Suppr超能文献

阿仑膦酸钠与地舒单抗对老年糖尿病患者主要骨质疏松性骨折风险的疗效:一项丹麦回顾性队列研究。

The Efficacy of Alendronate Versus Denosumab on Major Osteoporotic Fracture Risk in Elderly Patients With Diabetes Mellitus: A Danish Retrospective Cohort Study.

机构信息

Steno Diabetes Center North Jutland, Department of Endocrinology, Aalborg University Hospital, Aalborg, Denmark.

Department of Clinical Medicine, Aalborg University, Aalborg, Denmark.

出版信息

Front Endocrinol (Lausanne). 2022 Jan 26;12:826997. doi: 10.3389/fendo.2021.826997. eCollection 2021.

Abstract

OBJECTIVE

Patients with diabetes mellitus have an increased risk of fractures; however, the underlying mechanism is largely unknown. We aimed to investigate whether the risk of major osteoporotic fractures in diabetes patients differs between subjects initiated with alendronate and denosumab, respectively.

METHODS AND RESEARCH DESIGN

We conducted a retrospective nationwide cohort study through access to all discharge diagnoses (ICD-10 system) from the National Danish Patient Registry along with all redeemed drug prescriptions (ATC classification system) from the Health Service Prescription Registry. We identified all subjects with a diabetes diagnosis between 2000 and 2018 and collected data on the first new prescription of anti-osteoporotic treatment between 2011 and 2018. Exposure was defined as either alendronate or denosumab treatment initiated after diabetes diagnosis. Outcome information was collected by identification of all major osteoporotic fracture (MOF) diagnoses, i.e., hip, spine, forearm, and humerus, from exposure until 2018 or censoring by emigration or death. The risk of fracture was calculated as hazard ratios (HR) using multiply adjusted Cox proportional models with death as a competing risk.

RESULTS

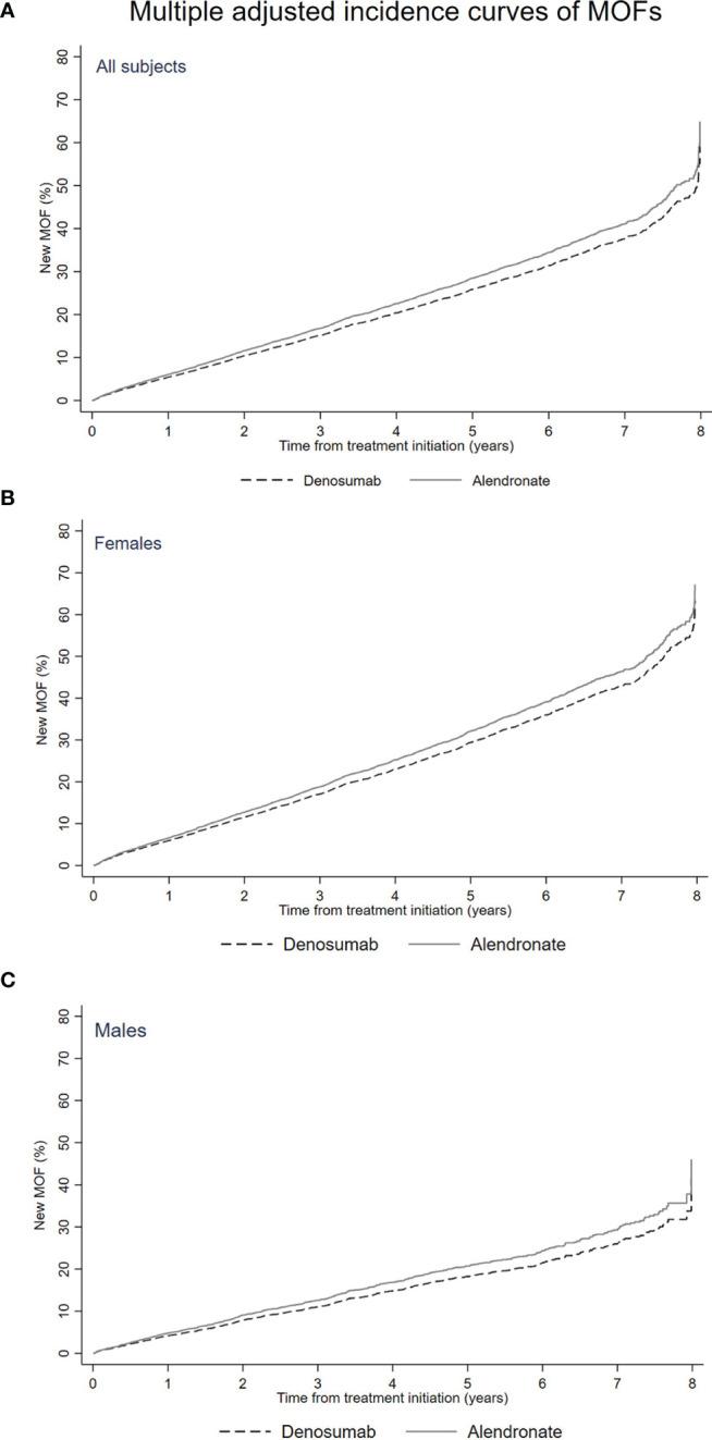
We included 8,745 subjects initiated with either alendronate (n = 8,255) or denosumab (n = 490). The cohort consisted of subjects with a mean age of 73.62 (SD ± 9.27) years, primarily females (69%) and suffering mainly from type 2 diabetes (98.22%) with a median diabetes duration at baseline of 5.45 years (IQR 2.41-9.19). Those in the denosumab group were older (mean 75.60 [SD ± 9.72] versus 73.51 [SD ± 9.23] years), had a higher proportion of women (81% versus 68%, RR 1.18 [95% CI 1.13-1.24], and were more comorbid (mean CCI 2.68 [95% CI 2.47-2.88] versus 1.98 [95% CI 1.93-2.02]) compared to alendronate initiators. In addition, denosumab users had a higher prevalence of previous fractures (64% versus 46%, RR 1.38 [95% CI 1.28-1.48]). The adjusted HR for any MOF after treatment initiation with denosumab was 0.89 (95% CI 0.78-1.02) compared to initiation with alendronate.

CONCLUSION

The risk of incident MOF among subjects with diabetes was similar between those initially treated with alendronate and denosumab. These findings indicate that the two treatment strategies are equally effective in preventing osteoporotic fractures in subjects with diabetes.

摘要

目的

糖尿病患者骨折风险增加;然而,其潜在机制在很大程度上尚不清楚。我们旨在研究分别接受阿仑膦酸钠和地舒单抗治疗的糖尿病患者发生主要骨质疏松性骨折的风险是否存在差异。

方法和研究设计

我们通过访问国家丹麦患者登记处的所有出院诊断(ICD-10 系统)以及健康服务处方登记处的所有已兑现药物处方(ATC 分类系统),进行了一项回顾性全国队列研究。我们确定了 2000 年至 2018 年间所有患有糖尿病的患者,并收集了 2011 年至 2018 年间首次使用抗骨质疏松治疗的相关数据。暴露定义为糖尿病诊断后开始使用阿仑膦酸钠或地舒单抗治疗。结局信息通过识别所有主要骨质疏松性骨折(MOF)诊断(即髋部、脊柱、前臂和肱骨)获得,从暴露开始到 2018 年或因移民或死亡而删失。使用调整后的 Cox 比例风险模型计算骨折风险比(HR),以死亡为竞争风险。

结果

我们纳入了 8745 名患者,分别接受了阿仑膦酸钠(n=8255)或地舒单抗(n=490)治疗。该队列的平均年龄为 73.62 岁(标准差±9.27),主要为女性(69%),主要患有 2 型糖尿病(98.22%),基线时糖尿病病程中位数为 5.45 年(IQR 2.41-9.19)。地舒单抗组的年龄更大(平均 75.60 岁[标准差±9.72],而阿仑膦酸钠组为 73.51 岁[标准差±9.23]),女性比例更高(81%对 68%,RR 1.18 [95% CI 1.13-1.24]),合并症更多(平均 CCI 2.68 [95% CI 2.47-2.88],而阿仑膦酸钠组为 1.98 [95% CI 1.93-2.02])。此外,与阿仑膦酸钠组相比,地舒单抗组的既往骨折发生率更高(64%对 46%,RR 1.38 [95% CI 1.28-1.48])。与阿仑膦酸钠相比,治疗开始后接受地舒单抗治疗的患者发生任何 MOF 的调整后 HR 为 0.89(95% CI 0.78-1.02)。

结论

糖尿病患者中,起始接受阿仑膦酸钠或地舒单抗治疗的患者发生 MOF 的风险相似。这些发现表明,这两种治疗策略在预防糖尿病患者骨质疏松性骨折方面同样有效。

https://cdn.ncbi.nlm.nih.gov/pmc/blobs/b510/8825412/9224d8c6bbef/fendo-12-826997-g001.jpg

文献检索

告别复杂PubMed语法,用中文像聊天一样搜索,搜遍4000万医学文献。AI智能推荐,让科研检索更轻松。

立即免费搜索

文件翻译

保留排版,准确专业,支持PDF/Word/PPT等文件格式,支持 12+语言互译。

免费翻译文档

深度研究

AI帮你快速写综述,25分钟生成高质量综述,智能提取关键信息,辅助科研写作。

立即免费体验