Suppr超能文献

新型3-苯基咪唑烷-4-酮和2-氨基噻唑-4-酮衍生物的设计、合成、分子对接以及抗氧化和抗菌活性评估

Design, Synthesis, Molecular Docking, and Evaluation Antioxidant and Antimicrobial Activities for Novel 3-Phenylimidazolidin-4-One and 2-Aminothiazol-4-One Derivatives.

作者信息

Shehab Wesam S, Abdelaziz Maged, Elhoseni Nourhan Kh R, Assy Mohamed G, Abdellattif Magda H, Hamed Eman O

机构信息

Department of Chemistry, Faculty of Science, Zagazig University, Zagazig 44519, Egypt.

Department of Chemistry, College of Science, Taif University, P.O. Box 11099, Taif 21944, Saudi Arabia.

出版信息

Molecules. 2022 Jan 25;27(3):767. doi: 10.3390/molecules27030767.

Abstract

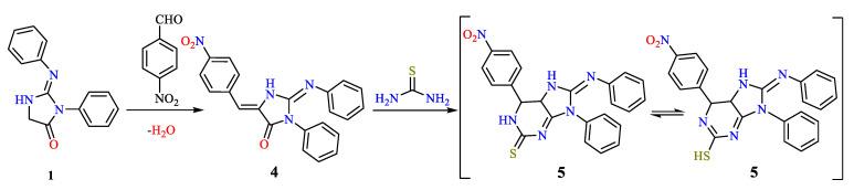
On our way to discovering and developing compounds that have an antioxidant impact compared to ascorbic acid and other biological activities, we designed, synthesized, and evaluated a new series of heterocyclic moieties drugs (-) as antioxidants and antimicrobial agents. As starting moieties, these new candidates were derived from two promising heterocyclic compounds, imidazoldin-4-one and thiazol-4-one. Firstly, diphenylimidazol was obtained because of the cyclo condensation one-pot ternary reaction of urea, aniline, and chloroacetic acid under thermal conditions. Out of this starting compound, we could design and create new vital rings such as purine and triazine as in compounds and , respectively. Secondly, the start thiazole derivative was obtained from the intermolecular cyclization of thiourea, chloroacetic acid, -nitobezaldehyde in the presence of sodium acetate. We synthesized various derivatives from this second starting compound by being subjected to different reagents such as aniline, phenylenediamine, phenylhydrazine, and barbituric acid to yield , , , and , respectively. Using ascorbic acid as the standard compound, the pharmacological testing for antioxidant activity assessment of the produced derivatives was evaluated against ABTS (2,20-azinobis (3-ethylbenzothiazoline-6-sulfonic acid). Candidate exhibited the best activity as an antioxidant agent compared to ascorbic acid as a reference compound. Moreover, all compounds were evaluated as antimicrobial agents against a series of bacteria and fungi. Among all synthesized compounds, compound achieved high efficiency against two types of fungi and four kinds of bacteria, as Clotrimazole and Ampicillin were used as the reference agents, respectively. All chemical structures of the novel synthesized candidates were unequivocally elucidated and confirmed utilizing spectroscopical and elemental investigations.

摘要

在我们探索和开发与抗坏血酸相比具有抗氧化作用及其他生物活性的化合物的过程中,我们设计、合成并评估了一系列新型杂环部分药物(-)作为抗氧化剂和抗菌剂。作为起始部分,这些新候选物源自两种有前景的杂环化合物,咪唑啉 - 4 - 酮和噻唑 - 4 - 酮。首先,通过尿素、苯胺和氯乙酸在热条件下的环缩合一锅三组分反应得到二苯基咪唑。从这个起始化合物出发,我们能够分别设计并创建新的重要环系,如嘌呤环和三嗪环,分别存在于化合物 和 中。其次,起始噻唑衍生物 是由硫脲、氯乙酸、对硝基苯甲醛在乙酸钠存在下的分子内环化反应得到的。我们通过使该第二种起始化合物 与不同试剂(如苯胺、苯二胺、苯肼和巴比妥酸)反应,分别合成了各种衍生物,得到了 、 、 和 。以抗坏血酸作为标准化合物,针对ABTS(2,2'-联氮双(3 - 乙基苯并噻唑啉 - 6 - 磺酸))评估了所制备衍生物的抗氧化活性药理测试。与作为参考化合物的抗坏血酸相比,候选物 表现出最佳的抗氧化剂活性。此外,所有化合物均作为抗菌剂针对一系列细菌和真菌进行了评估。在所有合成化合物中,化合物 对两种真菌和四种细菌表现出高效性,分别以克霉唑和氨苄青霉素作为参考剂。利用光谱学和元素分析明确阐明并确认了新合成候选物的所有化学结构。

https://cdn.ncbi.nlm.nih.gov/pmc/blobs/aac8/8840376/b69890810c24/molecules-27-00767-g001.jpg

文献检索

告别复杂PubMed语法,用中文像聊天一样搜索,搜遍4000万医学文献。AI智能推荐,让科研检索更轻松。

立即免费搜索

文件翻译

保留排版,准确专业,支持PDF/Word/PPT等文件格式,支持 12+语言互译。

免费翻译文档

深度研究

AI帮你快速写综述,25分钟生成高质量综述,智能提取关键信息,辅助科研写作。

立即免费体验