Institut für Populationsgenetik, Veterinärmedizinische Universität Wien, Veterinärplatz 1, Wien 1210, Austria.
Proc Biol Sci. 2021 Dec 22;288(1965):20212193. doi: 10.1098/rspb.2021.2193. Epub 2021 Dec 15.
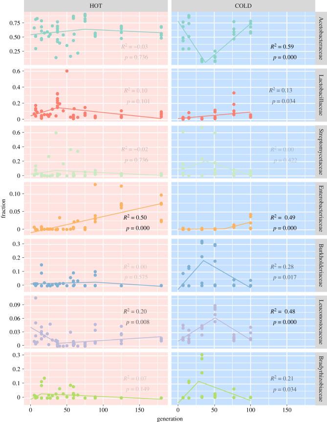
The influence of the microbiome on its host is well-documented, but the interplay of its members is not yet well-understood. Even for simple microbiomes, the interaction among members of the microbiome is difficult to study. Longitudinal studies provide a promising approach to studying such interactions through the temporal covariation of different taxonomic units. By contrast to most longitudinal studies, which span only a single host generation, we here present a analysis of a whole-genome dataset of 81 samples that follows microbiome composition for up to 180 host generations, which cover nearly 10 years. The microbiome diversity remained rather stable in replicated populations exposed to two different temperature regimes. The composition changed, however, systematically across replicates of the two temperature regimes. Significant associations between families, mostly specific to one temperature regime, indicate functional interdependence of different microbiome components. These associations also involve moderately abundant families, which emphasizes their functional importance, and highlights the importance of looking beyond the common constituents of the microbiome.
微生物组对其宿主的影响已有充分的记录,但微生物组成员之间的相互作用尚未被很好地理解。即使对于简单的微生物组,微生物组成员之间的相互作用也很难研究。纵向研究为通过不同分类单元的时间协变来研究这种相互作用提供了一种很有前途的方法。与大多数仅跨越单个宿主世代的纵向研究不同,我们在这里分析了一个全基因组数据集,该数据集包含 81 个样本,对微生物组组成进行了长达 180 个宿主世代的跟踪,几乎涵盖了近 10 年的时间。在暴露于两种不同温度条件下的重复 种群中,微生物组多样性保持相对稳定。然而,在两种温度条件的重复中,组成发生了系统的变化。不同微生物组成分之间存在显著的关联,主要是特定于一种温度条件,这表明它们之间存在功能上的相互依赖。这些关联还涉及中等丰度的家族,这强调了它们的功能重要性,并突出了超越微生物组常见成分的重要性。