• 文献检索
  • 文档翻译
  • 深度研究
  • 学术资讯
  • Suppr Zotero 插件Zotero 插件
  • 邀请有礼
  • 套餐&价格
  • 历史记录
应用&插件
Suppr Zotero 插件Zotero 插件浏览器插件Mac 客户端Windows 客户端微信小程序
定价
高级版会员购买积分包购买API积分包
服务
文献检索文档翻译深度研究API 文档MCP 服务
关于我们
关于 Suppr公司介绍联系我们用户协议隐私条款
关注我们

Suppr 超能文献

核心技术专利:CN118964589B侵权必究
粤ICP备2023148730 号-1Suppr @ 2026

文献检索

告别复杂PubMed语法,用中文像聊天一样搜索,搜遍4000万医学文献。AI智能推荐,让科研检索更轻松。

立即免费搜索

文件翻译

保留排版,准确专业,支持PDF/Word/PPT等文件格式,支持 12+语言互译。

免费翻译文档

深度研究

AI帮你快速写综述,25分钟生成高质量综述,智能提取关键信息,辅助科研写作。

立即免费体验

利用果皮绿色合成银纳米颗粒:抗癌及抗菌活性

Ecofriendly Synthesis of Silver Nanoparticles Using Fruit Peels: Anticancer and Antimicrobial Activities.

作者信息

Baran Ayşe, Keskin Cumali, Baran Mehmet Fırat, Huseynova Irada, Khalilov Rovshan, Eftekhari Aziz, Irtegun-Kandemir Sevgi, Kavak Deniz Evrim

机构信息

Department of Biology, Graduate Education Institute, Mardin Artuklu University, Mardin, Turkey.

Department of Medical Services and Techniques, Vocational Higher School of Healthcare Studies, Mardin Artuklu University, Mardin, Turkey.

出版信息

Bioinorg Chem Appl. 2021 Nov 30;2021:2058149. doi: 10.1155/2021/2058149. eCollection 2021.

DOI:10.1155/2021/2058149
PMID:34887909
原文链接:https://pmc.ncbi.nlm.nih.gov/articles/PMC8651404/
Abstract

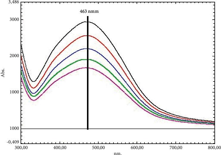
Metallic nanoparticles are valuable materials and have a range of uses. Nanoparticles synthesized from plant wastes by environment-friendly methods have attracted the attention of researchers in recent years. Also, the advantages of biological resources and synthesis methods are attracting attention. In this study, silver nanoparticles were synthesized from fruit peels using ecofriendly method steps. The characterization of the particles obtained was determined by using a UV-visible spectrophotometer (UV-Vis.), Fourier transform infrared spectroscopy (FTIR), X-ray diffraction diffractometer (XRD), Fourier scanning electron microscope (FESEM), and transmission electron microscopy (TEM). The nanoparticles showed maximum absorbance at 463 nm, measuring 11.61 in crystal nanosize, and presented spherical in appearance. An antimicrobial activity test was determined with the minimum inhibition concentration (MIC) method. The nanoparticles showed promising inhibitory activity on the Gram-positive and Gram-negative pathogen microorganisms ( ATCC25922, ATCC29213, ATCC11774, ATCC27833 bacteria, and yeast) at low concentrations. The cytotoxic and growth inhibitory effects of silver nanoparticles on different cancer cell lines were examined via the MTT assay.

摘要

金属纳米颗粒是有价值的材料,有一系列用途。近年来,通过环保方法从植物废料中合成的纳米颗粒引起了研究人员的关注。此外,生物资源和合成方法的优势也备受关注。在本研究中,采用环保方法步骤从果皮中合成了银纳米颗粒。使用紫外可见分光光度计(UV-Vis.)、傅里叶变换红外光谱仪(FTIR)、X射线衍射仪(XRD)、场发射扫描电子显微镜(FESEM)和透射电子显微镜(TEM)对所得颗粒进行表征。纳米颗粒在463nm处显示出最大吸光度,晶体纳米尺寸为11.61,外观呈球形。采用最低抑菌浓度(MIC)法进行抗菌活性测试。这些纳米颗粒在低浓度下对革兰氏阳性和革兰氏阴性病原微生物(ATCC25922、ATCC29213、ATCC11774、ATCC27833细菌和酵母)显示出有前景的抑制活性。通过MTT法检测了银纳米颗粒对不同癌细胞系的细胞毒性和生长抑制作用。

https://cdn.ncbi.nlm.nih.gov/pmc/blobs/3064/8651404/96b150595aec/BCA2021-2058149.004.jpg
https://cdn.ncbi.nlm.nih.gov/pmc/blobs/3064/8651404/c4f28afc7ac4/BCA2021-2058149.001.jpg
https://cdn.ncbi.nlm.nih.gov/pmc/blobs/3064/8651404/b4ad2392f5b6/BCA2021-2058149.002.jpg
https://cdn.ncbi.nlm.nih.gov/pmc/blobs/3064/8651404/40c7e39c7eac/BCA2021-2058149.003.jpg
https://cdn.ncbi.nlm.nih.gov/pmc/blobs/3064/8651404/96b150595aec/BCA2021-2058149.004.jpg
https://cdn.ncbi.nlm.nih.gov/pmc/blobs/3064/8651404/c4f28afc7ac4/BCA2021-2058149.001.jpg
https://cdn.ncbi.nlm.nih.gov/pmc/blobs/3064/8651404/b4ad2392f5b6/BCA2021-2058149.002.jpg
https://cdn.ncbi.nlm.nih.gov/pmc/blobs/3064/8651404/40c7e39c7eac/BCA2021-2058149.003.jpg
https://cdn.ncbi.nlm.nih.gov/pmc/blobs/3064/8651404/96b150595aec/BCA2021-2058149.004.jpg

相似文献

1
Ecofriendly Synthesis of Silver Nanoparticles Using Fruit Peels: Anticancer and Antimicrobial Activities.利用果皮绿色合成银纳米颗粒:抗癌及抗菌活性
Bioinorg Chem Appl. 2021 Nov 30;2021:2058149. doi: 10.1155/2021/2058149. eCollection 2021.
2
Biosynthesis, characterization, and investigation of antimicrobial and cytotoxic activities of silver nanoparticles using peel aqueous extract.利用果皮水提取物进行银纳米颗粒的生物合成、表征及其抗菌和细胞毒性活性研究。
Heliyon. 2023 Aug 9;9(8):e19061. doi: 10.1016/j.heliyon.2023.e19061. eCollection 2023 Aug.
3
Preparation, Characterization, and Evaluation of Zinc Oxide Nanoparticles Suspension as an Antimicrobial Media for Daily Use Soft Contact Lenses.氧化锌纳米粒子混悬液的制备、表征及其作为日常使用软性隐形眼镜抗菌介质的评估。
Curr Eye Res. 2020 Aug;45(8):931-939. doi: 10.1080/02713683.2019.1705492. Epub 2020 Jan 13.
4
Characterization and the evaluation of antimicrobial activities of silver nanoparticles biosynthesized from leaf extract.从叶提取物生物合成的银纳米颗粒的表征及其抗菌活性评估
Heliyon. 2020 Mar 19;6(3):e03624. doi: 10.1016/j.heliyon.2020.e03624. eCollection 2020 Mar.
5
Biosynthesis of silver nanoparticles from Tribulus terrestris and its antimicrobial activity: a novel biological approach.从蒺藜中生物合成银纳米粒子及其抗菌活性:一种新的生物学方法。
Colloids Surf B Biointerfaces. 2012 Aug 1;96:69-74. doi: 10.1016/j.colsurfb.2012.03.023. Epub 2012 Apr 6.
6
Characterization, Antibacterial and Antioxidant Properties of Silver Nanoparticles Synthesized from Aqueous Extracts of , , and .从[植物名称1]、[植物名称2]和[植物名称3]水提取物合成的银纳米颗粒的表征、抗菌和抗氧化性能
Pharmacogn Mag. 2017 Jul;13(Suppl 2):S201-S208. doi: 10.4103/pm.pm_430_16. Epub 2017 Jul 11.
7
Ecofriendly synthesis of silver and gold nanoparticles by Euphrasia officinalis leaf extract and its biomedical applications.以贯叶金丝桃叶提取物为绿色合成试剂制备金银纳米粒子及其生物医学应用
Artif Cells Nanomed Biotechnol. 2018 Sep;46(6):1163-1170. doi: 10.1080/21691401.2017.1362417. Epub 2017 Aug 8.
8
Biosynthesis, characterization and antimicrobial action of silver nanoparticles from root bark extract of Berberislycium Royle.小檗属植物(Berberislycium Royle)根皮提取物中银纳米颗粒的生物合成、表征及抗菌作用
Pak J Pharm Sci. 2016 Jan;29(1):131-7.
9
Eco-friendly synthesis of silver nanoparticles by and their antibacterial activity.利用[具体物质]进行银纳米颗粒的环保合成及其抗菌活性。 (注:原文中“by ”后面缺少具体内容)
Saudi J Biol Sci. 2020 Aug;27(8):2185-2191. doi: 10.1016/j.sjbs.2020.04.026. Epub 2020 Apr 21.
10
Biogenic Silver and Zero-Valent Iron Nanoparticles by Feijoa: Biosynthesis, Characterization, Cytotoxic, Antibacterial and Antioxidant Activities.生物成因银和零价铁纳米粒子(费约果来源):生物合成、特性、细胞毒性、抗菌和抗氧化活性。
Anticancer Agents Med Chem. 2020;20(14):1673-1687. doi: 10.2174/1871520620666200619165910.

引用本文的文献

1
A review on green synthesis of silver nanoparticles (SNPs) using plant extracts: a multifaceted approach in photocatalysis, environmental remediation, and biomedicine.利用植物提取物绿色合成银纳米颗粒(SNPs)的综述:光催化、环境修复和生物医学中的多方面方法。
RSC Adv. 2025 Feb 6;15(5):3858-3903. doi: 10.1039/d4ra07519f. eCollection 2025 Jan 29.
2
Preclinical advance in nanoliposome-mediated photothermal therapy in liver cancer.纳米脂质体介导的肝癌光热治疗的临床前进展
Lipids Health Dis. 2025 Jan 31;24(1):31. doi: 10.1186/s12944-024-02429-x.
3
An novel effective and safe model for the diagnosis of nonalcoholic fatty liver disease in China: gene excavations, clinical validations, and mechanism elucidation.

本文引用的文献

1
Cytotoxic Effect of Silver Nanoparticles Synthesized by Green Methods in Cancer.绿色方法合成的银纳米颗粒在癌症中的细胞毒性作用。
J Med Chem. 2020 Dec 10;63(23):14308-14335. doi: 10.1021/acs.jmedchem.0c01055. Epub 2020 Nov 24.
2
Highly stable AgNPs prepared via a novel green approach for catalytic and photocatalytic removal of biological and non-biological pollutants.通过一种新颖的绿色方法制备的高稳定性 AgNPs 用于生物和非生物污染物的催化和光催化去除。
Environ Int. 2020 Oct;143:105924. doi: 10.1016/j.envint.2020.105924. Epub 2020 Jul 10.
3
Determination of Antimicrobial and Toxic Metal Removal Activities of Plant-Based Synthesized ( L. Leaves), Ecofriendly, Gold Nanomaterials.
中国一种新型有效的非酒精性脂肪性肝病诊断模型:基因挖掘、临床验证和机制阐明。
J Transl Med. 2024 Jul 4;22(1):624. doi: 10.1186/s12967-024-05315-3.
4
Mild therapeutic hypothermia upregulates the O-GlcNAcylation level of COX10 to alleviate mitochondrial damage induced by myocardial ischemia-reperfusion injury.轻度治疗性低温可上调 COX10 的 O-GlcNAc 化水平,减轻心肌缺血再灌注损伤引起的线粒体损伤。
J Transl Med. 2024 May 22;22(1):489. doi: 10.1186/s12967-024-05264-x.
5
Therapeutic efficacy of a novel self-assembled immunostimulatory siRNA combining apoptosis promotion with RIG-I activation in gliomas.新型自组装免疫刺激 siRNA 通过促进凋亡与 RIG-I 激活治疗脑胶质瘤的疗效
J Transl Med. 2024 Apr 29;22(1):395. doi: 10.1186/s12967-024-05151-5.
6
THOC7-AS1/OCT1/FSTL1 axis promotes EMT and serves as a therapeutic target in cutaneous squamous cell carcinoma.THOC7-AS1/OCT1/FSTL1 轴促进 EMT 并作为皮肤鳞状细胞癌的治疗靶点。
J Transl Med. 2024 Apr 11;22(1):347. doi: 10.1186/s12967-024-05116-8.
7
Evaluation of Plant-Based Silver Nanoparticles for Antioxidant Activity and Promising Wound-Healing Applications.基于植物的银纳米颗粒的抗氧化活性评估及有前景的伤口愈合应用
ACS Omega. 2024 Mar 1;9(10):12146-12157. doi: 10.1021/acsomega.3c10489. eCollection 2024 Mar 12.
8
Clinical data mining: challenges, opportunities, and recommendations for translational applications.临床数据挖掘:转化应用的挑战、机遇和建议。
J Transl Med. 2024 Feb 20;22(1):185. doi: 10.1186/s12967-024-05005-0.
9
Green Synthesis of Zinc Oxide Nanoparticles Using Ananas comosus Extract: Preparation, Characterization, and Antimicrobial Efficacy.使用菠萝提取物绿色合成氧化锌纳米颗粒:制备、表征及抗菌效果
Cureus. 2023 Oct 23;15(10):e47535. doi: 10.7759/cureus.47535. eCollection 2023 Oct.
10
Green Synthesis of Silver Nanoparticles Derived from L. Leaf Extract: Cytotoxic and Antimicrobial Properties.L. 叶提取物介导的银纳米粒子的绿色合成:细胞毒性和抗菌性能。
Molecules. 2023 Sep 4;28(17):6424. doi: 10.3390/molecules28176424.
植物合成(L. 叶)的环保型金纳米材料的抗菌及有毒金属去除活性测定
Glob Chall. 2020 Feb 20;4(5):1900104. doi: 10.1002/gch2.201900104. eCollection 2020 May.
4
Antioxidant and antibacterial chitosan film with tea polyphenols-mediated green synthesis silver nanoparticle via a novel one-pot method.采用新型一锅法,通过茶多酚介导绿色合成银纳米粒子,制备抗氧化抗菌壳聚糖膜。
Int J Biol Macromol. 2020 Jul 15;155:1252-1261. doi: 10.1016/j.ijbiomac.2019.11.093. Epub 2019 Nov 11.
5
Eco-friendly green synthesis of silver nanoparticles and their potential applications as antioxidant and anticancer agents.环保型绿色合成银纳米粒子及其作为抗氧化剂和抗癌剂的潜在应用。
Drug Dev Ind Pharm. 2019 Oct;45(10):1682-1694. doi: 10.1080/03639045.2019.1656224. Epub 2019 Sep 2.
6
rhizome extract mediated biosynthesis of silver nanoparticles and their bactericidal activity against human pathogens.根茎提取物介导的银纳米颗粒生物合成及其对人类病原体的杀菌活性。
J Genet Eng Biotechnol. 2015 Dec;13(2):93-99. doi: 10.1016/j.jgeb.2015.10.003. Epub 2015 Nov 4.
7
Bioassay of saliva proteins: The best alternative for conventional methods in non-invasive diagnosis of cancer.唾液蛋白生物测定:癌症无创诊断中替代传统方法的最佳选择。
Int J Biol Macromol. 2019 Mar 1;124:1246-1255. doi: 10.1016/j.ijbiomac.2018.11.277. Epub 2018 Dec 1.
8
Effect of silver nanoparticles in the induction of apoptosis on human hepatocellular carcinoma (HepG2) cell line.纳米银诱导人肝癌(HepG2)细胞凋亡的作用。
Mater Sci Eng C Mater Biol Appl. 2018 Dec 1;93:465-471. doi: 10.1016/j.msec.2018.08.027. Epub 2018 Aug 9.
9
One-pot, large-scale green synthesis of silver nanoparticles-chitosan with enhanced antibacterial activity and low cytotoxicity.一锅法、大规模绿色合成具有增强抗菌活性和低细胞毒性的银纳米粒子-壳聚糖。
Carbohydr Polym. 2018 Nov 1;199:641-648. doi: 10.1016/j.carbpol.2018.07.039. Epub 2018 Jul 19.
10
Heterogeneous Responses of Ovarian Cancer Cells to Silver Nanoparticles as a Single Agent and in Combination with Cisplatin.卵巢癌细胞对银纳米颗粒作为单一药物以及与顺铂联合使用的异质性反应。
J Nanomater. 2017;2017. doi: 10.1155/2017/5107485. Epub 2017 Apr 26.