• 文献检索
  • 文档翻译
  • 深度研究
  • 学术资讯
  • Suppr Zotero 插件Zotero 插件
  • 邀请有礼
  • 套餐&价格
  • 历史记录
应用&插件
Suppr Zotero 插件Zotero 插件浏览器插件Mac 客户端Windows 客户端微信小程序
定价
高级版会员购买积分包购买API积分包
服务
文献检索文档翻译深度研究API 文档MCP 服务
关于我们
关于 Suppr公司介绍联系我们用户协议隐私条款
关注我们

Suppr 超能文献

核心技术专利:CN118964589B侵权必究
粤ICP备2023148730 号-1Suppr @ 2026

文献检索

告别复杂PubMed语法,用中文像聊天一样搜索,搜遍4000万医学文献。AI智能推荐,让科研检索更轻松。

立即免费搜索

文件翻译

保留排版,准确专业,支持PDF/Word/PPT等文件格式,支持 12+语言互译。

免费翻译文档

深度研究

AI帮你快速写综述,25分钟生成高质量综述,智能提取关键信息,辅助科研写作。

立即免费体验

初发帕金森病未用药患者的脑内及脑网络间连接性改变

Altered Intra- and Inter-Network Connectivity in Drug-Naïve Patients With Early Parkinson's Disease.

作者信息

Zeng Weiqi, Fan Wenliang, Kong Xiangchuang, Liu Xiaoming, Liu Ling, Cao Ziqin, Zhang Xiaoqian, Yang Xiaoman, Cheng Chi, Wu Yi, Xu Yu, Cao Xuebing, Xu Yan

机构信息

Department of Neurology, Union Hospital, Tongji Medical College, Huazhong University of Science and Technology, Wuhan, China.

Department of Radiology, Union Hospital, Tongji Medical College, Huazhong University of Science and Technology, Wuhan, China.

出版信息

Front Aging Neurosci. 2022 Feb 14;14:783634. doi: 10.3389/fnagi.2022.783634. eCollection 2022.

DOI:10.3389/fnagi.2022.783634
PMID:35237144
原文链接:https://pmc.ncbi.nlm.nih.gov/articles/PMC8884479/
Abstract

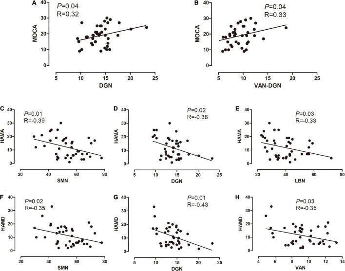
The aim of our study was to investigate differences in whole brain connectivity at different levels between drug-naïve individuals with early Parkinson's disease (PD) and healthy controls (HCs). Resting-state functional magnetic resonance imaging data were collected from 47 patients with early-stage, drug-naïve PD and 50 HCs. Functional brain connectivity was analyzed at the integrity, network, and edge levels; UPDRS-III, MMSE, MOCA, HAMA, and HAMD scores, reflecting the symptoms of PD, were collected for further regression analysis. Compared with age-matched HCs, reduced functional connectivity were mainly observed in the visual (VSN), somatomotor (SMN), limbic (LBN), and deep gray matter networks (DGN) at integrity level [ < 0.05, false discovery rate (FDR) corrected]. Intra-network analysis indicated decreased functional connectivity in DGN, SMN, LBN, and ventral attention networks (VAN). Inter-network analysis indicated reduced functional connectivity in nine pairs of resting-state networks. At the edge level, the LBN was the center of abnormal functional connectivity ( < 0.05, FDR corrected). MOCA score was associated with the intra-network functional connectivity strength (FC) of the DGN, and inter-network FC of the DGN-VAN. HAMA and HAMD scores were associated with the FC of the SMN and DGN, and either the LBN or VAN, respectively. We demonstrated variations in whole brain connections of drug-naïve patients with early PD. Major changes involved the SMN, DGN, LBN, and VSN, which may be relevant to symptoms of early PD. Additionally, our results support PD as a disconnection syndrome.

摘要

我们研究的目的是调查早期帕金森病(PD)未用药个体与健康对照(HCs)在不同水平上全脑连接性的差异。收集了47例早期、未用药的PD患者和50例HCs的静息态功能磁共振成像数据。在完整性、网络和边缘水平分析了脑功能连接性;收集了反映PD症状的统一帕金森病评定量表第三部分(UPDRS-III)、简易精神状态检查表(MMSE)、蒙特利尔认知评估量表(MOCA)、汉密尔顿焦虑量表(HAMA)和汉密尔顿抑郁量表(HAMD)评分,用于进一步的回归分析。与年龄匹配的HCs相比,在完整性水平上,主要在视觉(VSN)、躯体运动(SMN)、边缘(LBN)和深部灰质网络(DGN)中观察到功能连接性降低[<0.05,错误发现率(FDR)校正]。网络内分析表明,DGN、SMN、LBN和腹侧注意网络(VAN)中的功能连接性降低。网络间分析表明,九对静息态网络之间的功能连接性降低。在边缘水平,LBN是异常功能连接的中心(<0.05,FDR校正)。MOCA评分与DGN的网络内功能连接强度(FC)以及DGN-VAN的网络间FC相关。HAMA和HAMD评分分别与SMN和DGN的FC以及LBN或VAN的FC相关。我们证明了早期PD未用药患者全脑连接性的变化。主要变化涉及SMN、DGN、LBN和VSN,这可能与早期PD的症状有关。此外,我们的结果支持将PD视为一种连接障碍综合征。

https://cdn.ncbi.nlm.nih.gov/pmc/blobs/c785/8884479/8b32a81c6d7e/fnagi-14-783634-g005.jpg
https://cdn.ncbi.nlm.nih.gov/pmc/blobs/c785/8884479/0efdbceda9c6/fnagi-14-783634-g001.jpg
https://cdn.ncbi.nlm.nih.gov/pmc/blobs/c785/8884479/9630c6cdda24/fnagi-14-783634-g002.jpg
https://cdn.ncbi.nlm.nih.gov/pmc/blobs/c785/8884479/bc07b812c168/fnagi-14-783634-g003.jpg
https://cdn.ncbi.nlm.nih.gov/pmc/blobs/c785/8884479/c8c24628ff09/fnagi-14-783634-g004.jpg
https://cdn.ncbi.nlm.nih.gov/pmc/blobs/c785/8884479/8b32a81c6d7e/fnagi-14-783634-g005.jpg
https://cdn.ncbi.nlm.nih.gov/pmc/blobs/c785/8884479/0efdbceda9c6/fnagi-14-783634-g001.jpg
https://cdn.ncbi.nlm.nih.gov/pmc/blobs/c785/8884479/9630c6cdda24/fnagi-14-783634-g002.jpg
https://cdn.ncbi.nlm.nih.gov/pmc/blobs/c785/8884479/bc07b812c168/fnagi-14-783634-g003.jpg
https://cdn.ncbi.nlm.nih.gov/pmc/blobs/c785/8884479/c8c24628ff09/fnagi-14-783634-g004.jpg
https://cdn.ncbi.nlm.nih.gov/pmc/blobs/c785/8884479/8b32a81c6d7e/fnagi-14-783634-g005.jpg

相似文献

1
Altered Intra- and Inter-Network Connectivity in Drug-Naïve Patients With Early Parkinson's Disease.初发帕金森病未用药患者的脑内及脑网络间连接性改变
Front Aging Neurosci. 2022 Feb 14;14:783634. doi: 10.3389/fnagi.2022.783634. eCollection 2022.
2
Aberrant inter-network functional connectivity in drug-naive Parkinson's disease patients with tremor dominant and postural instability and gait difficulty.震颤为主型及姿势不稳和步态障碍型初发帕金森病患者的异常脑网络间功能连接
Front Hum Neurosci. 2023 Feb 2;17:1100431. doi: 10.3389/fnhum.2023.1100431. eCollection 2023.
3
Cerebellar functional connectivity change is associated with motor and neuropsychological function in early stage drug-naïve patients with Parkinson's disease.在早期未用药的帕金森病患者中,小脑功能连接变化与运动及神经心理功能相关。
Front Neurosci. 2023 Jun 22;17:1113889. doi: 10.3389/fnins.2023.1113889. eCollection 2023.
4
Convergent and divergent intra- and internetwork connectivity in Parkinson's disease with wearing-off.帕金森病伴发剂末现象的脑内和脑间网络连接的汇聚和发散
Neurol Sci. 2024 Jan;45(1):155-169. doi: 10.1007/s10072-023-07005-2. Epub 2023 Aug 14.
5
Functional Connectivity Alterations of Within and Between Networks in Schizophrenia: A Retrospective Study.精神分裂症患者脑网络内部及之间的功能连接改变:一项回顾性研究
Basic Clin Neurosci. 2023 May-Jun;14(3):397-409. doi: 10.32598/bcn.2022.3928.2. Epub 2023 May 1.
6
Connectivity Correlates of Anxiety Symptoms in Drug-Naive Parkinson's Disease Patients.药物初治帕金森病患者焦虑症状的相关性分析。
Mov Disord. 2021 Jan;36(1):96-105. doi: 10.1002/mds.28372. Epub 2020 Nov 10.
7
Different resting-state network disruptions in newly diagnosed drug-naïve Parkinson's disease patients with mild cognitive impairment.新诊断的、未经药物治疗的帕金森病轻度认知障碍患者中不同的静息态网络紊乱。
BMC Neurol. 2021 Aug 25;21(1):327. doi: 10.1186/s12883-021-02360-z.
8
Abnormal intra- and inter-network functional connectivity of brain networks in early-onset Parkinson's disease and late-onset Parkinson's disease.早发性帕金森病和晚发性帕金森病中脑网络的异常内部和网络间功能连接
Front Aging Neurosci. 2023 Mar 24;15:1132723. doi: 10.3389/fnagi.2023.1132723. eCollection 2023.
9
Within- and across-network alterations of the sensorimotor network in Parkinson's disease.帕金森病中感觉运动网络的网络内和网络间改变。
Neuroradiology. 2021 Dec;63(12):2073-2085. doi: 10.1007/s00234-021-02731-w. Epub 2021 May 21.
10
Abnormal Dynamic Functional Connectivity Associated With Subcortical Networks in Parkinson's Disease: A Temporal Variability Perspective.帕金森病中与皮质下网络相关的异常动态功能连接:从时间变异性角度分析
Front Neurosci. 2019 Feb 19;13:80. doi: 10.3389/fnins.2019.00080. eCollection 2019.

引用本文的文献

1
Aberrant static and dynamic functional network connectivity in patients with noise-induced hearing loss.噪声性听力损失患者异常的静态和动态功能网络连接性
Quant Imaging Med Surg. 2025 May 1;15(5):3891-3910. doi: 10.21037/qims-24-1511. Epub 2025 Apr 17.
2
Neuroanatomical Insights: Convergence and Divergence of Tinnitus with Normal or Mild Hearing Loss.神经解剖学见解:耳鸣与正常或轻度听力损失的汇聚与发散
Biomedicines. 2025 Jan 24;13(2):286. doi: 10.3390/biomedicines13020286.
3
Motor Functional Hierarchical Organization of Cerebrum and Its Underlying Genetic Architecture in Parkinson's Disease.

本文引用的文献

1
Altered brain network in first-episode, drug-naive patients with major depressive disorder.首发未用药的重性抑郁障碍患者的大脑网络改变。
J Affect Disord. 2022 Jan 15;297:1-7. doi: 10.1016/j.jad.2021.10.012. Epub 2021 Oct 14.
2
Functional Connectomics and Disease Progression in Drug-Naïve Parkinson's Disease Patients.药物初治帕金森病患者的功能连接组学与疾病进展
Mov Disord. 2021 Jul;36(7):1603-1616. doi: 10.1002/mds.28541. Epub 2021 Feb 27.
3
Dynamics of Top-Down Control and Motor Networks in Parkinson's Disease.帕金森病的自上而下控制和运动网络动力学。
帕金森病中大脑运动功能的层次组织及其潜在的遗传结构
J Neurosci. 2025 Feb 12;45(7):e1492242024. doi: 10.1523/JNEUROSCI.1492-24.2024.
4
White matter structural changes before and after microvascular decompression for hemifacial spasm.微血管减压术治疗面肌痉挛前后的白质结构变化。
Brain Struct Funct. 2024 May;229(4):959-970. doi: 10.1007/s00429-023-02741-9. Epub 2024 Mar 19.
5
Individualized functional connectivity markers associated with motor and mood symptoms of Parkinson's disease.与帕金森病运动和情绪症状相关的个体化功能连接标记物。
bioRxiv. 2024 Feb 2:2024.01.31.578238. doi: 10.1101/2024.01.31.578238.
6
Functional reorganization of intranetwork and internetwork connectivity in patients with Ménière's disease.梅尼埃病患者内网和外网连接的功能重组。
Sci Rep. 2023 Oct 5;13(1):16775. doi: 10.1038/s41598-023-44090-x.
7
Convergent and divergent intra- and internetwork connectivity in Parkinson's disease with wearing-off.帕金森病伴发剂末现象的脑内和脑间网络连接的汇聚和发散
Neurol Sci. 2024 Jan;45(1):155-169. doi: 10.1007/s10072-023-07005-2. Epub 2023 Aug 14.
8
Normalization effect of dopamine replacement therapy on brain functional connectome in Parkinson's disease.多巴胺替代疗法对帕金森病脑功能连接组的归一化效应。
Hum Brain Mapp. 2023 Jun 15;44(9):3845-3858. doi: 10.1002/hbm.26316. Epub 2023 May 1.
9
Aberrant intra- and internetwork functional connectivity patterns of the anterior and posterior hippocampal networks in schizophrenia.精神分裂症患者前、后海马网络的内、网络间功能连接模式异常。
CNS Neurosci Ther. 2023 Aug;29(8):2223-2235. doi: 10.1111/cns.14171. Epub 2023 Mar 22.
Mov Disord. 2021 Apr;36(4):916-926. doi: 10.1002/mds.28461. Epub 2021 Jan 6.
4
Connectivity Correlates of Anxiety Symptoms in Drug-Naive Parkinson's Disease Patients.药物初治帕金森病患者焦虑症状的相关性分析。
Mov Disord. 2021 Jan;36(1):96-105. doi: 10.1002/mds.28372. Epub 2020 Nov 10.
5
Alterations in intrinsic functional networks in Parkinson's disease patients with depression: A resting-state functional magnetic resonance imaging study.帕金森病伴抑郁患者静息态功能磁共振成像研究中的内源性功能网络改变。
CNS Neurosci Ther. 2021 Mar;27(3):289-298. doi: 10.1111/cns.13467. Epub 2020 Oct 21.
6
Pallidal Connectivity Profiling of Stimulation-Induced Dyskinesia in Parkinson's Disease.帕金森病刺激诱导运动障碍的苍白球连接特征分析。
Mov Disord. 2021 Feb;36(2):380-388. doi: 10.1002/mds.28324. Epub 2020 Oct 1.
7
Motor Cerebellar Connectivity and Future Development of Freezing of Gait in De Novo Parkinson's Disease.脑小脑连接与新发帕金森病冻结步态的未来发展。
Mov Disord. 2020 Dec;35(12):2240-2249. doi: 10.1002/mds.28243. Epub 2020 Sep 14.
8
Deep brain stimulation in early-stage Parkinson disease: Five-year outcomes.早期帕金森病的深部脑刺激:5 年结果。
Neurology. 2020 Jul 28;95(4):e393-e401. doi: 10.1212/WNL.0000000000009946. Epub 2020 Jun 29.
9
Alterations of Interhemispheric Functional Connectivity in Parkinson's Disease With Depression: A Resting-State Functional MRI Study.帕金森病伴发抑郁患者半球间功能连接的改变:一项静息态功能磁共振成像研究
Front Hum Neurosci. 2020 Jun 5;14:193. doi: 10.3389/fnhum.2020.00193. eCollection 2020.
10
Altered brain white matter connectome in children and adolescents with prenatal alcohol exposure.产前酒精暴露对儿童和青少年脑白质连接组的影响
Brain Struct Funct. 2020 Apr;225(3):1123-1133. doi: 10.1007/s00429-020-02064-z. Epub 2020 Apr 1.