Suppr超能文献

冠心病患者射血分数改善的心力衰竭的通用新定义

A Universal New Definition of Heart Failure With Improved Ejection Fraction for Patients With Coronary Artery Disease.

作者信息

Huang Haozhang, Liu Jin, Lei Min, Yang Zhou, Bao Kunming, Li Qiang, Lai Wenguang, Wang Bo, He Yibo, Chen Shiqun, Ou Chun-Quan, Abudukerimu Maimaitiaili, Hu Yuying, Tan Ning, Chen Jiyan, Liu Yong

机构信息

Guangdong Provincial Key Laboratory of Coronary Heart Disease Prevention, Department of Cardiology, Guangdong Provincial People's Hospital, Guangdong Cardiovascular Institute, Guangdong Academy of Medical Sciences, Guangzhou, China.

The Second School of Clinical Medicine, Southern Medical University, Guangzhou, China.

出版信息

Front Physiol. 2021 Dec 3;12:770650. doi: 10.3389/fphys.2021.770650. eCollection 2021.

Abstract

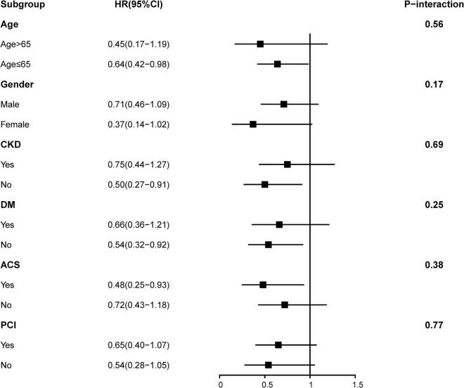
The aims of this study were to describe the characteristics and outcomes of the universal new definition of heart failure with improved ejection fraction (HFimpEF) and to identify predictors for HFimpEF among patients with coronary artery disease (CAD). CAD subjects with heart failure with reduced ejection fraction (HFrEF) (EF ≤ 40%) at baseline were enrolled from the real-world registry of the Cardiorenal ImprovemeNt study from January 2007 to December 2018. The new definition of HFimpEF was defined as left ventricular EF (LVEF) of≤40% at baseline and with improvement of up to 40% and at least a ≥ 10% increase during 1 month to 1 year after discharge. Of the 747 CAD patients with HFrEF (86.7% males, mean age: 61.4 ± 11 years), 267 (35.7%) patients conformed to the new HFimpEF definition. Patients with HFimpEF were younger (adjusted odds ratio [aOR]: 0.98 [0.97-0.99]) and had a higher rate of hypertension (aOR:1.43 [1.04-1.98]), lower rate of percutaneous coronary intervention (PCI) treatment at the time of detection of HFrEF (aOR: 0.48 [0.34-0.69]), history of PCI (aOR: 0.51 [0.28-0.88]), history of acute myocardial infarction (aOR: 0.40 [0.21-0.70]), and lower left ventricular end diastolic diameter (aOR: 0.92 [0.90-0.95]). During 3.3-year follow-up, patients with HFimpEF demonstrated lower rates of long-term all-cause mortality (13.1% vs. 20.8%, aHR: 0.61[0.41-0.90]). In our study, CAD patients with HFimpEF achieved a better prognosis compared to those with persistent HFrEF. Patients with CAD meeting the criteria for the universal definition of HFimpEF tended to be younger, presented fewer clinical comorbidities, and had lower left ventricular end diastolic diameter.

摘要

本研究的目的是描述射血分数改善的心力衰竭(HFimpEF)通用新定义的特征和结局,并确定冠心病(CAD)患者中HFimpEF的预测因素。2007年1月至2018年12月,从心脏肾改善研究的真实世界登记处纳入基线时患有射血分数降低的心力衰竭(HFrEF)(射血分数[EF]≤40%)的CAD受试者。HFimpEF的新定义为基线时左心室EF(LVEF)≤40%,出院后1个月至1年内改善高达40%且至少增加≥10%。在747例HFrEF的CAD患者中(男性占86.7%,平均年龄:61.4±11岁),267例(35.7%)患者符合新的HFimpEF定义。HFimpEF患者更年轻(调整后比值比[aOR]:0.98[0.97 - 0.99]),高血压发生率更高(aOR:1.43[1.04 - 1.98]),HFrEF检测时经皮冠状动脉介入治疗(PCI)率更低(aOR:0.48[0.34 - 0.69]),PCI病史(aOR:0.51[0.28 - 0.88]),急性心肌梗死病史(aOR:0.40[0.21 - 0.70]),左心室舒张末期内径更小(aOR:0.92[0.90 - 0.95])。在3.3年的随访期间,HFimpEF患者的长期全因死亡率较低(13.1%对20.8%,调整后风险比[aHR]:0.61[0.41 - 0.90])。在我们的研究中,与持续性HFrEF患者相比,HFimpEF的CAD患者预后更好。符合HFimpEF通用定义标准的CAD患者往往更年轻,临床合并症更少,左心室舒张末期内径更小。

https://cdn.ncbi.nlm.nih.gov/pmc/blobs/2654/8678467/d003e9e74186/fphys-12-770650-g001.jpg

文献AI研究员

20分钟写一篇综述,助力文献阅读效率提升50倍。

立即体验

用中文搜PubMed

大模型驱动的PubMed中文搜索引擎

马上搜索

文档翻译

学术文献翻译模型,支持多种主流文档格式。

立即体验