Suppr超能文献

注入活性液体的固体(SWIRL):一种用于有效捕获二氧化碳的新型液基分离方法。

Solid with infused reactive liquid (SWIRL): A novel liquid-based separation approach for effective CO capture.

作者信息

Yeganeh Mohsen S, Jusufi Arben, Deighton Shane P, Ide Matthew S, Siskin Michael, Jaishankar Aditya, Maldarelli Charles, Bertolini Pedro, Natarajan Bharath, Vreeland Jessica L, King Mark A, Konicek Andrew R

机构信息

ExxonMobil Research and Engineering Company, Annandale, NJ 08801, USA.

Chemical Engineering, The City College of New York, New York, NY 10031, USA.

出版信息

Sci Adv. 2022 Feb 11;8(6):eabm0144. doi: 10.1126/sciadv.abm0144. Epub 2022 Feb 9.

Abstract

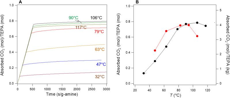
Economical CO capture demands low-energy separation strategies. We use a liquid-infused surface (LIS) approach to immobilize reactive liquids, such as amines, on a textured and thermally conductive solid substrate with high surface-area to volume ratio (A/V) continuum geometry. The infused, micrometer-thick liquid retains that high A/V and directly contacts the gas phase, alleviating mass transport resistance typically encountered in mesoporous solid adsorbents. We name this LIS class "solid with infused reactive liquid" (SWIRL). SWIRL-amine requires no water dilution or costly mixing unlike the current liquid-based commercial approach. SWIRL-tetraethylenepentamine (TEPA) shows stable, high capture capacities at power plant CO concentrations near flue gas temperatures, preventing energy-intensive temperature swings needed for other approaches. Water vapor increases CO capacity of SWIRL-TEPA without compromising stability.

摘要

经济的二氧化碳捕集需要低能耗的分离策略。我们采用液体注入表面(LIS)方法,将诸如胺类等反应性液体固定在具有高表面积与体积比(A/V)连续几何形状的纹理化且导热的固体基材上。注入的微米级厚液体保持了高A/V,并直接与气相接触,减轻了中孔固体吸附剂中通常遇到的传质阻力。我们将这类LIS命名为“注入反应性液体的固体”(SWIRL)。与当前基于液体的商业方法不同,SWIRL-胺不需要水稀释或昂贵的混合。SWIRL-四乙烯五胺(TEPA)在接近烟气温度的电厂二氧化碳浓度下显示出稳定的高捕集能力,避免了其他方法所需的耗能温度波动。水蒸气可提高SWIRL-TEPA的二氧化碳捕集能力,同时不影响其稳定性。

https://cdn.ncbi.nlm.nih.gov/pmc/blobs/791b/8827647/0b9e68bdfaa9/sciadv.abm0144-f1.jpg

文献检索

告别复杂PubMed语法,用中文像聊天一样搜索,搜遍4000万医学文献。AI智能推荐,让科研检索更轻松。

立即免费搜索

文件翻译

保留排版,准确专业,支持PDF/Word/PPT等文件格式,支持 12+语言互译。

免费翻译文档

深度研究

AI帮你快速写综述,25分钟生成高质量综述,智能提取关键信息,辅助科研写作。

立即免费体验