined relationships between various sociodemographic factors and attendance at the Glasgow Pain Management Programme (n = 2899 from 2011 to 2019). We tested for associations between gender, age and socioeconomic deprivation of patients who were invited to attend, and uptake to a programme when invited, attendance at screening assessment, eligibility, adherence and attendance at 3- and 6-month reviews. Uptake was significantly higher for patients from more affluent areas (95% confidence interval (CI) = 0.93-0.99, p = 0.002) and for older patients (95% CI = 0.98-0.99, p = 0.006), although effect sizes were very small. Patients were significantly more likely to be assessed as suitable if they were younger (95% CI = 0.98-0.99, p = 0.013) or female (95% CI = 0.55-0.84, p < 0.001). Attendance at sessions and at 3- and 6-month reviews was higher for patients from more affluent areas (95% CI = 1-1.09, p = 0.001, and 95% CI = 1-1.1, p = 0.044 respectively). We argue that there are multiple potential explanations for these findings and that future work should attempt to determine whether these patterns replicate in other populations and to determine any modifiable causes.

摘要

我们研究了各种社会人口学因素与参加格拉斯哥疼痛管理项目(2011年至2019年期间共2899例)之间的关系。我们测试了受邀患者的性别、年龄和社会经济剥夺程度与受邀参加项目的接受率、筛查评估的出勤率、资格、依从性以及3个月和6个月复查的出勤率之间的关联。来自更富裕地区的患者接受率显著更高(95%置信区间(CI)=0.93 - 0.99,p = 0.002),老年患者也是如此(95% CI = 0.98 - 0.99,p = 0.006),尽管效应量非常小。如果患者年龄较小(95% CI = 0.98 - 0.99,p = 0.013)或为女性(95% CI = 0.55 - 0.84,p < 0.001),则他们被评估为合适的可能性显著更高。来自更富裕地区的患者参加课程以及3个月和6个月复查的出勤率更高(95% CI分别为1 - 1.09,p = 0.001,以及95% CI为1 - 1.1,p = 0.044)。我们认为对于这些发现有多种潜在解释,并且未来的工作应该尝试确定这些模式是否在其他人群中重现,并确定任何可改变的原因。

https://cdn.ncbi.nlm.nih.gov/pmc/blobs/f414/8611294/c6ea79b6aac7/10.1177_2049463720970579-fig3.jpg
https://cdn.ncbi.nlm.nih.gov/pmc/blobs/f414/8611294/98e6f0c109e4/10.1177_2049463720970579-fig1.jpg
https://cdn.ncbi.nlm.nih.gov/pmc/blobs/f414/8611294/1d88601b5999/10.1177_2049463720970579-fig2.jpg
https://cdn.ncbi.nlm.nih.gov/pmc/blobs/f414/8611294/c6ea79b6aac7/10.1177_2049463720970579-fig3.jpg
https://cdn.ncbi.nlm.nih.gov/pmc/blobs/f414/8611294/98e6f0c109e4/10.1177_2049463720970579-fig1.jpg
https://cdn.ncbi.nlm.nih.gov/pmc/blobs/f414/8611294/1d88601b5999/10.1177_2049463720970579-fig2.jpg
https://cdn.ncbi.nlm.nih.gov/pmc/blobs/f414/8611294/c6ea79b6aac7/10.1177_2049463720970579-fig3.jpg

相似文献

1
Sociodemographic predictors of attendance at a Scottish pain management programme.苏格兰疼痛管理项目参与情况的社会人口统计学预测因素
Br J Pain. 2021 Nov;15(4):393-400. doi: 10.1177/2049463720970579. Epub 2020 Nov 6.
2
3
Effect of ethnicity and other sociodemographic factors on attendance at diabetic eye screening: a 12-month retrospective cohort study.种族和其他社会人口因素对糖尿病眼病筛查参与度的影响:一项为期 12 个月的回顾性队列研究。
BMJ Open. 2021 Sep 17;11(9):e046264. doi: 10.1136/bmjopen-2020-046264.
4
NHS health checks: a cross- sectional observational study on equity of uptake and outcomes.英国国家医疗服务体系健康检查:一项关于接受率和结果公平性的横断面观察研究。
BMC Health Serv Res. 2018 Apr 3;18(1):238. doi: 10.1186/s12913-018-3027-8.
5
Demographic and practice factors predicting repeated non-attendance in primary care: a national retrospective cohort analysis.预测初级保健中反复缺勤的人口统计学和实践因素:一项全国性回顾性队列分析。
Lancet Public Health. 2017 Dec;2(12):e551-e559. doi: 10.1016/S2468-2667(17)30217-7. Epub 2017 Dec 5.
6
Structured, intensive education maximising engagement, motivation and long-term change for children and young people with diabetes: a cluster randomised controlled trial with integral process and economic evaluation - the CASCADE study.结构化、强化教育最大限度地提高糖尿病患儿和青少年的参与度、积极性和长期改变:一项具有整体过程和经济评估的群组随机对照试验 - CASCADE 研究。
Health Technol Assess. 2014 Mar;18(20):1-202. doi: 10.3310/hta18200.
7
8
Predictors of non-attendance for second round mammography in an Australian mammographic screening programme.澳大利亚乳腺钼靶筛查项目中第二轮乳腺钼靶检查未参加的预测因素。
J Med Screen. 2000;7(4):190-4. doi: 10.1136/jms.7.4.190.
9
Sociodemographic and lifestyle determinants of non-attendance for cervical cancer screening in Lithuania, 2006-2014.立陶宛 2006-2014 年宫颈癌筛查未就诊的社会人口学和生活方式决定因素。
Public Health. 2018 Mar;156:79-86. doi: 10.1016/j.puhe.2017.12.014. Epub 2018 Feb 3.
10
Prospective study of predictors of attendance for breast screening in inner London.伦敦市中心区乳腺癌筛查就诊预测因素的前瞻性研究。
J Epidemiol Community Health. 1994 Feb;48(1):65-73. doi: 10.1136/jech.48.1.65.

引用本文的文献

1
Intersectionality as a theoretical framework for researching health inequities in chronic pain.交叉性作为研究慢性疼痛中健康不平等问题的理论框架。
Br J Pain. 2023 Oct;17(5):479-490. doi: 10.1177/20494637231188583. Epub 2023 Jul 9.
2
Delivering equitable pain care: Lessons from the Scottish Service Model for Chronic Pain.提供公平的疼痛护理:苏格兰慢性疼痛服务模式的经验教训。
Br J Pain. 2023 Jun;17(3):222-225. doi: 10.1177/20494637231180485. Epub 2023 May 30.
3
How has the COVID-19 pandemic affected patients' experience of pain management therapy?

本文引用的文献

1
Chronic pain: a review of its epidemiology and associated factors in population-based studies.慢性疼痛:基于人群的研究中其流行病学及相关因素的综述。
Br J Anaesth. 2019 Aug;123(2):e273-e283. doi: 10.1016/j.bja.2019.03.023. Epub 2019 May 10.
2
Morbidity, mortality and missed appointments in healthcare: a national retrospective data linkage study.在医疗保健中发病率、死亡率和错过预约:一项全国性回顾性数据链接研究。
BMC Med. 2019 Jan 11;17(1):2. doi: 10.1186/s12916-018-1234-0.
3
Predictors of dropout in interdisciplinary chronic pain management programmes: A systematic review.
新冠疫情如何影响患者的疼痛管理治疗体验?
Br J Pain. 2023 Feb;17(1):46-57. doi: 10.1177/20494637221121703. Epub 2022 Nov 24.
跨学科慢性疼痛管理项目中辍学的预测因素:系统评价。
J Rehabil Med. 2019 Jan 1;51(1):2-10. doi: 10.2340/16501977-2502.
4
Demographic and practice factors predicting repeated non-attendance in primary care: a national retrospective cohort analysis.预测初级保健中反复缺勤的人口统计学和实践因素:一项全国性回顾性队列分析。
Lancet Public Health. 2017 Dec;2(12):e551-e559. doi: 10.1016/S2468-2667(17)30217-7. Epub 2017 Dec 5.
5
Persistent pain after caesarean section and its association with maternal anxiety and socioeconomic background.剖宫产术后的持续性疼痛及其与产妇焦虑和社会经济背景的关联。
Int J Obstet Anesth. 2017 Feb;29:57-63. doi: 10.1016/j.ijoa.2016.10.004. Epub 2016 Oct 13.
6
Impact of deprivation on occurrence, outcomes and health care costs of people with multiple morbidity.剥夺对多病患者的发生、结局和医疗费用的影响。
J Health Serv Res Policy. 2013 Oct;18(4):215-23. doi: 10.1177/1355819613493772. Epub 2013 Aug 14.
7
'You say treatment, I say hard work': treatment burden among people with chronic illness and their carers in Australia.“你说治疗,我说努力工作”:澳大利亚慢性病患者及其照顾者的治疗负担。
Health Soc Care Community. 2013 Nov;21(6):665-74. doi: 10.1111/hsc.12052. Epub 2013 May 23.
8
Socioeconomic status affects the Oxford knee score and short-form 12 score following total knee replacement.社会经济地位会影响全膝关节置换术后的牛津膝关节评分和 12 项简短健康调查量表评分。
Bone Joint J. 2013 Jan;95-B(1):52-8. doi: 10.1302/0301-620X.95B1.29749.
9
Explaining variation in referral from primary to secondary care: cohort study.解释从初级保健到二级保健的转诊差异:队列研究。
BMJ. 2010 Nov 30;341:c6267. doi: 10.1136/bmj.c6267.
10
Help-seeking behaviour among people living with chronic hip or knee pain in the community.社区中慢性髋或膝关节疼痛人群的求助行为。
BMC Musculoskelet Disord. 2009 Dec 7;10:153. doi: 10.1186/1471-2474-10-153.