Suppr超能文献

将生态系统服务纳入水资源管理:一种基于指标的方法。

Integrating Ecosystem Services Into Water Resource Management: An Indicator-Based Approach.

作者信息

Shaad Kashif, Souter Nicholas J, Vollmer Derek, Regan Helen M, Bezerra Maíra Ometto

机构信息

Conservation International, Moore Center for Science, Arlington, VA, USA.

Conservation International, Greater Mekong Program, Phnom Penh, Cambodia.

出版信息

Environ Manage. 2022 Apr;69(4):752-767. doi: 10.1007/s00267-021-01559-7. Epub 2022 Jan 1.

Abstract

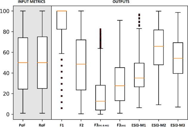
Natural ecosystems are fundamental to local water cycles and the water ecosystem services that humans enjoy, such as water provision, outdoor recreation, and flood protection. However, integrating ecosystem services into water resources management requires that they be acknowledged, quantified, and communicated to decision-makers. We present an indicator framework that incorporates the supply of, and demand for, water ecosystem services. This provides an initial diagnostic for water resource managers and a mechanism for evaluating tradeoffs through future scenarios. Building on a risk assessment framework, we present a three-tiered indicator for measuring where demand exceeds the supply of services, addressing the scope (spatial extent), frequency, and amplitude for which objectives (service delivery) are not met. The Ecosystem Service Indicator is measured on a 0-100 scale, which encompasses none to total service delivery. We demonstrate the framework and its applicability to a variety of services and data sources (e.g., monitoring stations, statistical yearbooks, modeled datasets) from case studies in China and Southeast Asia. We evaluate the sensitivity of the indicator scores to varying levels data and three methods of calculation using a simulated test dataset. Our indicator framework is conceptually simple, robust, and flexible enough to offer a starting point for decision-makers and to accommodate the evolution and expansion of tools, models and data sources used to measure and evaluate the value of water ecosystem services.

摘要

自然生态系统对于当地的水循环以及人类所享有的水生态系统服务至关重要,如水的供应、户外休闲和防洪等。然而,将生态系统服务纳入水资源管理需要对其加以认可、量化并传达给决策者。我们提出了一个指标框架,该框架纳入了水生态系统服务的供给和需求。这为水资源管理者提供了初步诊断,并为通过未来情景评估权衡取舍提供了一种机制。基于风险评估框架,我们提出了一个三层指标,用于衡量需求超过服务供给的情况,解决目标(服务提供)未达成的范围(空间范围)、频率和幅度。生态系统服务指标的衡量范围是0至100,涵盖从无服务提供到完全服务提供的情况。我们通过中国和东南亚的案例研究,展示了该框架及其对各种服务和数据源(如监测站、统计年鉴、模型数据集)的适用性。我们使用模拟测试数据集评估了指标得分对不同数据水平和三种计算方法的敏感性。我们的指标框架在概念上简单、稳健且灵活,足以作为决策者的起点,并适应于用于衡量和评估水生态系统服务价值的工具、模型和数据源的演变与扩展。

https://cdn.ncbi.nlm.nih.gov/pmc/blobs/c914/9012719/9d9f7e19693e/267_2021_1559_Fig1_HTML.jpg

文献检索

告别复杂PubMed语法,用中文像聊天一样搜索,搜遍4000万医学文献。AI智能推荐,让科研检索更轻松。

立即免费搜索

文件翻译

保留排版,准确专业,支持PDF/Word/PPT等文件格式,支持 12+语言互译。

免费翻译文档

深度研究

AI帮你快速写综述,25分钟生成高质量综述,智能提取关键信息,辅助科研写作。

立即免费体验