Suppr超能文献

量化尼泊尔出生家庭财富与女性早婚之间的关联。

Quantifying the association of natal household wealth with women's early marriage in Nepal.

作者信息

Marphatia Akanksha A, Saville Naomi M, Manandhar Dharma S, Cortina-Borja Mario, Wells Jonathan C K, Reid Alice M

机构信息

Department of Geography, University of Cambridge, Cambridge, United Kingdom.

Great Ormond Street Institute of Child Health, University College London, London, United Kingdom.

出版信息

PeerJ. 2021 Dec 16;9:e12324. doi: 10.7717/peerj.12324. eCollection 2021.

Abstract

BACKGROUND

Women's early marriage (<18 years) is a critical global health issue affecting 650 million women worldwide. It is associated with a range of adverse maternal physical and mental health outcomes, including early childbearing, child undernutrition and morbidity. Poverty is widely asserted to be the key risk factor driving early marriage. However, most studies do not measure wealth in the natal household, but instead, use marital household wealth as a proxy for natal wealth. Further research is required to understand the key drivers of early marriage.

METHODS

We investigated whether natal household poverty was associated with marrying early, independently of women's lower educational attainment and broader markers of household disadvantage. Data on natal household wealth (material asset score) for 2,432 women aged 18-39 years was used from the cluster-randomized Low Birth Weight South Asia Trial in lowland rural Nepal. Different early marriage definitions (<15, <16, <17 and <18 years) were used because most of our population marries below the conventional 18-year cut-off. Logistic mixed-effects models were fitted to estimate the probabilities, derived from adjusted Odds Ratios, of (a) marrying at different early ages for the full sample and for the uneducated women, and (b) being uneducated in the first place.

RESULTS

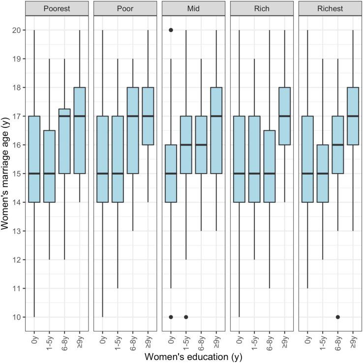
Women married at median age 15 years (interquartile range 3), and only 18% married ≥18 years. Two-thirds of the women were entirely uneducated. We found that, rather than poverty, women's lower education was the primary factor associated with early marriage, regardless of how 'early' is defined. Neither poverty nor other markers of household disadvantage were associated with early marriage at any age in the uneducated women. However, poverty was associated with women being uneducated.

CONCLUSION

When assets are measured in the natal household in this population, there is no support for the conventional hypothesis that household poverty is associated with daughters' early marriage, but it is associated with not going to school. We propose that improving access to free education would both reduce early marriage and have broader benefits for maternal and child health and gender equality.

摘要

背景

女性早婚(<18岁)是一个严重的全球健康问题,影响着全球6.5亿女性。它与一系列不良的孕产妇身心健康后果相关,包括早育、儿童营养不良和发病率。普遍认为贫困是推动早婚的关键风险因素。然而,大多数研究并未衡量其原生家庭的财富,而是使用婚姻家庭财富来替代原生家庭财富。需要进一步研究以了解早婚的关键驱动因素。

方法

我们调查了原生家庭贫困是否与早婚相关,且独立于女性较低的教育程度和家庭劣势的更广泛指标。来自尼泊尔低地农村的整群随机低出生体重南亚试验的2432名18 - 39岁女性的原生家庭财富(物质资产得分)数据被采用。使用了不同的早婚定义(<15岁、<16岁、<17岁和<18岁),因为我们的大多数研究对象结婚年龄低于传统的18岁界限。采用逻辑混合效应模型来估计概率,这些概率源自调整后的优势比,用于(a)整个样本以及未受过教育的女性在不同早婚年龄结婚的概率,以及(b)首先未受过教育的概率。

结果

女性的结婚中位年龄为15岁(四分位间距为3),只有18%的女性结婚年龄≥18岁。三分之二的女性完全未受过教育。我们发现,与贫困相比,女性较低的教育程度才是与早婚相关的主要因素,无论“早婚”如何定义。在未受过教育的女性中,贫困和家庭劣势的其他指标在任何年龄都与早婚无关。然而,贫困与女性未受过教育相关。

结论

在该人群中以原生家庭资产衡量时,没有证据支持家庭贫困与女儿早婚相关这一传统假设,但贫困与不上学相关。我们建议改善免费教育的可及性既能减少早婚,又能对母婴健康和性别平等带来更广泛的益处。

https://cdn.ncbi.nlm.nih.gov/pmc/blobs/2a49/8684741/0dfe258f5b76/peerj-09-12324-g001.jpg

文献AI研究员

20分钟写一篇综述,助力文献阅读效率提升50倍。

立即体验

用中文搜PubMed

大模型驱动的PubMed中文搜索引擎

马上搜索

文档翻译

学术文献翻译模型,支持多种主流文档格式。

立即体验