Suppr超能文献

年轻力量型运动员的左心房功能:四维自动定量研究

Left atrial function in young strength athletes: four-dimensional automatic quantitation study.

作者信息

Liu Mengmeng, Sun Mengjiao, Li Lijin, Li Pengge, Hou Suyun, Li Zhen, Sun Xinxin, Hua Shaohua

机构信息

Department of Ultrasound, The First Affiliated Hospital of Zhengzhou University, Zhengzhou, 450000, China.

出版信息

Int J Cardiovasc Imaging. 2022 Sep;38(9):1929-1937. doi: 10.1007/s10554-022-02585-0. Epub 2022 Mar 7.

Abstract

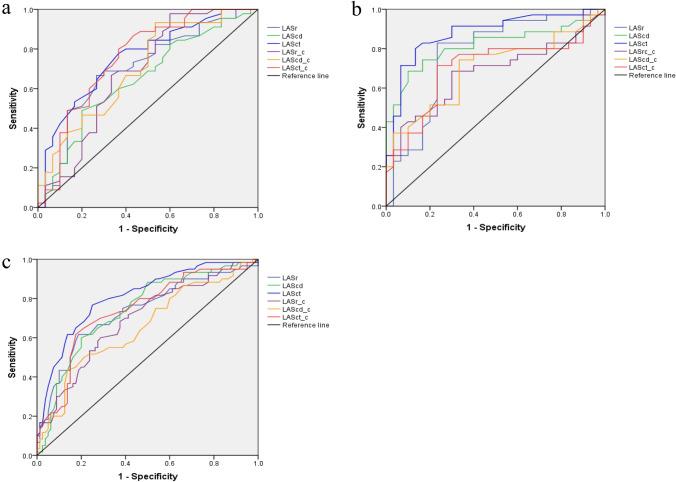
Athletes might suffer from potentially fatal heart disease, which has always been a concern in cardiovascular medicine. The changes in left atrial (LA) size and function are related to the occurrence of arrhythmia. In the present study, four-dimensional automatic quantitation (4D LAQ) was used to explore the changes in LA function of young strength athletes. Eighty professional young strength athletes and sixty healthy young adults matched in age were selected for the study. The LA volumes and strains were automatically analyzed by 4D LAQ. The receiver operating characteristic (ROC) curves were used to evaluate the diagnostic value of strain in athletes' LA function. Pearson correlation analysis was performed to assess the potential association between conventional echocardiographic indexes and 4D parameters related to athletes' LA function. Compared to the control group, LA longitudinal and circumferential strain in the athlete group decreased, while LA volume increased (P < 0.05). However, LA strain was similar among 45 male and 35 female strength athletes (P > 0.05), while male athletes presented with a higher LA volume when compared to female controls (P < 0.05). ROC curve analysis showed that LA contraction longitudinal strain (LASct) was the best predictor in evaluating athletes' LA function. Athletes' heart rate and left ventricular mass index were significantly correlated with 4D LA function parameters.4D LAQ can be used for early detection of the changes in LA function in young strength athletes. There was no significant difference in LA strain between male and female athletes. The LASct was the most effective index for evaluating athletes' LA function.

摘要

运动员可能患有潜在致命的心脏病,这一直是心血管医学领域关注的问题。左心房(LA)大小和功能的变化与心律失常的发生有关。在本研究中,采用四维自动定量(4D LAQ)来探究年轻力量型运动员左心房功能的变化。选取了80名职业年轻力量型运动员和60名年龄匹配的健康年轻人作为研究对象。通过4D LAQ自动分析左心房容积和应变。采用受试者工作特征(ROC)曲线评估应变对运动员左心房功能的诊断价值。进行Pearson相关分析以评估传统超声心动图指标与运动员左心房功能相关的4D参数之间的潜在关联。与对照组相比,运动员组的左心房纵向和圆周应变降低,而左心房容积增加(P < 0.05)。然而,45名男性和35名女性力量型运动员之间的左心房应变相似(P > 0.05),但与女性对照组相比,男性运动员的左心房容积更高(P < 0.05)。ROC曲线分析表明,左心房收缩纵向应变(LASct)是评估运动员左心房功能的最佳预测指标。运动员的心率和左心室质量指数与4D左心房功能参数显著相关。4D LAQ可用于早期检测年轻力量型运动员左心房功能的变化。男女运动员之间的左心房应变无显著差异。LASct是评估运动员左心房功能最有效的指标。

https://cdn.ncbi.nlm.nih.gov/pmc/blobs/cdc5/10509064/91ab0da136bb/10554_2022_2585_Fig1_HTML.jpg

文献AI研究员

20分钟写一篇综述,助力文献阅读效率提升50倍。

立即体验

用中文搜PubMed

大模型驱动的PubMed中文搜索引擎

马上搜索

文档翻译

学术文献翻译模型,支持多种主流文档格式。

立即体验