Suppr超能文献

将非那西汀重新用于治疗:抑制金属β-内酰胺酶治疗碳青霉烯类耐药革兰氏阴性菌感染。

Drug Repurposing of the Unithiol: Inhibition of Metallo-β-Lactamases for the Treatment of Carbapenem-Resistant Gram-Negative Bacterial Infections.

机构信息

Department of Chemistry, Lomonosov Moscow State University, 119991 Moscow, Russia.

Bach Institute of Biochemistry, Federal Research Centre "Fundamentals of Biotechnology" of the Russian Academy of Sciences, 119071 Moscow, Russia.

出版信息

Int J Mol Sci. 2022 Feb 6;23(3):1834. doi: 10.3390/ijms23031834.

Abstract

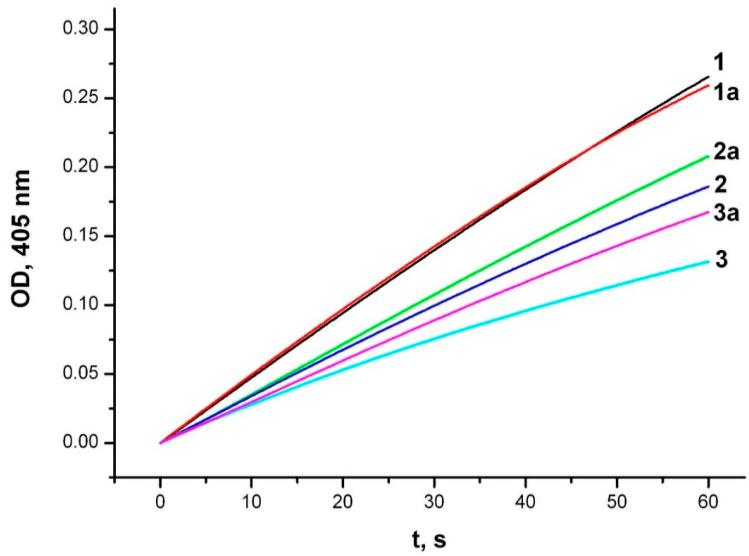
The increasing antibiotic resistance is a clinical problem worldwide. Numerous Gram-negative bacteria have already become resistant to the most widely used class of antibacterial drugs, β-lactams. One of the main mechanisms is inactivation of β-lactam antibiotics by bacterial β-lactamases. Appearance and spread of these enzymes represent a continuous challenge for the clinical treatment of infections and for the design of new antibiotics and inhibitors. Drug repurposing is a prospective approach for finding new targets for drugs already approved for use. We describe here the inhibitory potency of known detoxifying antidote 2,3-dimercaptopropane-1-sulfonate (unithiol) against metallo-β-lactamases. Unithiol acts as a competitive inhibitor of meropenem hydrolysis by recombinant metallo-β-lactamase NDM-1 with the K of 16.7 µM. It is an order of magnitude lower than the K for l-captopril, the inhibitor of angiotensin-converting enzyme approved as a drug for the treatment of hypertension. Phenotypic methods demonstrate that the unithiol inhibits natural metallo-β-lactamases NDM-1 and VIM-2 produced by carbapenem-resistant and bacterial strains. The 3D full atom structures of unithiol complexes with NDM-1 and VIM-2 are obtained using QM/MM modeling. The thiol group is located between zinc cations of the active site occupying the same place as the catalytic hydroxide anion in the enzyme-substrate complex. The sulfate group forms both a coordination bond with a zinc cation and hydrogen bonds with the positively charged residue, lysine or arginine, responsible for proper orientation of antibiotics upon binding to the active site prior to hydrolysis. Thus, we demonstrate both experimentally and theoretically that the unithiol is a prospective competitive inhibitor of metallo-β-lactamases and it can be utilized in complex therapy together with the known β-lactam antibiotics.

摘要

抗生素耐药性的不断增加是一个全球性的临床问题。许多革兰氏阴性菌已经对最广泛使用的一类抗菌药物β-内酰胺类药物产生了耐药性。其中一个主要机制是细菌β-内酰胺酶使β-内酰胺类抗生素失活。这些酶的出现和传播对感染的临床治疗以及新抗生素和抑制剂的设计构成了持续的挑战。药物再利用是寻找已批准用于治疗其他疾病的药物的新靶点的一种有前途的方法。我们在这里描述了已知解毒解毒剂 2,3-二巯基丙烷-1-磺酸盐(unithiol)对金属β-内酰胺酶的抑制能力。unithiol 作为一种竞争性抑制剂,通过重组金属β-内酰胺酶 NDM-1 对美罗培南水解的 K 为 16.7 µM。它比血管紧张素转化酶抑制剂 l-captopril 的 K 低一个数量级,l-captopril 是一种已被批准用于治疗高血压的药物。表型方法表明,unithiol 抑制了由耐碳青霉烯的细菌菌株产生的天然金属β-内酰胺酶 NDM-1 和 VIM-2。使用 QM/MM 建模获得了 unithiol 与 NDM-1 和 VIM-2 的 3D 全原子结构。巯基位于活性位点的锌离子之间,占据了酶-底物复合物中催化氢氧阴离子的相同位置。硫酸根与锌阳离子形成配位键,并与带正电荷的残基赖氨酸或精氨酸形成氢键,该残基负责在水解前与抗生素结合到活性位点时正确定向抗生素。因此,我们从实验和理论上证明了 unithiol 是一种有前途的金属β-内酰胺酶竞争性抑制剂,它可以与已知的β-内酰胺类抗生素一起用于联合治疗。

https://cdn.ncbi.nlm.nih.gov/pmc/blobs/ee33/8837113/2c5113a65ab5/ijms-23-01834-g001.jpg

文献检索

告别复杂PubMed语法,用中文像聊天一样搜索,搜遍4000万医学文献。AI智能推荐,让科研检索更轻松。

立即免费搜索

文件翻译

保留排版,准确专业,支持PDF/Word/PPT等文件格式,支持 12+语言互译。

免费翻译文档

深度研究

AI帮你快速写综述,25分钟生成高质量综述,智能提取关键信息,辅助科研写作。

立即免费体验