de Oliveira Matheus Mendes, Forsberg Sven, Selegård Linnéa, Carastan Danilo Justino
Center for Engineering, Modeling and Applied Social Sciences, Federal University of ABC, Santo André, São Paulo 09210580, Brazil.
2D fab, 85350 Sundsvall, Sweden.
Polymers (Basel). 2021 Nov 26;13(23):4128. doi: 10.3390/polym13234128.
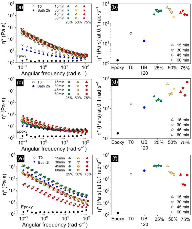
Graphene nanoplatelets (GNP) and carbon nanotubes (CNT) are used to enhance electrical and mechanical properties of epoxy-based nanocomposites. Despite the evidence of synergetic effects in the hybrid GNP-CNT-epoxy system, there is still a lack of studies that focus on the influence of different dispersion methods on the final properties of these ternary systems. In the present work, direct and indirect ultrasonication methods were used to prepare single- and hybrid-filled GNP-CNT-epoxy nanocomposites, varying the amplitude and time of sonication in order to investigate their effect on electrical and thermomechanical properties. Impedance spectroscopy was combined with rheology and electron microscopy to show that high-power direct sonication tends to degrade electrical conductivity in GNP-CNT-epoxy nanocomposites due to damage caused in the nanoparticles. CNT-filled samples were mostly benefitted by low-power direct sonication, achieving an electrical conductivity of 1.3 × 10 S·m at 0.25 wt.% loading, while indirect sonication was not able to properly disperse the CNTs and led to a conductivity of 1.6 ± 1.3 × 10. Conversely, specimens filled with 2.5 wt. % of GNP and processed by indirect sonication displayed an electrical conductivity that is up to 4 orders of magnitude higher than when processed by direct sonication, achieving 5.6 × 10 S·m. The introduction of GNP flakes improved the dispersion state and conductivity in hybrid specimens processed by indirect sonication, but at the same time impaired these properties for high-power direct sonication. It is argued that this contradictory effect is caused by a selective localization of shorter CNTs onto GNPs due to strong π-π interactions when direct sonication is used. Dynamic mechanical analysis showed that the addition of nanofillers improved epoxy's storage modulus by up to 84%, but this property is mostly insensitive to the different processing parameters. Decrease in crosslinking degree and presence of residual solvent confirmed by Fourier-transform infrared spectroscopy, however, diminished the glass transition temperature of the nanocomposites by up to 40% when compared to the neat resin due to plasticization effects.
石墨烯纳米片(GNP)和碳纳米管(CNT)被用于增强环氧基纳米复合材料的电学和力学性能。尽管有证据表明在GNP-CNT-环氧混合体系中存在协同效应,但仍缺乏专注于不同分散方法对这些三元体系最终性能影响的研究。在本工作中,采用直接和间接超声处理方法制备了单填充和混合填充的GNP-CNT-环氧纳米复合材料,改变超声处理的振幅和时间,以研究其对电学和热机械性能的影响。将阻抗谱与流变学和电子显微镜相结合,结果表明,由于纳米颗粒受到损伤,高功率直接超声处理往往会降低GNP-CNT-环氧纳米复合材料的电导率。填充CNT的样品大多受益于低功率直接超声处理,在0.25 wt.% 的负载量下实现了1.3×10 S·m的电导率,而间接超声处理无法使CNT充分分散,导致电导率为1.6±1.3×10。相反,填充2.5 wt.% GNP并通过间接超声处理的样品,其电导率比直接超声处理时高出多达4个数量级,达到5.6×10 S·m。在通过间接超声处理的混合样品中,GNP薄片得引入改善了分散状态和电导率,但同时对于高功率直接超声处理而言,这些性能受到了损害。据认为,这种矛盾效应是由于在使用直接超声处理时,较短的CNT由于强烈的π-π相互作用而选择性地定位在GNP上所导致的。动态力学分析表明,添加纳米填料使环氧树脂的储能模量提高了高达84%,但该性能对不同的加工参数大多不敏感。然而,傅里叶变换红外光谱证实的交联度降低和残留溶剂的存在,由于增塑作用,与纯树脂相比,纳米复合材料的玻璃化转变温度降低了多达40%。