Suppr超能文献

烧结氧化锌压敏陶瓷过程中晶界处本征和非本征电子陷阱的演变

Evolution of Intrinsic and Extrinsic Electron Traps at Grain Boundary during Sintering ZnO Based Varistor Ceramics.

作者信息

Xie Pengkang, Wang Ziyue, Wu Kangning

机构信息

State Key Laboratory of Disaster Prevention and Reduction for Power Grid Transmission and Distribution Equipment, Changsha 410000, China.

Northwest Electric Power Design Institute Co., Ltd. of China Power Engineering Consulting Group, Xi'an 710075, China.

出版信息

Materials (Basel). 2022 Jan 30;15(3):1098. doi: 10.3390/ma15031098.

Abstract

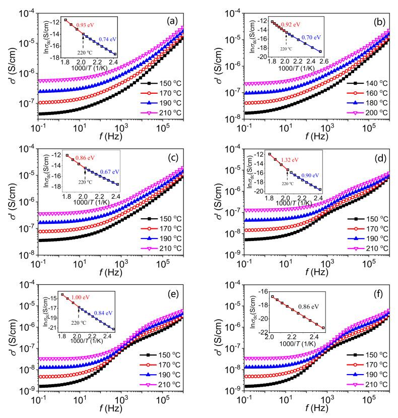
In this paper, evolution of microstructures, electrical properties and defects of the double Schottky barrier during the sintering process were investigated by quenching ZnO varistor ceramics at different sintering stages. It was found that morphology of the samples changed little when the temperature was below 800 °C. Remarkable enhancement of the Schottky barrier height and electrical properties took place in the temperature range between 600 °C and 800 °C. The Bi-rich intergranular layer changed from phase to phase. The interfacial relaxation at depletion/intergranular layers became detectable in the samples. Meanwhile, a distinct relaxation loss peak from electron trapping of interface states was observed instead of two dispersed ones. It indicated that the differences among the Schottky barriers in ZnO varistor ceramics became smaller with the process of sintering, which was also supported by the admittance spectra. In addition, oxygen vacancy was found more sensitive to the sintering process than zinc interstitial. The results could provide guidance for fine manipulating the Schottky barrier and its underlying defect structures by optimizing sintering process.

摘要

本文通过在不同烧结阶段对ZnO压敏电阻陶瓷进行淬火处理,研究了双肖特基势垒在烧结过程中的微观结构、电学性能和缺陷的演变。研究发现,当温度低于800℃时,样品的形貌变化不大。在600℃至800℃的温度范围内,肖特基势垒高度和电学性能显著增强。富Bi晶界层从 相转变为 相。在样品中,耗尽层/晶界层处的界面弛豫变得可检测到。同时,观察到一个由界面态电子俘获引起的明显弛豫损耗峰,而不是两个分散的峰。这表明,随着烧结过程的进行,ZnO压敏电阻陶瓷中肖特基势垒之间的差异变小,这也得到了导纳谱的支持。此外,发现氧空位比锌间隙原子对烧结过程更敏感。这些结果可为通过优化烧结工艺精细调控肖特基势垒及其潜在缺陷结构提供指导。

https://cdn.ncbi.nlm.nih.gov/pmc/blobs/9630/8839342/eea3e5cba8a9/materials-15-01098-g001.jpg

文献AI研究员

20分钟写一篇综述,助力文献阅读效率提升50倍。

立即体验

用中文搜PubMed

大模型驱动的PubMed中文搜索引擎

马上搜索

文档翻译

学术文献翻译模型,支持多种主流文档格式。

立即体验