• 文献检索
  • 文档翻译
  • 深度研究
  • 学术资讯
  • Suppr Zotero 插件Zotero 插件
  • 邀请有礼
  • 套餐&价格
  • 历史记录
应用&插件
Suppr Zotero 插件Zotero 插件浏览器插件Mac 客户端Windows 客户端微信小程序
定价
高级版会员购买积分包购买API积分包
服务
文献检索文档翻译深度研究API 文档MCP 服务
关于我们
关于 Suppr公司介绍联系我们用户协议隐私条款
关注我们

Suppr 超能文献

核心技术专利:CN118964589B侵权必究
粤ICP备2023148730 号-1Suppr @ 2026

文献检索

告别复杂PubMed语法,用中文像聊天一样搜索,搜遍4000万医学文献。AI智能推荐,让科研检索更轻松。

立即免费搜索

文件翻译

保留排版,准确专业,支持PDF/Word/PPT等文件格式,支持 12+语言互译。

免费翻译文档

深度研究

AI帮你快速写综述,25分钟生成高质量综述,智能提取关键信息,辅助科研写作。

立即免费体验

基于 lncRNA 表达的风险评分系统可预测肝癌肿瘤阳性患者的生存情况。

lncRNA Expression-Based Risk Scoring System Can Predict Survival of Tumor-Positive Patients with Hepatocellular Carcinoma.

机构信息

Department of Medical Oncology, Guangxi Medical University Cancer Hospital, 71 Hedi Road, Nanning 530021, People's Republic of China.

出版信息

Asian Pac J Cancer Prev. 2021 Dec 1;22(12):3741-3753. doi: 10.31557/APJCP.2021.22.12.3741.

DOI:10.31557/APJCP.2021.22.12.3741
PMID:34967552
原文链接:https://pmc.ncbi.nlm.nih.gov/articles/PMC9080350/
Abstract

BACKGROUND

Long non-coding RNAs (lncRNAs) play critical roles in the progression of hepatocellular carcinoma (HCC). The aim of this study was to explore whether lncRNA expression profiles can predict prognosis of HCC patients with tumors.

METHODS

Expression of lncRNAs in HCC patients based on data in The Cancer Genome Atlas (TCGA) was examined by uni- and multivariate cox analysis to identify associations between clinical features and overall survival (OS) or recurrence-free survival (RFS). Based on our finding that both were independently associated with tumor status, we examined lncRNAs differentially expressed between patients with or without tumors. An lncRNA-based risk scoring system was developed to predict OS and RFS in tumor-positive patients, and it was assessed using uni- and multivariate cox analyses. Potential functions of the prognostic lncRNAs were explored.

RESULTS

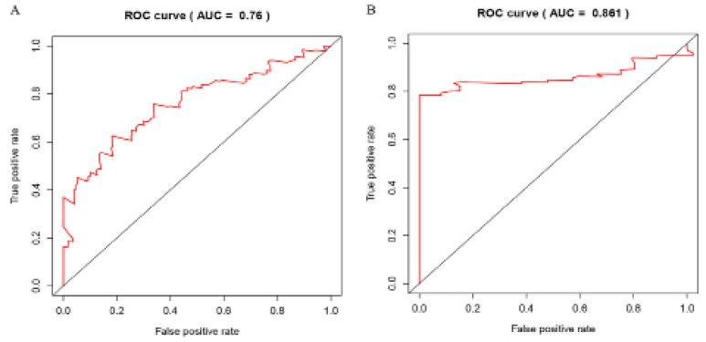
A risk scoring system to predict OS for HCC patients with tumors was developed based on the expression of six lncRNAs (AC090921.1, AC012640.1, AL158839.1, AL356056.1, AL359853.1 and C10orf91), and a corresponding scoring system to predict RFS was developed from nine lncRNAs (AL356056.1, AL158839.1, MIR7-3HG, AL445493.2, AP000808.1, AP003354.2, PLCE1-AS1, TH2LCRR and LINC01447). Both risk scoring systems gave areas under receiver operating characteristic curves >0.7. Uni- and multivariate cox analyses showed that both risk scoring systems independently predicted survival even after adjusting for clinical factors. The lncRNAs related to OS may be involved in complement and coagulation cascades, while those related to RFS may be involved in the cell cycle.

CONCLUSION

Risk scoring system based on these lncRNAs may be useful for predicting prognosis of tumor-positive HCC patients.

摘要

背景

长链非编码 RNA(lncRNA)在肝细胞癌(HCC)的进展中发挥着关键作用。本研究旨在探讨 lncRNA 表达谱是否可以预测肿瘤患者的 HCC 患者的预后。

方法

通过单变量和多变量 Cox 分析检查基于癌症基因组图谱(TCGA)中 HCC 患者的 lncRNA 表达,以确定临床特征与总生存期(OS)或无复发生存期(RFS)之间的关联。基于我们发现两者均与肿瘤状态独立相关,我们检查了有或没有肿瘤的患者之间差异表达的 lncRNA。开发了基于 lncRNA 的风险评分系统,以预测肿瘤阳性患者的 OS 和 RFS,并使用单变量和多变量 Cox 分析进行评估。探索了预后 lncRNA 的潜在功能。

结果

基于六个 lncRNA(AC090921.1、AC012640.1、AL158839.1、AL356056.1、AL359853.1 和 C10orf91)的表达,开发了用于预测 HCC 患者肿瘤 OS 的风险评分系统,并且从九个 lncRNA(AL356056.1、AL158839.1、MIR7-3HG、AL445493.2、AP000808.1、AP003354.2、PLCE1-AS1、TH2LCRR 和 LINC01447)开发了用于预测 RFS 的相应评分系统。两个风险评分系统的受试者工作特征曲线下面积均>0.7。单变量和多变量 Cox 分析表明,即使在调整临床因素后,这两个风险评分系统都可以独立预测生存。与 OS 相关的 lncRNA 可能参与补体和凝血级联反应,而与 RFS 相关的 lncRNA 可能参与细胞周期。

结论

基于这些 lncRNA 的风险评分系统可能有助于预测肿瘤阳性 HCC 患者的预后。

https://cdn.ncbi.nlm.nih.gov/pmc/blobs/771c/9080350/48df3b696b3d/APJCP-22-3741-g007.jpg
https://cdn.ncbi.nlm.nih.gov/pmc/blobs/771c/9080350/c0efe305340c/APJCP-22-3741-g001.jpg
https://cdn.ncbi.nlm.nih.gov/pmc/blobs/771c/9080350/bdd565c8503a/APJCP-22-3741-g002.jpg
https://cdn.ncbi.nlm.nih.gov/pmc/blobs/771c/9080350/2993a0a4bb35/APJCP-22-3741-g003.jpg
https://cdn.ncbi.nlm.nih.gov/pmc/blobs/771c/9080350/5ef9442b91a3/APJCP-22-3741-g004.jpg
https://cdn.ncbi.nlm.nih.gov/pmc/blobs/771c/9080350/0261c1541163/APJCP-22-3741-g005.jpg
https://cdn.ncbi.nlm.nih.gov/pmc/blobs/771c/9080350/2ff3cb936bb7/APJCP-22-3741-g006.jpg
https://cdn.ncbi.nlm.nih.gov/pmc/blobs/771c/9080350/48df3b696b3d/APJCP-22-3741-g007.jpg
https://cdn.ncbi.nlm.nih.gov/pmc/blobs/771c/9080350/c0efe305340c/APJCP-22-3741-g001.jpg
https://cdn.ncbi.nlm.nih.gov/pmc/blobs/771c/9080350/bdd565c8503a/APJCP-22-3741-g002.jpg
https://cdn.ncbi.nlm.nih.gov/pmc/blobs/771c/9080350/2993a0a4bb35/APJCP-22-3741-g003.jpg
https://cdn.ncbi.nlm.nih.gov/pmc/blobs/771c/9080350/5ef9442b91a3/APJCP-22-3741-g004.jpg
https://cdn.ncbi.nlm.nih.gov/pmc/blobs/771c/9080350/0261c1541163/APJCP-22-3741-g005.jpg
https://cdn.ncbi.nlm.nih.gov/pmc/blobs/771c/9080350/2ff3cb936bb7/APJCP-22-3741-g006.jpg
https://cdn.ncbi.nlm.nih.gov/pmc/blobs/771c/9080350/48df3b696b3d/APJCP-22-3741-g007.jpg

相似文献

1
lncRNA Expression-Based Risk Scoring System Can Predict Survival of Tumor-Positive Patients with Hepatocellular Carcinoma.基于 lncRNA 表达的风险评分系统可预测肝癌肿瘤阳性患者的生存情况。
Asian Pac J Cancer Prev. 2021 Dec 1;22(12):3741-3753. doi: 10.31557/APJCP.2021.22.12.3741.
2
Risk scoring based on expression of long non‑coding RNAs can effectively predict survival in hepatocellular carcinoma patients with or without fibrosis.基于长非编码 RNA 表达的风险评分可有效预测有无纤维化的肝细胞癌患者的生存情况。
Oncol Rep. 2020 May;43(5):1451-1466. doi: 10.3892/or.2020.7528. Epub 2020 Feb 18.
3
Risk Scoring System based on lncRNA Expression for Predicting Survival in Hepatocellular Carcinoma with Cirrhosis.基于长链非编码 RNA 表达的风险评分系统预测肝硬化肝细胞癌患者的生存情况。
Asian Pac J Cancer Prev. 2020 Jun 1;21(6):1787-1795. doi: 10.31557/APJCP.2020.21.6.1787.
4
Long non‑coding RNA‑based risk scoring system predicts prognosis of alcohol‑related hepatocellular carcinoma.基于长非编码 RNA 的风险评分系统预测酒精相关性肝细胞癌的预后。
Mol Med Rep. 2020 Aug;22(2):997-1007. doi: 10.3892/mmr.2020.11179. Epub 2020 May 22.
5
Integrated analysis of a competing endogenous RNA network reveals key long noncoding RNAs as potential prognostic biomarkers for hepatocellular carcinoma.竞争性内源性 RNA 网络的综合分析揭示关键长非编码 RNA 作为肝细胞癌潜在的预后生物标志物。
J Cell Biochem. 2019 Aug;120(8):13810-13825. doi: 10.1002/jcb.28655. Epub 2019 Apr 15.
6
Six-long non-coding RNA signature predicts recurrence-free survival in hepatocellular carcinoma.长链非编码 RNA 标志物预测肝细胞癌无复发生存率。
World J Gastroenterol. 2019 Jan 14;25(2):220-232. doi: 10.3748/wjg.v25.i2.220.
7
Identification of a five-long non-coding RNA signature to improve the prognosis prediction for patients with hepatocellular carcinoma.鉴定五个长链非编码 RNA 标志物以改善肝细胞癌患者的预后预测。
World J Gastroenterol. 2018 Aug 14;24(30):3426-3439. doi: 10.3748/wjg.v24.i30.3426.
8
Genome-Wide Analysis of Prognostic lncRNAs, miRNAs, and mRNAs Forming a Competing Endogenous RNA Network in Hepatocellular Carcinoma.肝细胞癌中构成竞争性内源RNA网络的预后性长链非编码RNA、微小RNA和信使RNA的全基因组分析
Cell Physiol Biochem. 2018;48(5):1953-1967. doi: 10.1159/000492519. Epub 2018 Aug 9.
9
A novel seven-lncRNA signature for prognosis prediction in hepatocellular carcinoma.一个新型的七长链非编码 RNA 标志物用于肝细胞癌的预后预测。
J Cell Biochem. 2019 Jan;120(1):213-223. doi: 10.1002/jcb.27321. Epub 2018 Sep 11.
10
A Four-Methylated lncRNAs-Based Prognostic Signature for Hepatocellular Carcinoma.基于四个甲基化 lncRNAs 的肝细胞癌预后签名。
Genes (Basel). 2020 Aug 8;11(8):908. doi: 10.3390/genes11080908.

引用本文的文献

1
Long non-coding RNA-based single and combination independent prognostic biomarkers for hepatocellular carcinoma.基于长链非编码RNA的肝细胞癌单因素及联合独立预后生物标志物
Discov Oncol. 2025 Sep 2;16(1):1674. doi: 10.1007/s12672-025-03309-1.

本文引用的文献

1
Cancer statistics, 2020.癌症统计数据,2020 年。
CA Cancer J Clin. 2020 Jan;70(1):7-30. doi: 10.3322/caac.21590. Epub 2020 Jan 8.
2
Long noncoding RNA GMAN promotes hepatocellular carcinoma progression by interacting with eIF4B.长链非编码 RNA GMAN 通过与 eIF4B 相互作用促进肝癌进展。
Cancer Lett. 2020 Mar 31;473:1-12. doi: 10.1016/j.canlet.2019.12.032. Epub 2019 Dec 23.
3
lncRNA MAGI2-AS3 Prevents the Development of HCC via Recruiting KDM1A and Promoting H3K4me2 Demethylation of the RACGAP1 Promoter.长链非编码RNA MAGI2-AS3通过招募KDM1A并促进RACGAP1启动子的H3K4me2去甲基化来抑制肝癌的发展。
Mol Ther Nucleic Acids. 2019 Dec 6;18:351-362. doi: 10.1016/j.omtn.2019.08.020. Epub 2019 Aug 28.
4
microRNA-1914, which is regulated by lncRNA DUXAP10, inhibits cell proliferation by targeting the GPR39-mediated PI3K/AKT/mTOR pathway in HCC.miRNA-1914 受 lncRNA DUXAP10 调控,通过靶向 GPR39 介导的 PI3K/AKT/mTOR 通路抑制 HCC 细胞增殖。
J Cell Mol Med. 2019 Dec;23(12):8292-8304. doi: 10.1111/jcmm.14705. Epub 2019 Oct 1.
5
The expression level and clinical significance of lncRNA X91348 in hepatocellular carcinoma.长非编码 RNA X91348 在肝细胞癌中的表达水平及临床意义。
Artif Cells Nanomed Biotechnol. 2019 Dec;47(1):3067-3071. doi: 10.1080/21691401.2019.1640228.
6
Clinical conditions and treatment requirements for long-term survival among hepatitis B-related hepatocellular carcinoma initially treated with chemoembolization.经化疗栓塞治疗的乙型肝炎相关肝细胞癌患者长期生存的临床状况和治疗需求。
Cancer Med. 2019 Sep;8(11):5097-5107. doi: 10.1002/cam4.2380. Epub 2019 Jul 17.
7
A Novel lncRNA IHS Promotes Tumor Proliferation and Metastasis in HCC by Regulating the ERK- and AKT/GSK-3β-Signaling Pathways.一种新型长链非编码RNA IHS通过调控ERK和AKT/GSK-3β信号通路促进肝癌的肿瘤增殖和转移。
Mol Ther Nucleic Acids. 2019 Jun 7;16:707-720. doi: 10.1016/j.omtn.2019.04.021. Epub 2019 Apr 30.
8
Competing endogenous RNA network and prognostic nomograms for hepatocellular carcinoma patients who underwent R0 resection.竞争内源性 RNA 网络和用于行 R0 切除术的肝细胞癌患者的预后列线图。
J Cell Physiol. 2019 Nov;234(11):20342-20353. doi: 10.1002/jcp.28634. Epub 2019 Apr 8.
9
Impact of narrow margin and R1 resection for hepatocellular carcinoma on the salvage liver transplantation strategy. An intention-to-treat analysis.窄切缘和 R1 切除对肝癌肝移植策略的影响:意向治疗分析。
HPB (Oxford). 2019 Oct;21(10):1295-1302. doi: 10.1016/j.hpb.2019.02.001. Epub 2019 Mar 1.
10
Radiotherapy for Hepatocellular Carcinoma Results in Comparable Survival to Radiofrequency Ablation: A Propensity Score Analysis.放疗治疗肝细胞癌的生存结果与射频消融相当:一项倾向评分分析。
Hepatology. 2019 Jun;69(6):2533-2545. doi: 10.1002/hep.30591. Epub 2019 May 2.