Suppr超能文献

添加牛乳脂肪球膜和改良铁的婴儿配方奶粉支持一岁时的生长和正常铁状态:一项随机对照试验。

Infant Formula with Added Bovine Milk Fat Globule Membrane and Modified Iron Supports Growth and Normal Iron Status at One Year of Age: A Randomized Controlled Trial.

机构信息

Kentucky Pediatrics, 201 South 5th Street, Bardstown, KY 40004, USA.

Owensboro Pediatrics, 2200 E. Parrish Ave Bldg B, Suite 101, Owensboro, KY 42303, USA.

出版信息

Nutrients. 2021 Dec 18;13(12):4541. doi: 10.3390/nu13124541.

Abstract

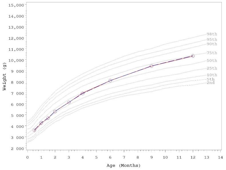
Inclusion of bovine-derived milk fat globule membrane (bMFGM) or bMFGM components in infant formulas (IFs) may support healthy brain development. This double-blind, prospective trial evaluated growth, tolerance, and iron status in infants receiving added bMFGM and modified protein, iron, and arachidonic acid (ARA) concentrations in IF. Healthy term infants were randomized to: control (marketed, routine cow's milk-based IF/100 kcal: 2.1 g protein, 1.8 mg iron, 34 mg ARA) or INV-MFGM (investigational cow's milk-based IF/100 kcal: 1.9 g protein, 1.2 mg iron, 25 mg ARA and whey protein-lipid concentrate, 5 g/L (source of bMFGM)). Anthropometrics, stool characteristics, fussiness, and gassiness through day 365 and blood markers of iron status at day 365 were evaluated. The primary outcome was rate of weight gain from 14-120 days of age. Of 373 infants enrolled (control: 191, INV-MFGM: 182), 275 completed the study (control: 141; INV-MFGM: 134). No group differences in growth rate (g/day) from day 14-120 or study discontinuation were detected. Few group differences in growth or parent-reported fussiness, gassiness, or stool characteristics were detected. No group differences were detected in hemoglobin, hematocrit, or incidence of anemia. In healthy term infants, bMFGM and modified protein, iron, and ARA concentrations in a cow's milk-based IF were well-tolerated, associated with adequate growth throughout the first year of life, and supported normal iron status at one year of age.

摘要

在婴儿配方食品(IF)中添加牛源乳脂肪球膜(bMFGM)或 bMFGM 成分可能有助于支持健康的大脑发育。这项双盲、前瞻性试验评估了接受添加 bMFGM 和改良蛋白、铁和花生四烯酸(ARA)浓度的 IF 的婴儿的生长、耐受性和铁状态。健康足月婴儿被随机分为:对照组(市售、常规牛奶基 IF/100kcal:2.1g 蛋白、1.8mg 铁、34mg ARA)或 INV-MFGM(研究用牛奶基 IF/100kcal:1.9g 蛋白、1.2mg 铁、25mg ARA 和乳清蛋白脂质浓缩物,5g/L(bMFGM 来源))。通过第 365 天评估了体测、粪便特征、烦躁不安和胀气情况以及第 365 天的铁状态血液标志物。主要结局是从 14-120 天龄的体重增加率。在 373 名入组婴儿中(对照组:191 名,INV-MFGM:182 名),275 名完成了研究(对照组:141 名;INV-MFGM:134 名)。从第 14 天到第 120 天或研究中止的生长速度(g/天)没有组间差异。在生长或父母报告的烦躁不安、胀气或粪便特征方面,两组间差异较小。血红蛋白、红细胞压积或贫血发生率无组间差异。在健康足月婴儿中,牛奶基 IF 中的 bMFGM 和改良蛋白、铁和 ARA 浓度耐受性良好,与整个生命第一年的充足生长相关,并支持一岁时的正常铁状态。

https://cdn.ncbi.nlm.nih.gov/pmc/blobs/f0ea/8708584/b72fcbded167/nutrients-13-04541-g001.jpg

文献检索

告别复杂PubMed语法,用中文像聊天一样搜索,搜遍4000万医学文献。AI智能推荐,让科研检索更轻松。

立即免费搜索

文件翻译

保留排版,准确专业,支持PDF/Word/PPT等文件格式,支持 12+语言互译。

免费翻译文档

深度研究

AI帮你快速写综述,25分钟生成高质量综述,智能提取关键信息,辅助科研写作。

立即免费体验