Suppr超能文献

C反应蛋白是前列腺癌基线炎症及对放疗或雄激素剥夺反应的不良标志物。

C-Reactive Protein Is a Poor Marker of Baseline Inflammation in Prostate Cancer and Response to Radiotherapy or Androgen Ablation.

作者信息

Jensen Garrett L, Naziri Jason, Hammonds Kendall P, Jhavar Sameer G, Swanson Gregory

机构信息

Radiation Oncology, Baylor Scott & White Medical Center - Temple, Temple, USA.

Radiation Oncology, Baylor Scott & White Health, Temple, USA.

出版信息

Cureus. 2021 Nov 16;13(11):e19639. doi: 10.7759/cureus.19639. eCollection 2021 Nov.

Abstract

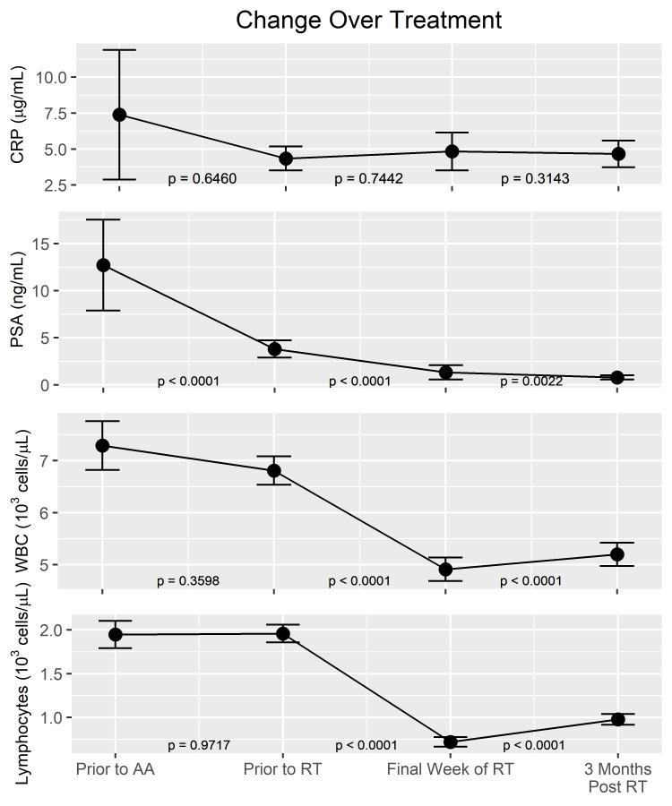
Introduction C-reactive protein (CRP) is an acute-phase reactant used as a general marker for inflammation. Isolated levels have been associated with prostate cancer development, prostate-specific antigen (PSA), Gleason score, and treatment response. We seek to establish whether CRP levels reflect inflammation caused by prostate cancer by comparing levels at various points of time before, during, and after therapy. Materials and methods A total of 209 patients had a complete blood count (CBC), PSA, and CRP taken at up to four different time points. Labs were performed up to one week prior to androgen ablation via leuprolide injection (pre-AA), up to one week prior to radiotherapy (RT) (pre-RT), within one week of RT completion (post-RT), and three months following RT completion (FU [follow-up]). Results Significant relationships were found between CRP and WBC pre-AA (p-value=0.0050), pre-RT (p-value=0.0170), and post-RT (p-value=0.0113), but not at FU (p=.096). CRP had no significant relationship with PSA or lymphocytes at any time points. PSA was significantly affected by androgen ablation but lymphocytes, WBCs, and CRP were not. No CRP levels were associated with risk groups or FU-PSA. Lymphatic radiation fields significantly decreased WBCs and lymphocytes but not CRP. PSA, WBC, and lymphocytes all significantly decreased from pre-RT to post-RT, followed by a significant recovery. CRP did not significantly change during any of these periods and was not significantly related to changes in PSA, WBCs, or lymphocytes. Conclusion CRP is not a sensitive marker of the acute inflammatory effects of non-metastatic prostate cancer and treatment response with androgen ablation or radiation therapy.

摘要

引言

C反应蛋白(CRP)是一种急性期反应物,用作炎症的通用标志物。其单独水平与前列腺癌的发生、前列腺特异性抗原(PSA)、 Gleason评分及治疗反应相关。我们试图通过比较治疗前、治疗期间和治疗后不同时间点的水平,来确定CRP水平是否反映前列腺癌引起的炎症。

材料与方法

共有209例患者在多达四个不同时间点进行了全血细胞计数(CBC)、PSA和CRP检测。检测在通过亮丙瑞林注射进行雄激素剥夺治疗前一周(雄激素剥夺治疗前)、放疗前一周(放疗前)、放疗完成后一周内(放疗后)以及放疗完成后三个月(随访)进行。

结果

在雄激素剥夺治疗前(p值 = 0.0050)、放疗前(p值 = 0.0170)和放疗后(p值 = 0.0113)发现CRP与白细胞之间存在显著关系,但在随访时未发现(p = 0.096)。在任何时间点,CRP与PSA或淋巴细胞均无显著关系。PSA受雄激素剥夺的显著影响,但淋巴细胞、白细胞和CRP不受影响。没有CRP水平与风险组或随访PSA相关。淋巴照射野显著降低了白细胞和淋巴细胞,但未降低CRP。从放疗前到放疗后,PSA、白细胞和淋巴细胞均显著下降,随后显著恢复。在这些时期中的任何一个期间,CRP均无显著变化,且与PSA、白细胞或淋巴细胞的变化无显著关系。

结论

CRP不是非转移性前列腺癌急性炎症效应以及雄激素剥夺或放射治疗反应的敏感标志物。

https://cdn.ncbi.nlm.nih.gov/pmc/blobs/81a7/8673689/6a327e06baab/cureus-0013-00000019639-i01.jpg

文献AI研究员

20分钟写一篇综述,助力文献阅读效率提升50倍。

立即体验

用中文搜PubMed

大模型驱动的PubMed中文搜索引擎

马上搜索

文档翻译

学术文献翻译模型,支持多种主流文档格式。

立即体验