Suppr超能文献

体外高频超声剪切波弹性成像评估各向异性机械组织。

Ex Vivo Evaluation of Mechanical Anisotropic Tissues with High-Frequency Ultrasound Shear Wave Elastography.

机构信息

Department of Information and Communication Engineering, Daegu Gyeongbuk Institute of Science and Techonology (DGIST), Daegu 42988, Korea.

Division of Pediatric Cardiology, Department of Pediatrics, Yonsei University College of Medicine, Seoul 06229, Korea.

出版信息

Sensors (Basel). 2022 Jan 27;22(3):978. doi: 10.3390/s22030978.

Abstract

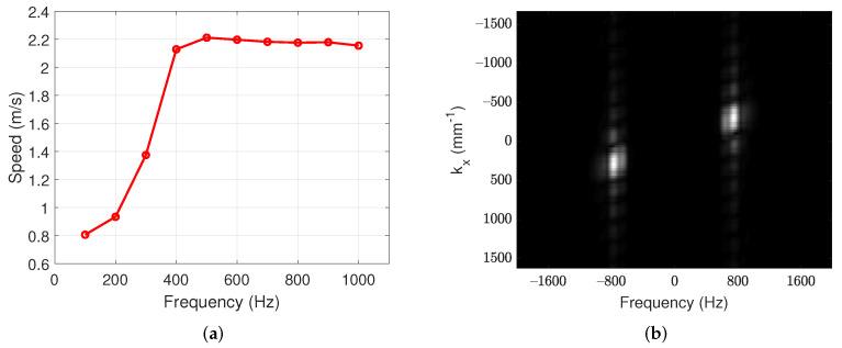
The use of imaging devices to assess directional mechanics of tissues is highly desirable. This is because the directional mechanics depend on fiber orientation, and altered directional mechanics are closely related to the pathological status of tissues. However, measuring directional mechanics in tissues with high-stiffness is challenging due to the difficulty of generating localized displacement in these tissues using acoustic radiation force, a general method for generating displacement in ultrasound-based elastography. In addition, common ultrasound probes do not provide rotational function, which makes the measurement of directional mechanics inaccurate and unreliable. Therefore, we developed a high-frequency ultrasound mechanical wave elastography system that can accommodate a wide range of tissue stiffness and is also equipped with a motorized rotation stage for precise imaging of directional mechanics. A mechanical shaker was applied to the elastography system to measure tissues with high-stiffness. Phantom and ex vivo experiments were performed. In the phantom experiments, the lateral and axial resolution of the system were determined to be 144 μm and 168 μm, respectively. In the ex vivo experiments, we used swine heart and cartilage, both of which are considered stiff. The elastography system allows us to acquire the directional mechanics with high angular resolution in the heart and cartilage. The results demonstrate that the developed elastography system is capable of imaging a wide range of tissues and has high angular resolution. Therefore, this system might be useful for the diagnostics of mechanically anisotropic tissues via ex vivo tests.

摘要

使用成像设备来评估组织的各向力学特性是非常理想的。这是因为各向力学特性取决于纤维方向,而各向力学特性的改变与组织的病理状态密切相关。然而,由于使用声辐射力(一种在基于超声的弹性成像中产生位移的通用方法)在高硬度组织中产生局部位移具有挑战性,因此测量组织的各向力学特性具有一定的难度。此外,常见的超声探头不提供旋转功能,这使得各向力学特性的测量不准确和不可靠。因此,我们开发了一种高频超声机械波弹性成像系统,该系统可以适应广泛的组织硬度范围,并且还配备了用于精确成像各向力学特性的电动旋转台。机械振动器被应用于弹性成像系统中以测量高硬度的组织。进行了体模和离体实验。在体模实验中,确定了系统的横向和轴向分辨率分别为 144μm 和 168μm。在离体实验中,我们使用了被认为是硬组织的猪心和软骨。弹性成像系统允许我们以高角分辨率获取心脏和软骨中的各向力学特性。结果表明,所开发的弹性成像系统能够对广泛的组织进行成像,并且具有高角分辨率。因此,该系统可能有助于通过离体测试对各向异性组织进行诊断。

https://cdn.ncbi.nlm.nih.gov/pmc/blobs/3d73/8838528/b434d5f322a0/sensors-22-00978-g001.jpg

文献AI研究员

20分钟写一篇综述,助力文献阅读效率提升50倍。

立即体验

用中文搜PubMed

大模型驱动的PubMed中文搜索引擎

马上搜索

文档翻译

学术文献翻译模型,支持多种主流文档格式。

立即体验