Suppr超能文献

肠细胞中SGLT1和顶端GLUT2对葡萄糖摄取的计算建模

Computational Modelling of Glucose Uptake by SGLT1 and Apical GLUT2 in the Enterocyte.

作者信息

Afshar Nima, Safaei Soroush, Nickerson David P, Hunter Peter J, Suresh Vinod

机构信息

Auckland Bioengineering Institute, University of Auckland, Auckland, New Zealand.

Department of Engineering Science, University of Auckland, Auckland, New Zealand.

出版信息

Front Physiol. 2021 Dec 7;12:699152. doi: 10.3389/fphys.2021.699152. eCollection 2021.

Abstract

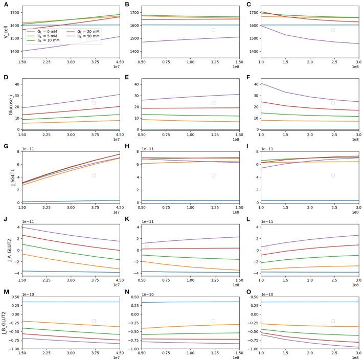
It has been suggested that glucose absorption in the small intestine depends on both constitutively expressed SGLT1 and translocated GLUT2 in the brush border membrane, especially in the presence of high levels of luminal glucose. Here, we present a computational model of non-isotonic glucose uptake by small intestinal epithelial cells. The model incorporates apical uptake SGLT1 and GLUT2, basolateral efflux into the blood GLUT2, and cellular volume changes in response to non-isotonic conditions. The dependence of glucose absorption on luminal glucose, blood flow rate, and inlet blood glucose concentration is studied. Uptake apical GLUT2 is found to be sensitive to all these factors. Under a range of conditions, the maximum apical GLUT2 flux is about half of the SGLT1 flux and is achieved at high luminal glucose (> 50 mM), high blood flow rates, and low inlet blood concentrations. In contrast, SGLT1 flux is less sensitive to these factors. When luminal glucose concentration is less than 10 mM, apical GLUT2 serves as an efflux pathway for glucose to move from the blood to the lumen. The model results indicate that translocation of GLUT2 from the basolateral to the apical membrane increases glucose uptake into the cell; however, the reduction of efflux capacity results in a decrease in net absorption. Recruitment of GLUT2 from a cytosolic pool elicits a 10-20% increase in absorption for luminal glucose levels in the a 20-100 mM range. Increased SGLT1 activity also leads to a roughly 20% increase in absorption. A concomitant increase in blood supply results in a larger increase in absorption. Increases in apical glucose transporter activity help to minimise cell volume changes by reducing the osmotic gradient between the cell and the lumen.

摘要

有人提出,小肠中的葡萄糖吸收取决于刷状缘膜中组成性表达的SGLT1和易位的GLUT2,尤其是在肠腔葡萄糖水平较高的情况下。在此,我们提出了一个小肠上皮细胞非等渗葡萄糖摄取的计算模型。该模型纳入了顶端摄取的SGLT1和GLUT2、基底外侧向血液中的流出(GLUT2)以及细胞对非等渗条件的体积变化。研究了葡萄糖吸收对肠腔葡萄糖、血流速率和入口血糖浓度的依赖性。发现顶端GLUT2的摄取对所有这些因素敏感。在一系列条件下,最大顶端GLUT2通量约为SGLT1通量的一半,并且在高肠腔葡萄糖(>50 mM)、高血流速率和低入口血液浓度下实现。相比之下,SGLT1通量对这些因素不太敏感。当肠腔葡萄糖浓度低于10 mM时,顶端GLUT2作为葡萄糖从血液向肠腔移动的流出途径。模型结果表明,GLUT2从基底外侧膜向顶端膜的易位增加了细胞对葡萄糖的摄取;然而,流出能力的降低导致净吸收减少。从胞质池中募集GLUT2会使20 - 100 mM范围内的肠腔葡萄糖水平的吸收增加10 - 20%。SGLT1活性的增加也会导致吸收大致增加20%。伴随的血液供应增加会导致吸收有更大的增加。顶端葡萄糖转运蛋白活性的增加通过降低细胞与肠腔之间的渗透梯度,有助于使细胞体积变化最小化。

https://cdn.ncbi.nlm.nih.gov/pmc/blobs/2ac3/8688934/ae67ec07de4f/fphys-12-699152-g0001.jpg

文献AI研究员

20分钟写一篇综述,助力文献阅读效率提升50倍。

立即体验

用中文搜PubMed

大模型驱动的PubMed中文搜索引擎

马上搜索

文档翻译

学术文献翻译模型,支持多种主流文档格式。

立即体验