Suppr超能文献

基于迈克尔逊干涉仪的光纤探头传感器的高温测量

High-Temperature Measurement of a Fiber Probe Sensor Based on the Michelson Interferometer.

作者信息

Guo Jiahao, Lian Siping, Zhang Ying, Zhang Yufeng, Liang Dezhi, Yu Yongqin, Chen Ruohang, Du Chenlin, Ruan Shuangchen

机构信息

College of Physical Science and Technology, Guangxi Normal University, Guilin 541004, China.

Key Laboratory of Advanced Optical Precision Manufacturing Technology of Guangdong Higher Education Institutes, Shenzhen Technology University, Shenzhen 518060, China.

出版信息

Sensors (Basel). 2021 Dec 31;22(1):289. doi: 10.3390/s22010289.

Abstract

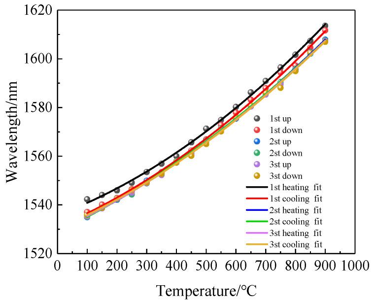
In this paper, a fiber probe high-temperature sensor based on the Michelson Interferometer (MI) is proposed and experimentally verified. We used a fiber splicing machine to fabricate a taper of the single-mode fiber (SMF) end. The high order modes were excited at the taper, so that different modes were transmitted forward in the fiber and reflected by the end face of the fiber and then recoupled back to the fiber core to form MI. For comparison, we also coated a thin gold film on the fiber end to improve the reflectivity, and the reflection intensity was improved by 16 dB. The experimental results showed that the temperature sensitivity at 1506 nm was 80 pm/°C (100 °C450 °C) and 109 pm/°C (450 °C900 °C). The repeated heating and cooling processes showed that the MI structure had good stability at a temperature up to 900 °C. This fiber probe sensor has the advantages of a small size, simple structure, easy manufacturing, good stability, and broad application prospects in industrial and other environments.

摘要

本文提出了一种基于迈克尔逊干涉仪(MI)的光纤探针高温传感器,并进行了实验验证。我们使用光纤熔接机制作了单模光纤(SMF)末端的锥形结构。在锥形结构处激发高阶模,使得不同模式在光纤中向前传输并被光纤端面反射,然后再耦合回光纤芯中形成迈克尔逊干涉。为作比较,我们还在光纤末端镀了一层薄金膜以提高反射率,反射强度提高了16 dB。实验结果表明,在1506 nm处的温度灵敏度在100 °C至450 °C时为80 pm/°C,在450 °C至900 °C时为109 pm/°C。反复的加热和冷却过程表明,迈克尔逊干涉结构在高达900 °C的温度下具有良好的稳定性。这种光纤探针传感器具有尺寸小、结构简单、易于制造、稳定性好等优点,在工业等环境中具有广阔的应用前景。

https://cdn.ncbi.nlm.nih.gov/pmc/blobs/628c/8749652/32d751f21a2e/sensors-22-00289-g001.jpg

文献检索

告别复杂PubMed语法,用中文像聊天一样搜索,搜遍4000万医学文献。AI智能推荐,让科研检索更轻松。

立即免费搜索

文件翻译

保留排版,准确专业,支持PDF/Word/PPT等文件格式,支持 12+语言互译。

免费翻译文档

深度研究

AI帮你快速写综述,25分钟生成高质量综述,智能提取关键信息,辅助科研写作。

立即免费体验