Suppr超能文献

肺结核与肺癌风险:一项系统评价与荟萃分析

Pulmonary Tuberculosis and Risk of Lung Cancer: A Systematic Review and Meta-Analysis.

作者信息

Hwang Soo Young, Kim Jong Yeob, Lee Hye Sun, Lee Sujee, Kim Dayeong, Kim Subin, Hyun Jong Hoon, Shin Jae Il, Lee Kyoung Hwa, Han Sang Hoon, Song Young Goo

机构信息

Yonsei University College of Medicine, Seoul 06273, Korea.

Biostatistics Collaboration Unit, Yonsei University College of Medicine, Seoul 06273, Korea.

出版信息

J Clin Med. 2022 Jan 30;11(3):765. doi: 10.3390/jcm11030765.

Abstract

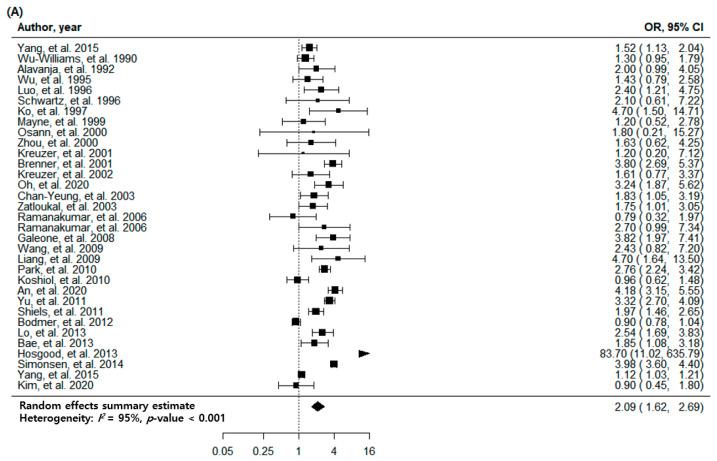
Pulmonary tuberculosis (TB) is a known risk factor for lung cancer. However, a detailed analysis of lung cancer type, age, sex, smoking, and TB burden associated with geographic and socioeconomic status has not been performed previously. We systematically appraised relevant observational studies reporting an association between pulmonary TB and lung cancer. All studies were included in the primary analysis, and studies that used robust TB diagnostic methods, such as validated medical diagnostic codes, were included in the secondary analysis. Thirty-two articles were included. The association between the history of pulmonary TB and diagnosis of lung cancer was statistically significant (OR 2.09, 95% CI: 1.62-2.69, < 0.001). There was a high heterogeneity ( = 95%), without any publication bias. The analysis indicated a high association in advanced articles describing stringent pulmonary TB diagnosis (OR 2.26, 95% CI: 1.29-3.94, = 0.004). The subgroup analyses suggested a significant association in countries with medium or high TB burdens, from East Asia and the Pacific region, and upper-middle income countries. Heterogeneity within the subgroups remained high in a majority of the subgroup analyses. A meta-regression analysis revealed that younger patients showed a significantly higher association between TB and lung cancer (regression coefficient = 0.949, < 0.001). The history of pulmonary TB is an independent risk factor for lung cancer, especially in younger patients diagnosed with pulmonary TB. Clinicians should be aware of this association while treating young patients with a history of pulmonary TB.

摘要

肺结核是肺癌的已知危险因素。然而,此前尚未对与地理和社会经济状况相关的肺癌类型、年龄、性别、吸烟及结核病负担进行详细分析。我们系统评估了报告肺结核与肺癌之间关联的相关观察性研究。所有研究均纳入初步分析,使用可靠结核病诊断方法(如经过验证的医学诊断编码)的研究纳入二次分析。共纳入32篇文章。肺结核病史与肺癌诊断之间的关联具有统计学意义(比值比2.09,95%置信区间:1.62 - 2.69,P < 0.001)。存在高度异质性(I² = 95%),无任何发表偏倚。分析表明,在描述严格肺结核诊断的高级文章中关联度较高(比值比2.26,95%置信区间:1.29 - 3.94,P = 0.004)。亚组分析表明,在结核病负担中等或较高的国家、东亚及太平洋地区以及中高收入国家存在显著关联。大多数亚组分析中亚组内的异质性仍然较高。一项meta回归分析显示,年轻患者的结核病与肺癌之间关联度显著更高(回归系数 = 0.949,P < 0.001)。肺结核病史是肺癌的独立危险因素,尤其是在诊断为肺结核的年轻患者中。临床医生在治疗有肺结核病史的年轻患者时应注意这种关联。

https://cdn.ncbi.nlm.nih.gov/pmc/blobs/3384/8836400/24fabad6b4e9/jcm-11-00765-g001.jpg

文献检索

告别复杂PubMed语法,用中文像聊天一样搜索,搜遍4000万医学文献。AI智能推荐,让科研检索更轻松。

立即免费搜索

文件翻译

保留排版,准确专业,支持PDF/Word/PPT等文件格式,支持 12+语言互译。

免费翻译文档

深度研究

AI帮你快速写综述,25分钟生成高质量综述,智能提取关键信息,辅助科研写作。

立即免费体验