Slobodinyuk Alexey, Strelnikov Vladimir, Senichev Valeriy Yu, Slobodinyuk Daria
Institute of Technical Chemistry Ural Branch of the Russian Academy of Sciences, Ac. Korolev 3, 614130 Perm, Russia.
Polymers (Basel). 2022 Jan 27;14(3):524. doi: 10.3390/polym14030524.
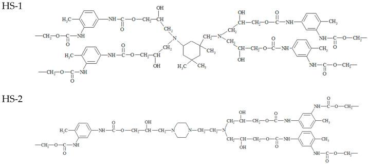
The effect of polyester oligoethylene adipate molecular weight, diisocyanate structure, and chain extender on the properties of epoxyurethane-based oligomer elastomers was studied in this research. Oligoethylene adipates were obtained via polycondensation of adipic acid and ethylene glycol. Epoxyurethane oligomers were synthesized according to a two-step route with an oligodiisocyanate as an intermediate product. The elastomers with hard urethane hydroxyl blocks were synthesized from oligodiisocyanates. The deformation and strength properties of the elastomers were studied.
本研究考察了聚己二酸乙二酯分子量、二异氰酸酯结构和扩链剂对环氧聚氨酯基低聚物弹性体性能的影响。通过己二酸与乙二醇的缩聚反应制得聚己二酸乙二酯。环氧聚氨酯低聚物以低聚二异氰酸酯为中间产物,按两步法合成。由低聚二异氰酸酯合成了具有硬聚氨酯羟基嵌段的弹性体,并对其变形和强度性能进行了研究。