Suppr超能文献

低智商预示着患冠状动脉疾病和心肌梗死的风险更高:来自孟德尔随机化研究的证据。

Low Intelligence Predicts Higher Risks of Coronary Artery Disease and Myocardial Infarction: Evidence From Mendelian Randomization Study.

作者信息

Yang Fangkun, Hu Teng, Chen Songzan, Wang Kai, Qu Zihao, Cui Hanbin

机构信息

Department of Cardiology, Ningbo Hospital of Zhejiang University (Ningbo First Hospital), School of Medicine, Zhejiang University, Ningbo, China.

School of Medicine, Ningbo University, Ningbo, China.

出版信息

Front Genet. 2022 Feb 7;13:756901. doi: 10.3389/fgene.2022.756901. eCollection 2022.

Abstract

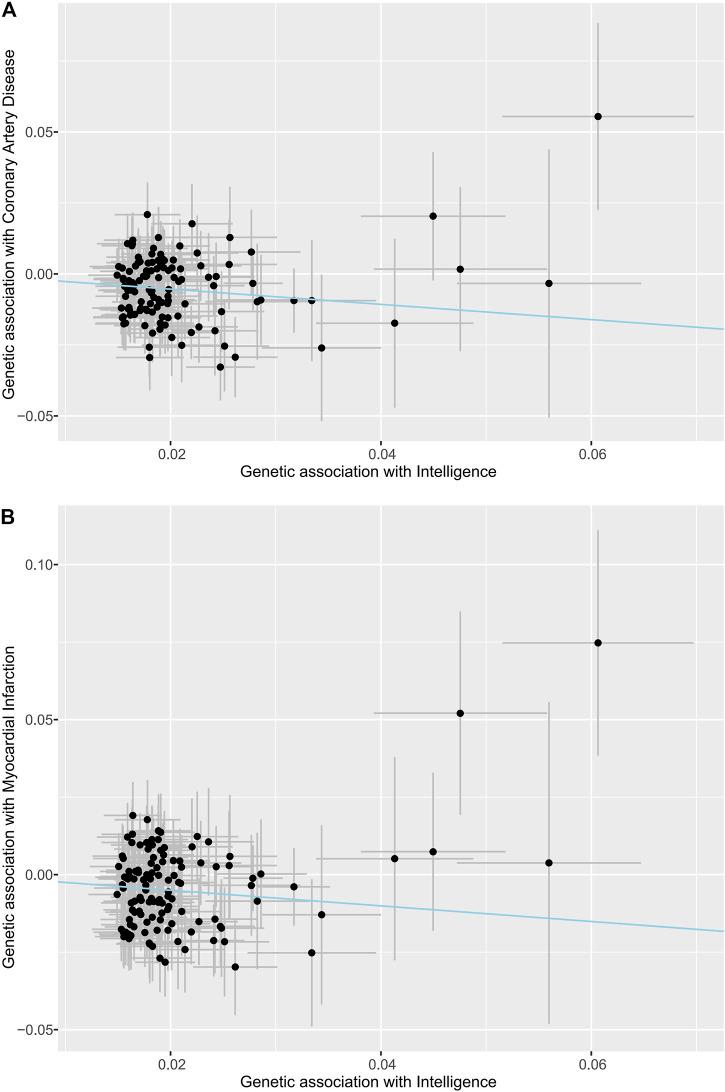
Low intelligence has been shown to be associated with a high risk of cardiovascular disease in observational studies. It remains unclear whether the association is causal. This study aimed to explore the causal association of intelligence with coronary artery disease (CAD) and myocardial infarction (MI). A two-sample Mendelian randomization study was designed to infer the causality. A total of 121 single nucleotide polymorphisms were selected as a genetic instrumental variable for intelligence. Summary data on CAD ( = 184,305) and MI ( = 171,875) were obtained from the Coronary ARtery DIsease Genome-wide Replication and Meta-analysis (CARDIoGRAM) plus The Coronary Artery Disease (C4D) Genetics (CARDIoGRAMplusC4D) consortium and the FinnGen study. Inverse variance weighting method was used to calculate the effect estimates. Sensitivity analyses including other statistical models and leave-one-out analysis were conducted to verify the robustness of results. MR-Egger test was performed to assess the pleiotropy. Genetically predicted higher intelligence was significantly associated with lower risk of CAD (OR, .76; 95%CI, .69-.85; = 1.5 × 10) and MI (OR, .78; 95%CI, .70-.87; = 7.9 × 10). The results remained consistent in the majority of the sensitivity analyses and were repeated in the FinnGen datasets. MR-Egger test suggested no evidence of directional pleiotropy for the association with coronary artery disease (intercept = -.01, = .19) and myocardial infarction (intercept = -.01, = .06). This Mendelian randomization analysis provided genetic evidence for the causal association between low intelligence and increased risks of CAD and MI.

摘要

观察性研究表明,低智商与心血管疾病的高风险相关。这种关联是否具有因果关系尚不清楚。本研究旨在探讨智力与冠状动脉疾病(CAD)和心肌梗死(MI)之间的因果关系。设计了一项两样本孟德尔随机化研究来推断因果关系。总共选择了121个单核苷酸多态性作为智力的遗传工具变量。从冠状动脉疾病全基因组复制和荟萃分析(CARDIoGRAM)加上冠状动脉疾病(C4D)遗传学(CARDIoGRAMplusC4D)联盟以及芬兰基因研究中获得了CAD(n = 184,305)和MI(n = 171,875)的汇总数据。采用逆方差加权法计算效应估计值。进行了包括其他统计模型和留一法分析在内的敏感性分析,以验证结果的稳健性。进行MR-Egger检验以评估多效性。遗传预测的较高智力与较低的CAD风险(OR,0.76;95%CI,0.69 - 0.85;P = 1.5×10⁻¹⁰)和MI风险(OR,0.78;95%CI,0.70 - 0.87;P = 7.9×10⁻¹⁰)显著相关。在大多数敏感性分析中结果保持一致,并在芬兰基因数据集中得到重复。MR-Egger检验表明,与冠状动脉疾病(截距 = -0.01,P = 0.19)和心肌梗死(截距 = -0.01,P = 0.06)的关联没有方向性多效性的证据。这项孟德尔随机化分析为低智商与CAD和MI风险增加之间的因果关系提供了遗传证据。

https://cdn.ncbi.nlm.nih.gov/pmc/blobs/4235/8859249/0a6003ab4170/fgene-13-756901-g001.jpg

文献AI研究员

20分钟写一篇综述,助力文献阅读效率提升50倍。

立即体验

用中文搜PubMed

大模型驱动的PubMed中文搜索引擎

马上搜索

文档翻译

学术文献翻译模型,支持多种主流文档格式。

立即体验