Suppr超能文献

母乳喂养6个月对川崎病患者疾病转归的影响。

Effect of breastfeeding for 6 months on disease outcomes in patients with Kawasaki disease.

作者信息

Guo Mindy Ming-Huey, Tsai I-Hsin, Kuo Ho-Chang

机构信息

Department of Pediatrics, Kaohsiung Chang Gung Memorial Hospital and Chang, Gung University College of Medicine, Kaohsiung, Taiwan.

Kawasaki Disease Center, Kaohsiung Chang Gung Memorial Hospital and Chang, Gung University College of Medicine, Kaohsiung, Taiwan.

出版信息

PLoS One. 2021 Dec 21;16(12):e0261156. doi: 10.1371/journal.pone.0261156. eCollection 2021.

Abstract

BACKGROUND

Kawasaki disease (KD) is a systematic vasculitis that occurs predominantly in young children, and is the leading cause of acquired heart disease in children younger than five-years-old in developed countries. Although the etiology of KD is unknown, it is believed to be an inflammatory disease resulting from abnormal immune responses to possible environmental or infectious stimuli in genetically predisposed individuals. Breast milk contains numerous anti-inflammatory factors which may protect against allergic and autoimmune diseases. In this study we tried to examine the effect of breastfeeding for 6 months or more on disease outcomes in patients with Kawasaki disease.

METHODS

A retrospective cohort study of 249 KD patients admitted from 1999- 2013 who were older than 6 months at time of diagnosis and had data regarding breastfeeding in the first 6 months of life. Demographic, clinical and laboratory data was collected by chart review. Continuous data was compared using Student's t-test and categorical variables were compared using Chi-square. Stepwise multivariate regression of all demographic factors was performed.

RESULTS

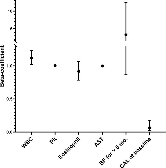
Breastfeeding for 6 months or more was associated with a shorter total duration of fever (5.980± 1.405 Vs. 6.910 ± 2.573 days, p = 0.001) and a lower risk of developing persistent coronary artery lesions (CALs) (7.8% Vs. 20.2%, p-value = 0.039) on univariate analysis. Multivariate regression of all factors associated with CALs including breastfeeding for 6 months found that only the presence of CALs at baseline (β-coefficient = 0.065, p < 0.001) and white blood count (β-coefficient = 0.065, p = 0.018) remained significant after regression analysis.

CONCLUSIONS

Breastfeeding for 6 months or more was associated with a shorter duration of fever and a lower risk of persistent CAL formation in patients with KD on univariate analysis, although this effect may be modest when other factors such as the presence of CALs at baseline and white blood cell count are also taken into consideration.

摘要

背景

川崎病(KD)是一种主要发生于幼儿的系统性血管炎,是发达国家5岁以下儿童获得性心脏病的主要病因。虽然KD的病因尚不清楚,但据信它是一种炎症性疾病,由遗传易感性个体对可能的环境或感染刺激的异常免疫反应引起。母乳含有多种抗炎因子,可能预防过敏性和自身免疫性疾病。在本研究中,我们试图研究6个月及以上母乳喂养对川崎病患者疾病结局的影响。

方法

对1999年至2013年收治的249例KD患者进行回顾性队列研究,这些患者诊断时年龄大于6个月,且有出生后前6个月母乳喂养的数据。通过查阅病历收集人口统计学、临床和实验室数据。连续数据采用Student t检验进行比较,分类变量采用卡方检验进行比较。对所有人口统计学因素进行逐步多变量回归分析。

结果

单因素分析显示,6个月及以上母乳喂养与发热总持续时间较短(5.980±1.405天对6.910±2.573天,p = 0.001)以及发生持续性冠状动脉病变(CALs)的风险较低(7.8%对20.2%,p值 = 0.039)相关。对所有与CALs相关的因素(包括6个月母乳喂养)进行多变量回归分析发现,回归分析后仅基线时存在CALs(β系数 = 0.065,p < 0.001)和白细胞计数(β系数 = 0.065,p = 0.018)仍具有显著性。

结论

单因素分析显示,6个月及以上母乳喂养与KD患者发热持续时间较短以及持续性CAL形成风险较低相关,尽管在考虑其他因素(如基线时存在CALs和白细胞计数)时,这种影响可能较小。

https://cdn.ncbi.nlm.nih.gov/pmc/blobs/3186/8691627/ed49505df906/pone.0261156.g001.jpg

文献AI研究员

20分钟写一篇综述,助力文献阅读效率提升50倍。

立即体验

用中文搜PubMed

大模型驱动的PubMed中文搜索引擎

马上搜索

文档翻译

学术文献翻译模型,支持多种主流文档格式。

立即体验