Suppr超能文献

重复急性低中度运动诱导脱水对生理和主观反应及耐力表现的影响。

Impact of Repeated Acute Exposures to Low and Moderate Exercise-Induced Hypohydration on Physiological and Subjective Responses and Endurance Performance.

机构信息

Faculty of Physical Activity Sciences, University of Sherbrooke, Sherbrooke, QC J1K 2R1, Canada.

Research Center on Aging, University of Sherbrooke, Sherbrooke, QC J1H 4C4, Canada.

出版信息

Nutrients. 2021 Dec 15;13(12):4477. doi: 10.3390/nu13124477.

Abstract

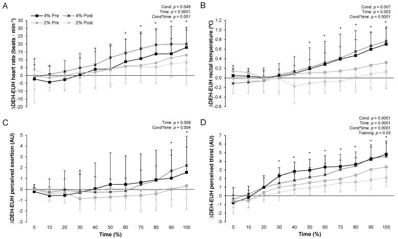
This study aimed to examine whether repeated exposures to low (2%) and moderate (4%) exercise-induced hypohydration may reverse the potentially deleterious effect of hypohydration on endurance performance. Using a randomized crossover protocol, ten volunteers (23 years, V˙O: 54 mL∙kg∙min) completed two 4-week training blocks interspersed by a 5-week washout period. During one block, participants replaced all fluid losses (EUH) while in the other they were fluid restricted (DEH). Participants completed three exercise sessions per week (walking/running, 55% V˙O, 40 °C): (1) 1 h while fluid restricted or drinking , (2) until 2 and (3) 4% of body mass has been lost or replaced. During the first and the fourth week of each training block, participants completed a 12 min time-trial immediately after 2% and 4% body mass loss has been reached. Exercise duration and distance completed (14.1 ± 2.7 vs. 6.9 ± 1.5 km) during the fixed-intensity exercise bouts were greater in the 4 compared to the 2% condition ( < 0.01) with no difference between DEH and EUH. During the first week, heart rate, rectal temperature and perceived exertion were higher ( < 0.05) with DEH than EUH, and training did not change these outcomes. Exercise-induced hypohydration of 2% and 4% body mass impaired time-trial performance in a practical manner both at the start and end of the training block. In conclusion, exercise-induced hypohydration of 2% and 4% body mass impairs 12 min walking/running time-trial, and repeated exposures to these hypohydration levels cannot reverse the impairment in performance.

摘要

本研究旨在探讨反复暴露于低(2%)和中等(4%)运动性脱水是否可能逆转脱水对耐力表现的潜在有害影响。使用随机交叉方案,十名志愿者(23 岁,V˙O:54mL·kg·min)完成了两个 4 周的训练块,中间间隔了 5 周的洗脱期。在一个块中,参与者替换所有的液体损失(EUH),而在另一个块中,他们限制液体摄入(DEH)。参与者每周完成三次运动训练(步行/跑步,55% V˙O,40°C):(1)1 小时限制液体摄入或饮水,(2)直到脱水 2%和(3)4%体重丢失或补充水分。在每个训练块的第一和第四周,参与者在达到 2%和 4%体重丢失后立即进行 12 分钟的计时赛。在固定强度的运动期间,完成的运动时间和距离(14.1±2.7 vs. 6.9±1.5km)在 4%条件下大于 2%条件(<0.01),DEH 和 EUH 之间没有差异。在第一周,DEH 时的心率、直肠温度和感知用力比 EUH 时更高(<0.05),而训练并没有改变这些结果。2%和 4%体重的运动性脱水以实际方式损害了计时赛的表现,无论是在训练块的开始还是结束时。总之,2%和 4%体重的运动性脱水会损害 12 分钟的步行/跑步计时赛,而反复暴露于这些脱水水平并不能逆转运动表现的损害。

https://cdn.ncbi.nlm.nih.gov/pmc/blobs/10b9/8704556/c0dcc59b0152/nutrients-13-04477-g001.jpg

文献检索

告别复杂PubMed语法,用中文像聊天一样搜索,搜遍4000万医学文献。AI智能推荐,让科研检索更轻松。

立即免费搜索

文件翻译

保留排版,准确专业,支持PDF/Word/PPT等文件格式,支持 12+语言互译。

免费翻译文档

深度研究

AI帮你快速写综述,25分钟生成高质量综述,智能提取关键信息,辅助科研写作。

立即免费体验