• 文献检索
  • 文档翻译
  • 深度研究
  • 学术资讯
  • Suppr Zotero 插件Zotero 插件
  • 邀请有礼
  • 套餐&价格
  • 历史记录
应用&插件
Suppr Zotero 插件Zotero 插件浏览器插件Mac 客户端Windows 客户端微信小程序
定价
高级版会员购买积分包购买API积分包
服务
文献检索文档翻译深度研究API 文档MCP 服务
关于我们
关于 Suppr公司介绍联系我们用户协议隐私条款
关注我们

Suppr 超能文献

核心技术专利:CN118964589B侵权必究
粤ICP备2023148730 号-1Suppr @ 2026

文献检索

告别复杂PubMed语法,用中文像聊天一样搜索,搜遍4000万医学文献。AI智能推荐,让科研检索更轻松。

立即免费搜索

文件翻译

保留排版,准确专业,支持PDF/Word/PPT等文件格式,支持 12+语言互译。

免费翻译文档

深度研究

AI帮你快速写综述,25分钟生成高质量综述,智能提取关键信息,辅助科研写作。

立即免费体验

影响人类和黑猩猩基因水平适应和非适应进化速度的因素。

Factors That Affect the Rates of Adaptive and Nonadaptive Evolution at the Gene Level in Humans and Chimpanzees.

机构信息

School of Life Sciences, University of Sussex, Brighton, United Kingdom.

出版信息

Genome Biol Evol. 2022 Feb 4;14(2). doi: 10.1093/gbe/evac028.

DOI:10.1093/gbe/evac028
PMID:35166775
原文链接:https://pmc.ncbi.nlm.nih.gov/articles/PMC8882387/
Abstract

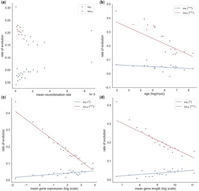
The rate of amino acid substitution has been shown to be correlated to a number of factors including the rate of recombination, the age of the gene, the length of the protein, mean expression level, and gene function. However, the extent to which these correlations are due to adaptive and nonadaptive evolution has not been studied in detail, at least not in hominids. We find that the rate of adaptive evolution is significantly positively correlated to the rate of recombination, protein length and gene expression level, and negatively correlated to gene age. These correlations remain significant when each factor is controlled for in turn, except when controlling for expression in an analysis of protein length; and they also generally remain significant when biased gene conversion is taken into account. However, the positive correlations could be an artifact of population size contraction. We also find that the rate of nonadaptive evolution is negatively correlated to each factor, and all these correlations survive controlling for each other and biased gene conversion. Finally, we examine the effect of gene function on rates of adaptive and nonadaptive evolution; we confirm that virus-interacting proteins (VIPs) have higher rates of adaptive and lower rates of nonadaptive evolution, but we also demonstrate that there is significant variation in the rate of adaptive and nonadaptive evolution between GO categories when removing VIPs. We estimate that the VIP/non-VIP axis explains about 5-8 fold more of the variance in evolutionary rate than GO categories.

摘要

氨基酸替换率与许多因素相关,包括重组率、基因年龄、蛋白质长度、平均表达水平和基因功能。然而,这些相关性在多大程度上归因于适应性和非适应性进化,在至少在人类中还没有得到详细研究。我们发现,适应性进化的速度与重组率、蛋白质长度和基因表达水平显著正相关,与基因年龄显著负相关。当依次控制每个因素时,这些相关性仍然显著,除了在分析蛋白质长度时控制表达时;当考虑到有偏基因转换时,它们通常仍然显著。然而,阳性相关性可能是由于种群规模收缩造成的。我们还发现,非适应性进化的速度与每个因素负相关,所有这些相关性在控制彼此和有偏基因转换后仍然存在。最后,我们研究了基因功能对适应性和非适应性进化速度的影响;我们证实,与病毒相互作用的蛋白质 (VIP) 具有更高的适应性进化速度和更低的非适应性进化速度,但我们也证明,在去除 VIP 后,GO 类别之间的适应性和非适应性进化速度存在显著差异。我们估计,VIP/非-VIP 轴比 GO 类别解释了大约 5-8 倍的进化速度变化。

https://cdn.ncbi.nlm.nih.gov/pmc/blobs/c732/8882387/5b691e9afe4f/evac028f3.jpg
https://cdn.ncbi.nlm.nih.gov/pmc/blobs/c732/8882387/649ba5ecf632/evac028f1.jpg
https://cdn.ncbi.nlm.nih.gov/pmc/blobs/c732/8882387/64de54cee7b6/evac028f2.jpg
https://cdn.ncbi.nlm.nih.gov/pmc/blobs/c732/8882387/5b691e9afe4f/evac028f3.jpg
https://cdn.ncbi.nlm.nih.gov/pmc/blobs/c732/8882387/649ba5ecf632/evac028f1.jpg
https://cdn.ncbi.nlm.nih.gov/pmc/blobs/c732/8882387/64de54cee7b6/evac028f2.jpg
https://cdn.ncbi.nlm.nih.gov/pmc/blobs/c732/8882387/5b691e9afe4f/evac028f3.jpg

相似文献

1
Factors That Affect the Rates of Adaptive and Nonadaptive Evolution at the Gene Level in Humans and Chimpanzees.影响人类和黑猩猩基因水平适应和非适应进化速度的因素。
Genome Biol Evol. 2022 Feb 4;14(2). doi: 10.1093/gbe/evac028.
2
A fine-scale recombination map of the human-chimpanzee ancestor reveals faster change in humans than in chimpanzees and a strong impact of GC-biased gene conversion.人类-黑猩猩祖先的精细重组图谱揭示了人类比黑猩猩的变化更快,以及 GC 偏向性基因转换的强烈影响。
Genome Res. 2014 Mar;24(3):467-74. doi: 10.1101/gr.158469.113. Epub 2013 Nov 4.
3
Changing Population Size in McDonald-Kreitman Style Analyses: Artifactual Correlations and Adaptive Evolution between Humans and Chimpanzees.麦当劳-克里坦风格分析中的种群大小变化:人类和黑猩猩之间的人为关联和适应性进化。
Genome Biol Evol. 2022 Feb 4;14(2). doi: 10.1093/gbe/evac022.
4
Influence of Recombination and GC-biased Gene Conversion on the Adaptive and Nonadaptive Substitution Rate in Mammals versus Birds.重组和 GC 偏向性基因转换对哺乳动物与鸟类适应性和非适应性替代率的影响。
Mol Biol Evol. 2019 Mar 1;36(3):458-471. doi: 10.1093/molbev/msy243.
5
The impact of recombination on nucleotide substitutions in the human genome.重组对人类基因组中核苷酸替换的影响。
PLoS Genet. 2008 May 9;4(5):e1000071. doi: 10.1371/journal.pgen.1000071.
6
Variation in the molecular clock of primates.灵长类动物分子钟的变异。
Proc Natl Acad Sci U S A. 2016 Sep 20;113(38):10607-12. doi: 10.1073/pnas.1600374113. Epub 2016 Sep 6.
7
The effect of variation in the effective population size on the rate of adaptive molecular evolution in eukaryotes.有效种群大小的变化对真核生物适应分子进化速度的影响。
Genome Biol Evol. 2012;4(5):658-67. doi: 10.1093/gbe/evs027. Epub 2012 Mar 21.
8
Does Adaptive Protein Evolution Proceed by Large or Small Steps at the Amino Acid Level?适应性蛋白质进化是通过氨基酸水平的大步骤还是小步骤进行的?
Mol Biol Evol. 2019 May 1;36(5):990-998. doi: 10.1093/molbev/msz033.
9
Gene expression and adaptive noncoding changes during human evolution.人类进化过程中的基因表达与适应性非编码变化。
BMC Genomics. 2017 Jun 5;18(1):435. doi: 10.1186/s12864-017-3831-2.
10
Extensive X-linked adaptive evolution in central chimpanzees.中枢黑猩猩中广泛的 X 连锁适应性进化。
Proc Natl Acad Sci U S A. 2012 Feb 7;109(6):2054-9. doi: 10.1073/pnas.1106877109. Epub 2012 Jan 23.

引用本文的文献

1
Positive Selection on Mammalian Immune Genes-Effects of Gene Function and Selective Constraint.哺乳动物免疫基因的正向选择——基因功能与选择限制的影响
Mol Biol Evol. 2025 Jan 6;42(1). doi: 10.1093/molbev/msaf016.
2
Reconciling theories of dominance with the relative rates of adaptive substitution on sex chromosomes and autosomes.协调主导理论与性染色体和常染色体上适应性替代的相对速率。
Proc Natl Acad Sci U S A. 2024 Oct 29;121(44):e2406335121. doi: 10.1073/pnas.2406335121. Epub 2024 Oct 22.

本文引用的文献

1
The Gene Ontology resource: enriching a GOld mine.基因本体论资源:丰富一个 GOld 矿。
Nucleic Acids Res. 2021 Jan 8;49(D1):D325-D334. doi: 10.1093/nar/gkaa1113.
2
Many, but not all, lineage-specific genes can be explained by homology detection failure.许多(但不是全部)谱系特异性基因可以通过同源性检测失败来解释。
PLoS Biol. 2020 Nov 2;18(11):e3000862. doi: 10.1371/journal.pbio.3000862. eCollection 2020 Nov.
3
How Much Does Vary Among Species?不同物种之间的差异有多大?
Genetics. 2020 Oct;216(2):559-572. doi: 10.1534/genetics.120.303622. Epub 2020 Aug 24.
4
Is adaptation limited by mutation? A timescale-dependent effect of genetic diversity on the adaptive substitution rate in animals.适应是否受限于突变?遗传多样性对动物适应替代率的时变影响。
PLoS Genet. 2020 Apr 6;16(4):e1008668. doi: 10.1371/journal.pgen.1008668. eCollection 2020 Apr.
5
Ensembl 2020.Ensembl 2020.
Nucleic Acids Res. 2020 Jan 8;48(D1):D682-D688. doi: 10.1093/nar/gkz966.
6
Inference and analysis of population-specific fine-scale recombination maps across 26 diverse human populations.在 26 个人类群体中推断和分析特定人群的精细尺度重组图谱。
Sci Adv. 2019 Oct 23;5(10):eaaw9206. doi: 10.1126/sciadv.aaw9206. eCollection 2019 Oct.
7
Expression Atlas update: from tissues to single cells.表达图谱更新:从组织到单细胞。
Nucleic Acids Res. 2020 Jan 8;48(D1):D77-D83. doi: 10.1093/nar/gkz947.
8
The Impact of Protein Architecture on Adaptive Evolution.蛋白质结构对适应性进化的影响。
Mol Biol Evol. 2019 Sep 1;36(9):2013-2028. doi: 10.1093/molbev/msz134.
9
Obtaining estimates for the ages of all the protein-coding genes and most of the ontology-identified noncoding genes of the human genome, assigned to 19 phylostrata.获得人类基因组中所有编码蛋白基因和大多数本体论确定的非编码基因的年龄估计值,分配到 19 个系统发育层。
Semin Oncol. 2019 Feb;46(1):3-9. doi: 10.1053/j.seminoncol.2018.11.002. Epub 2018 Dec 8.
10
Inference of Distribution of Fitness Effects and Proportion of Adaptive Substitutions from Polymorphism Data.从多态性数据推断适合度效应的分布和适应性替代的比例。
Genetics. 2017 Nov;207(3):1103-1119. doi: 10.1534/genetics.117.300323. Epub 2017 Sep 25.