Gu Yanwei, Vega-Mayoral Victor, Garcia-Orrit Saül, Schollmeyer Dieter, Narita Akimitsu, Cabanillas-González Juan, Qiu Zijie, Müllen Klaus
Synthetic Chemistry, Max Planck Institute for Polymer Research, Ackermannweg 10, 55128, Mainz, Germany.
Madrid Institute for Advanced Studies, IMDEA Nanociencia, c/Faraday 9, Campus de Cantoblanco, 28049, Madrid, Spain.
Angew Chem Int Ed Engl. 2022 Apr 25;61(18):e202201088. doi: 10.1002/anie.202201088. Epub 2022 Mar 2.
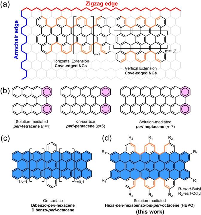
The bottom-up synthesis of an unprecedentedly large cove-edged nanographene, hexa-peri-hexabenzo-bis-peri-octacene (HBPO), is reported in this work. Chiral high-performance liquid chromatography and density functional theory (DFT) calculations revealed multiple conformations in solution. Two different molecular conformations, "waggling" and "butterfly", were found in crystals by X-ray crystallography, and the selectivity of conformations could be tuned by solvents. The optoelectronic properties of HBPO were investigated by UV/Vis absorption and fluorescence spectroscopies, cyclic voltammetry, and DFT calculations. The contorted geometry and branched alkyl groups suppress the aggregation of HBPO in solution, leading to a high fluorescence quantum yield of 79 %. The optical-gain properties were explored through transient absorption and amplified spontaneous emission spectroscopies, which enrich the choices of edge structures for potential applications in laser cavities.
本文报道了一种前所未有的大尺寸湾边纳米石墨烯——六并六苯并双并八并四苯(HBPO)的自下而上合成方法。手性高效液相色谱和密度泛函理论(DFT)计算揭示了溶液中的多种构象。通过X射线晶体学在晶体中发现了两种不同的分子构象,即“摇摆”和“蝴蝶”构象,并且构象的选择性可以通过溶剂进行调节。通过紫外/可见吸收光谱、荧光光谱、循环伏安法和DFT计算对HBPO的光电性质进行了研究。扭曲的几何形状和支链烷基抑制了HBPO在溶液中的聚集,导致其荧光量子产率高达79%。通过瞬态吸收光谱和放大自发发射光谱探索了光学增益特性,这丰富了用于激光腔潜在应用的边缘结构选择。