Suppr超能文献

热量限制会导致出芽酵母的静止和非静止细胞中脂质组发生明显的重组。

Caloric restriction causes a distinct reorganization of the lipidome in quiescent and non-quiescent cells of budding yeast.

作者信息

Mohammad Karamat, Orfanos Emmanuel, Titorenko Vladimir I

机构信息

Department of Biology, Concordia University, Montreal, Quebec H4B 1R6, Canada.

出版信息

Oncotarget. 2021 Nov 23;12(24):2351-2374. doi: 10.18632/oncotarget.28133.

Abstract

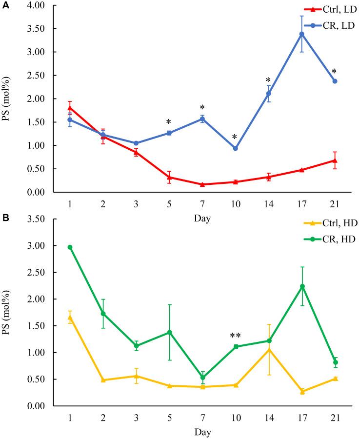
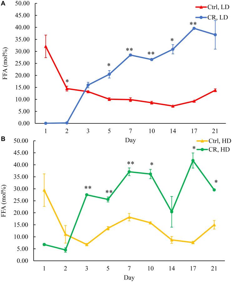
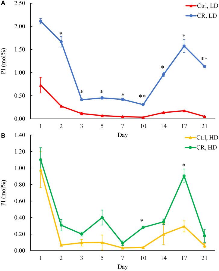
After budding yeast cells cultured in a nutrient-rich liquid medium with 0.2% glucose (under caloric restriction conditions) or 2% glucose (under non-caloric restriction conditions), ferment glucose to ethanol and then consume ethanol, they enter the stationary phase. The process of their chronological aging begins. At that point, the yeast culture starts to accumulate quiescent and non-quiescent cells. Here, we purified the high- and low-density populations of quiescent and non-quiescent cells from the yeast cultures limited in calorie supply or not. We then employed mass spectrometry-based quantitative lipidomics to assess the aging-associated changes in high- and low-density cells' lipidomes. We found that caloric restriction, a geroprotective dietary intervention, alters the concentrations of many lipid classes through most of the chronological lifespan of the high- and low-density populations of quiescent and non-quiescent cells. Specifically, caloric restriction decreased triacylglycerol, increased free fatty acid, elevated phospholipid and amplified cardiolipin concentrations. Based on these findings, we propose a hypothetical model for a caloric restriction-dependent reorganization of lipid metabolism in budding yeast's quiescent and non-quiescent cells. We also discovered that caloric restriction creates lipidomic patterns of these cells that differ from those established by two other robust geroprotectors, namely the mutation and lithocholic acid.

摘要

在营养丰富的液体培养基中培养的出芽酵母细胞,在含有0.2%葡萄糖(热量限制条件下)或2%葡萄糖(非热量限制条件下)时,先将葡萄糖发酵为乙醇,然后消耗乙醇,之后进入稳定期。它们的时序衰老过程开始。此时,酵母培养物开始积累静止和非静止细胞。在这里,我们从热量供应受限或不受限的酵母培养物中纯化出了静止和非静止细胞的高密度和低密度群体。然后,我们采用基于质谱的定量脂质组学方法来评估高密度和低密度细胞脂质组中与衰老相关的变化。我们发现,热量限制作为一种具有老年保护作用的饮食干预措施,在静止和非静止细胞的高密度和低密度群体的大部分时序寿命中改变了许多脂质类别的浓度。具体而言,热量限制降低了三酰甘油水平,增加了游离脂肪酸含量,提高了磷脂水平,并放大了心磷脂浓度。基于这些发现,我们提出了一个关于出芽酵母静止和非静止细胞中热量限制依赖性脂质代谢重组的假设模型。我们还发现,热量限制产生的这些细胞的脂质组模式与另外两种强大的老年保护剂(即突变和石胆酸)所建立的模式不同。

https://cdn.ncbi.nlm.nih.gov/pmc/blobs/3454/8629408/defc032c35c7/oncotarget-12-2351-g001.jpg

文献AI研究员

20分钟写一篇综述,助力文献阅读效率提升50倍。

立即体验

用中文搜PubMed

大模型驱动的PubMed中文搜索引擎

马上搜索

文档翻译

学术文献翻译模型,支持多种主流文档格式。

立即体验