Laboratory of Chemistry and Cell Biology, The Rockefeller University, New York, United States.
Laboratory of Mass Spectrometry and Gaseous Ion Chemistry, The Rockefeller University, New York, United States.
Elife. 2022 Feb 11;11:e73534. doi: 10.7554/eLife.73534.
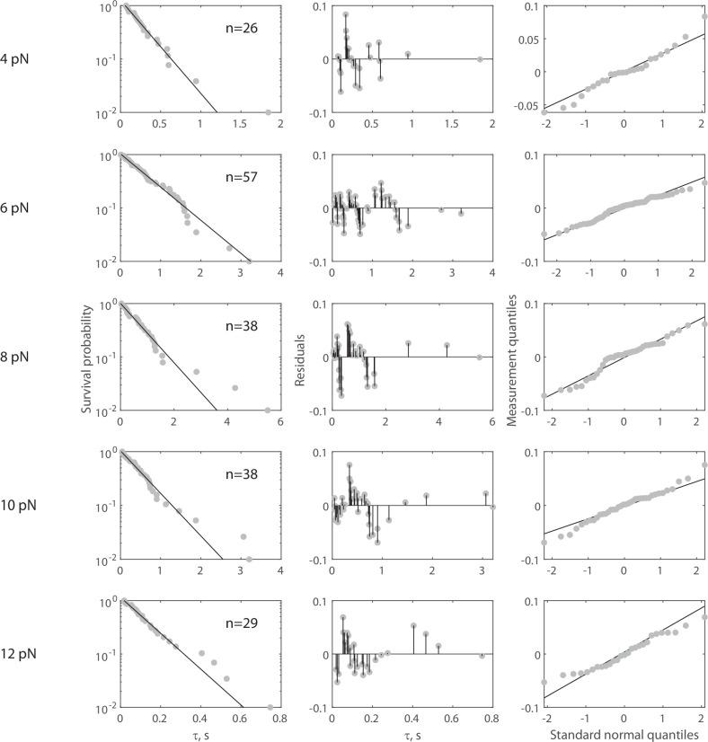
Catch bonds are a form of mechanoregulation wherein protein-ligand interactions are strengthened by the application of dissociative tension. Currently, the best-characterized examples of catch bonds are between single protein-ligand pairs. The essential AAA (ATPase associated with diverse cellular activities) mechanoenzyme Mdn1 drives at least two separate steps in ribosome biogenesis, using its MIDAS domain to extract the ubiquitin-like (UBL) domain-containing proteins Rsa4 and Ytm1 from ribosomal precursors. However, it must subsequently release these assembly factors to reinitiate the enzymatic cycle. The mechanism underlying the switching of the MIDAS-UBL interaction between strongly and weakly bound states is unknown. Here, we use optical tweezers to investigate the force dependence of MIDAS-UBL binding. Parallel experiments with Rsa4 and Ytm1 show that forces up to ~4 pN, matching the magnitude of force produced by AAA proteins similar to Mdn1, enhance the MIDAS domain binding lifetime up to 10-fold, and higher forces accelerate dissociation. Together, our studies indicate that Mdn1's MIDAS domain can form catch bonds with more than one UBL substrate, and provide insights into how mechanoregulation may contribute to the Mdn1 enzymatic cycle during ribosome biogenesis.
捕获键是一种机械调节形式,其中蛋白质-配体相互作用通过施加解离张力而增强。目前,捕获键的最佳特征是在单个蛋白质-配体对之间。基本的 AAA(与多种细胞活动相关的 ATP 酶)机械酶 Mdn1 至少在核糖体生物发生的两个不同步骤中使用其 MIDAS 结构域从核糖体前体中提取含有泛素样(UBL)结构域的蛋白质 Rsa4 和 Ytm1。然而,它随后必须释放这些组装因子以重新启动酶循环。MIDAS-UBL 相互作用在强结合态和弱结合态之间切换的机制尚不清楚。在这里,我们使用光学镊子研究了 MIDAS-UBL 结合的力依赖性。与 Rsa4 和 Ytm1 的平行实验表明,高达~4 pN 的力,与类似于 Mdn1 的 AAA 蛋白产生的力相当,可将 MIDAS 结构域的结合寿命提高 10 倍,而更高的力则会加速解离。总的来说,我们的研究表明,Mdn1 的 MIDAS 结构域可以与多个 UBL 底物形成捕获键,并提供了关于机械调节如何可能有助于 Mdn1 在核糖体生物发生期间的酶循环的见解。