Xiao Yongjian, Yang Yang, Kang Shenglin, Li Yuchen, Hou Xinyuan, Ren Chengjun, Wang Xilin, Zhao Xuetong
State Key Laboratory of Power Transmission Equipment Technology, Chongqing University, Shapingba District, Chongqing 400044, China.
Southwest Branch, State Grid Corporation of China, Chengdu 610041, China.
Molecules. 2023 Dec 25;29(1):129. doi: 10.3390/molecules29010129.
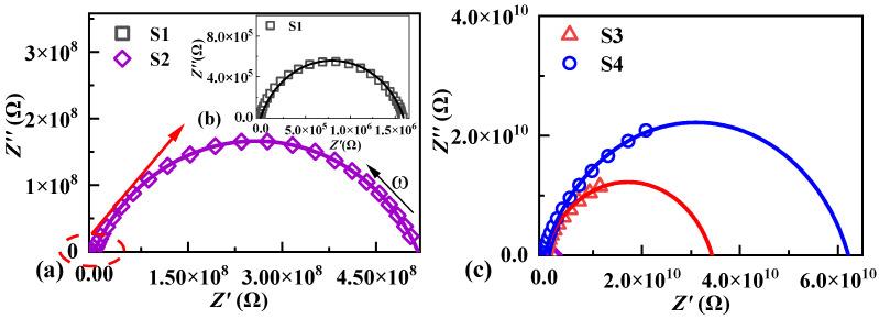
Grain boundaries play a significant role in determining the performance of ceramic-based materials. The modulation of interfacial structures provides a promising approach to improve the physicochemical and electrical properties of ceramic materials. In this work, the grain boundary structures of ZnO-based ceramics were manipulated by incorporating polytetrafluoroethylene (PTFE) and metal oxides through the cold sintering process (CSP). It was found that the grain size of ZnO-based ceramics can be effectively reduced from 525.93 nm to 338.08 nm with an addition of PTFE and metal oxides of CoO and MnO. Microstructural results show that most of the PTFE phase and metal oxides were distributed along the grain boundaries, which may lead to the increased grain boundary resistance from 1.59 × 10 ohm of pure ZnO to 6.21 × 10 ohm of ZnO-based ceramics doped with PTFE and metal oxides, and enhanced Schottky barrier height from 0.32 eV to 0.59 eV. As a result, the breakdown field and nonlinear coefficient of the ZnO-based ceramics were improved to 3555.56 V/mm and 13.55, respectively. Therefore, this work indicates that CSP presents a feasible approach to design functional ceramic composites through the integration of polymer and metal oxides.
晶界在决定陶瓷基材料的性能方面起着重要作用。界面结构的调控为改善陶瓷材料的物理化学和电学性能提供了一种有前景的方法。在这项工作中,通过冷烧结工艺(CSP)引入聚四氟乙烯(PTFE)和金属氧化物来调控ZnO基陶瓷的晶界结构。研究发现,添加PTFE以及CoO和MnO金属氧化物后,ZnO基陶瓷的晶粒尺寸可从525.93 nm有效减小至338.08 nm。微观结构结果表明,大部分PTFE相和金属氧化物沿晶界分布,这可能导致晶界电阻从纯ZnO的1.59×10欧姆增加到掺杂PTFE和金属氧化物的ZnO基陶瓷的6.21×10欧姆,同时肖特基势垒高度从0.32 eV提高到0.59 eV。结果,ZnO基陶瓷的击穿场强和非线性系数分别提高到3555.56 V/mm和13.55。因此,这项工作表明冷烧结工艺是一种通过聚合物与金属氧化物结合来设计功能陶瓷复合材料的可行方法。