• 文献检索
  • 文档翻译
  • 深度研究
  • 学术资讯
  • Suppr Zotero 插件Zotero 插件
  • 邀请有礼
  • 套餐&价格
  • 历史记录
应用&插件
Suppr Zotero 插件Zotero 插件浏览器插件Mac 客户端Windows 客户端微信小程序
定价
高级版会员购买积分包购买API积分包
服务
文献检索文档翻译深度研究API 文档MCP 服务
关于我们
关于 Suppr公司介绍联系我们用户协议隐私条款
关注我们

Suppr 超能文献

核心技术专利:CN118964589B侵权必究
粤ICP备2023148730 号-1Suppr @ 2026

文献检索

告别复杂PubMed语法,用中文像聊天一样搜索,搜遍4000万医学文献。AI智能推荐,让科研检索更轻松。

立即免费搜索

文件翻译

保留排版,准确专业,支持PDF/Word/PPT等文件格式,支持 12+语言互译。

免费翻译文档

深度研究

AI帮你快速写综述,25分钟生成高质量综述,智能提取关键信息,辅助科研写作。

立即免费体验

从 Engl.(芸香科)茎皮中得到的一个新的吲哚并吡啶喹唑啉生物碱:索氧辛因。

Soyauxinine, a New Indolopyridoquinazoline Alkaloid from the Stem Bark of Engl. (Rutaceae).

机构信息

Department of Organic Chemistry, Faculty of Science, University of Yaoundé 1, Yaoundé P.O. Box 812, Cameroon.

Organic and Bioorganic Chemistry, Department of Chemistry, Bielefeld University, 33501 Bielefeld, Germany.

出版信息

Molecules. 2022 Feb 7;27(3):1104. doi: 10.3390/molecules27031104.

DOI:10.3390/molecules27031104
PMID:35164367
原文链接:https://pmc.ncbi.nlm.nih.gov/articles/PMC8838469/
Abstract

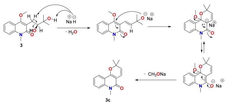
The chemical investigation of the total alkaloid extract (TAE) of the stem bark of (Rutaceae) afforded an unreported indolopyridoquinazoline (compound ) along with nine previously known alkaloids -. In addition, six semi-synthetic derivatives -, , and were prepared by allylation and acetonidation of soyauxinium nitrate (), edulinine (), ribalinine () and arborinine (). The structures and spectroscopic data of five of them are reported herein for the first time. The suggested mechanism for the formation of the new -allylindolopyridoquinazoline is presented. The structures of natural and derived compounds were determined employing extensive NMR and MS techniques. The absolute configuration of stereogenic centers in compounds - were determined using NOESY technique and confirmed by the single-crystal X-ray diffraction (SC-XRD) technique. The use of SC-XRD further enabled us to carry out a structural revision of soyauxinium chloride recently isolated from the same plant to soyauxinium nitrate (). The TAE, fractions, compounds - and , and semi-synthetic derivatives -, , and were evaluated for their cytotoxic activity towards the cervix carcinoma cell line KB-3-1. No significant activity was recorded for most of the compounds except for , which showed moderate activity against the tested cancer cell lines.

摘要

从 (Rutaceae)茎皮的总生物碱提取物(TAE)中进行的化学研究得到了一种未报道的吲哚并吡啶并喹唑啉(化合物 ),以及另外 9 种先前已知的生物碱-。此外,通过硝酸()、埃杜林碱()、里巴林碱()和阿伯林碱()的烯丙基化和乙酰胺化,制备了 6 种半合成衍生物-、、、、。本文首次报道了其中 5 种的结构和光谱数据。提出了形成新的-烯丙基吲哚并吡啶并喹唑啉的建议机制。采用广泛的 NMR 和 MS 技术确定了天然和衍生化合物的结构。通过 NOESY 技术确定了化合物-中立体中心的绝对构型,并通过单晶 X 射线衍射(SC-XRD)技术进行了确认。SC-XRD 的使用还使我们能够对最近从同一植物中分离出的硝酸()进行结构修订,得到氯化()。TAE、馏分、化合物-和-以及半合成衍生物-、、和-都被评估了对宫颈癌细胞系 KB-3-1 的细胞毒性活性。除了-之外,大多数化合物都没有表现出显著的活性,而-对测试的癌细胞系表现出中等活性。

https://cdn.ncbi.nlm.nih.gov/pmc/blobs/49c8/8838469/4413980083d5/molecules-27-01104-sch003.jpg
https://cdn.ncbi.nlm.nih.gov/pmc/blobs/49c8/8838469/019ab6d66e70/molecules-27-01104-g001.jpg
https://cdn.ncbi.nlm.nih.gov/pmc/blobs/49c8/8838469/a4e958c9d99c/molecules-27-01104-g002.jpg
https://cdn.ncbi.nlm.nih.gov/pmc/blobs/49c8/8838469/68b5f693f312/molecules-27-01104-g003.jpg
https://cdn.ncbi.nlm.nih.gov/pmc/blobs/49c8/8838469/b3d44c88218a/molecules-27-01104-sch001.jpg
https://cdn.ncbi.nlm.nih.gov/pmc/blobs/49c8/8838469/607c51cf41ae/molecules-27-01104-sch002.jpg
https://cdn.ncbi.nlm.nih.gov/pmc/blobs/49c8/8838469/4413980083d5/molecules-27-01104-sch003.jpg
https://cdn.ncbi.nlm.nih.gov/pmc/blobs/49c8/8838469/019ab6d66e70/molecules-27-01104-g001.jpg
https://cdn.ncbi.nlm.nih.gov/pmc/blobs/49c8/8838469/a4e958c9d99c/molecules-27-01104-g002.jpg
https://cdn.ncbi.nlm.nih.gov/pmc/blobs/49c8/8838469/68b5f693f312/molecules-27-01104-g003.jpg
https://cdn.ncbi.nlm.nih.gov/pmc/blobs/49c8/8838469/b3d44c88218a/molecules-27-01104-sch001.jpg
https://cdn.ncbi.nlm.nih.gov/pmc/blobs/49c8/8838469/607c51cf41ae/molecules-27-01104-sch002.jpg
https://cdn.ncbi.nlm.nih.gov/pmc/blobs/49c8/8838469/4413980083d5/molecules-27-01104-sch003.jpg

相似文献

1
Soyauxinine, a New Indolopyridoquinazoline Alkaloid from the Stem Bark of Engl. (Rutaceae).从 Engl.(芸香科)茎皮中得到的一个新的吲哚并吡啶喹唑啉生物碱:索氧辛因。
Molecules. 2022 Feb 7;27(3):1104. doi: 10.3390/molecules27031104.
2
Furoquinolines and dihydrooxazole alkaloids with cytotoxic activity from the stem bark of Araliopsis soyauxii.从粗榧茎皮中分离得到具有细胞毒性的呋喃喹啉和二氢恶唑烷生物碱。
Fitoterapia. 2019 Mar;133:193-199. doi: 10.1016/j.fitote.2019.01.003. Epub 2019 Jan 14.
3
Cytotoxicity of botanicals and isolated phytochemicals from Araliopsis soyauxii Engl. (Rutaceae) towards a panel of human cancer cells.来自 Araliopsis soyauxii Engl.(芸香科)的植物和分离的植物化学物质对一组人类癌细胞的细胞毒性。
J Ethnopharmacol. 2021 Mar 1;267:113535. doi: 10.1016/j.jep.2020.113535. Epub 2020 Nov 6.
4
Amides from the stem bark of Fagara macrophylla.大叶崖椒茎皮中的酰胺类化合物。
Planta Med. 2009 Apr;75(5):517-21. doi: 10.1055/s-0029-1185327. Epub 2009 Feb 20.
5
Alkaloids from Oriciopsis glaberrima Engl. (Rutaceae).来自光叶奥氏木(芸香科)的生物碱。
Phytochemistry. 2006 Mar;67(5):475-80. doi: 10.1016/j.phytochem.2005.09.031. Epub 2005 Nov 21.
6
Oxidative burst inhibitory and cytotoxic indoloquinazoline and furoquinoline alkaloids from Oricia suaveolens.从 Oricia suaveolens 中分离得到具有氧化爆发抑制和细胞毒性的吲哚喹唑啉和呋喃喹啉生物碱。
J Nat Prod. 2008 Nov;71(11):1942-5. doi: 10.1021/np800276f. Epub 2008 Oct 24.
7
Targeted Isolation of Indolopyridoquinazoline Alkaloids from Conchocarpus fontanesianus Based on Molecular Networks.基于分子网络从丰塔纳贝壳杉中靶向分离吲哚并吡啶喹唑啉生物碱
J Nat Prod. 2016 Sep 23;79(9):2270-8. doi: 10.1021/acs.jnatprod.6b00379. Epub 2016 Aug 24.
8
Acridone alkaloids from the stem bark of Citrus aurantium display selective cytotoxicity against breast, liver, lung and prostate human carcinoma cells.柑橘属茎皮中的吖啶酮生物碱对乳腺癌、肝癌、肺癌和前列腺癌人类癌细胞具有选择性细胞毒性。
J Ethnopharmacol. 2018 Dec 5;227:131-138. doi: 10.1016/j.jep.2018.08.039. Epub 2018 Sep 3.
9
Alkaloids from the stem bark of Micromelum falcatum.锡兰金橘茎皮中的生物碱。
Chem Pharm Bull (Tokyo). 2009 Jun;57(6):600-2. doi: 10.1248/cpb.57.600.
10
Cytotoxic Properties of the Stem Bark of Citrus reticulata Blanco (Rutaceae).宽皮柑橘(芸香科)茎皮的细胞毒性特性
Phytother Res. 2017 Aug;31(8):1215-1219. doi: 10.1002/ptr.5842. Epub 2017 Jun 1.

引用本文的文献

1
The Anti-Cancer Effects of Arborinine from Ruta graveolens L. on Michigan Cancer Foundation-7 (MCF-7) Breast Cancer Cells: Inhibition of Cell Growth and Induction of Apoptosis.白鲜碱对密歇根癌症基金会-7(MCF-7)乳腺癌细胞的抗癌作用:抑制细胞生长和诱导凋亡
Cureus. 2025 Jan 25;17(1):e77985. doi: 10.7759/cureus.77985. eCollection 2025 Jan.
2
Therapeutic Role of Alkaloids and Alkaloid Derivatives in Cancer Management.生物碱及其衍生物在癌症治疗中的治疗作用。
Molecules. 2023 Jul 22;28(14):5578. doi: 10.3390/molecules28145578.
3
Pers. (Narrow-Leaved Fringed Rue): Pharmacological Properties and Phytochemical Profile.

本文引用的文献

1
The alkaloid, soyauxinium chloride, displays remarkable cytotoxic effects towards a panel of cancer cells, inducing apoptosis, ferroptosis and necroptosis.这种生物碱,大豆素铵盐,对一系列癌细胞表现出显著的细胞毒性作用,诱导细胞凋亡、铁死亡和坏死性凋亡。
Chem Biol Interact. 2021 Jan 5;333:109334. doi: 10.1016/j.cbi.2020.109334. Epub 2020 Nov 24.
2
Cytotoxicity of botanicals and isolated phytochemicals from Araliopsis soyauxii Engl. (Rutaceae) towards a panel of human cancer cells.来自 Araliopsis soyauxii Engl.(芸香科)的植物和分离的植物化学物质对一组人类癌细胞的细胞毒性。
J Ethnopharmacol. 2021 Mar 1;267:113535. doi: 10.1016/j.jep.2020.113535. Epub 2020 Nov 6.
3
波斯(狭叶流苏芸香):药理特性与植物化学概况
Plants (Basel). 2023 Feb 13;12(4):827. doi: 10.3390/plants12040827.
Three phragmalin-type limonoids orthoesters and the structure of odoratone isolated from the bark of Entandrophragma candollei (Meliaceae).
从使君子科(Entandrophragma candollei)树皮中分离得到的三种新黄烷型柠檬苦素酯和odoratone 的结构。
Phytochemistry. 2021 Jan;181:112537. doi: 10.1016/j.phytochem.2020.112537. Epub 2020 Oct 21.
4
A rotameric tryptamide alkaloid from the roots of Vepris lecomteana (Pierre) Cheek & T. Heller (Rutaceae).来自 Lepisanthes lecomtei (Pierre) Cheek & T. Heller(山柚子科)根部的一种变构色胺生物碱。
Fitoterapia. 2019 Jun;135:9-14. doi: 10.1016/j.fitote.2019.03.028. Epub 2019 Apr 1.
5
Antimicrobial Furoquinoline Alkaloids from Vepris lecomteana (Pierre) Cheek & T. Heller (Rutaceae).来自糙叶花椒(Pierre)Cheek 和 T. Heller(芸香科)的抗菌呋喃喹啉生物碱。
Molecules. 2017 Dec 21;23(1):13. doi: 10.3390/molecules23010013.
6
Approaches for the synthesis of functionalized cryptophycins.功能化隐孢子菌素的合成方法。
J Org Chem. 2010 Oct 15;75(20):6953-60. doi: 10.1021/jo101563s.
7
A short history of SHELX.SHELX简史。
Acta Crystallogr A. 2008 Jan;64(Pt 1):112-22. doi: 10.1107/S0108767307043930. Epub 2007 Dec 21.
8
Investigation of cytotoxic activity on human cancer cell lines of arborinine and furanoacridones isolated from Ruta graveolens.从芸香中分离得到的山油柑碱和呋喃吖啶酮对人癌细胞系的细胞毒性活性研究。
Planta Med. 2007 Jan;73(1):41-8. doi: 10.1055/s-2006-951747. Epub 2006 Nov 15.
9
Tabouensinium chloride, a novel quaternary pyranoquinoline alkaloid from Araliopsis tabouensis.氯化塔布因辛,一种从塔布拟人参中提取的新型季铵型吡喃喹啉生物碱。
Nat Prod Res. 2005 Sep;19(6):591-5. doi: 10.1080/14786410412331280078.
10
New cytotoxic terpenoids from the wood of Vepris punctata from the Madagascar Rainforest.来自马达加斯加雨林的具点叶檀木材中的新型细胞毒性萜类化合物。
J Nat Prod. 2004 May;67(5):895-8. doi: 10.1021/np0303512.