Wyser Dominik G, Kanzler Christoph M, Salzmann Lena, Lambercy Olivier, Wolf Martin, Scholkmann Felix, Gassert Roger
ETH Zurich, Rehabilitation Engineering Laboratory, Department of Health Sciences and Technology, Zurich, Switzerland.
University Hospital Zurich, University of Zurich, Biomedical Optics Research Laboratory, Department of Neonatology, Zurich, Switzerland.
Neurophotonics. 2022 Jan;9(1):015004. doi: 10.1117/1.NPh.9.1.015004. Epub 2022 Mar 7.
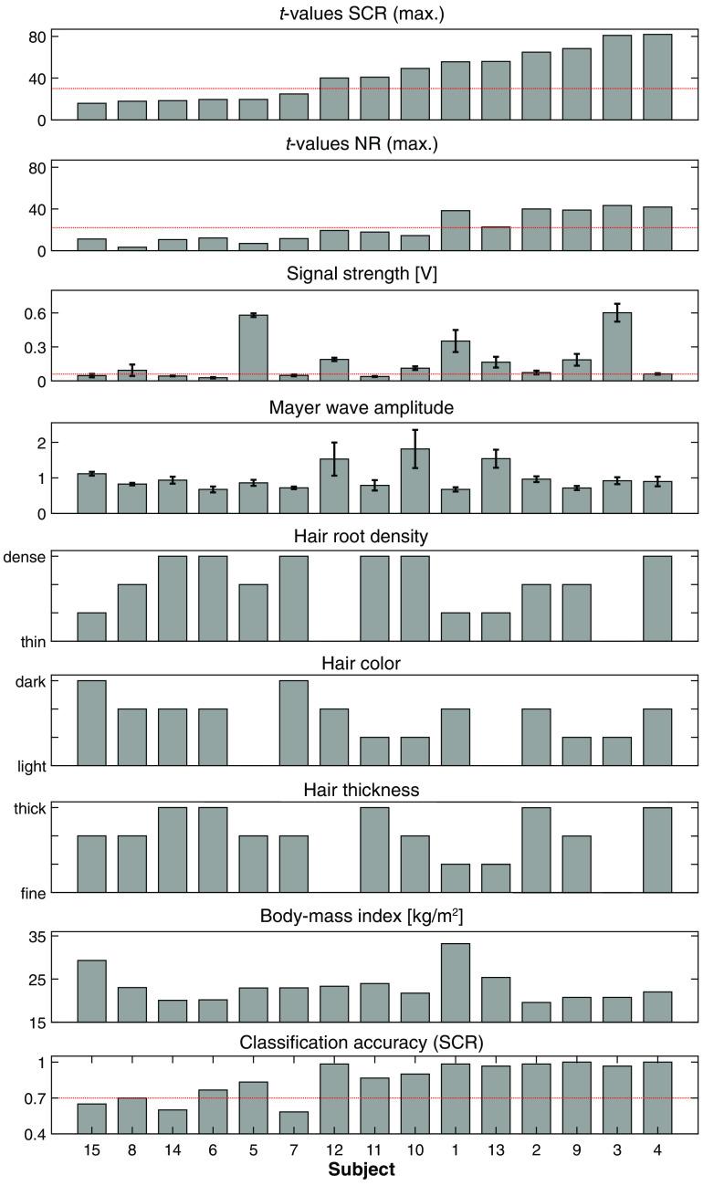
Functional near-infrared spectroscopy (fNIRS) enables the measurement of brain activity noninvasively. Optical neuroimaging with fNIRS has been shown to be reproducible on the group level and hence is an excellent research tool, but the reproducibility on the single-subject level is still insufficient, challenging the use for clinical applications. We investigated the effect of short-channel regression (SCR) as an approach to obtain fNIRS measurements with higher reproducibility on a single-subject level. SCR simultaneously considers contributions from long- and short-separation channels and removes confounding physiological changes through the regression of the short-separation channel information. We performed a test-retest study with a hand grasping task in 15 healthy subjects using a wearable fNIRS device, optoHIVE. Relevant brain regions were localized with transcranial magnetic stimulation to ensure correct placement of the optodes. Reproducibility was assessed by intraclass correlation, correlation analysis, mixed effects modeling, and classification accuracy of the hand grasping task. Further, we characterized the influence of SCR on reproducibility. We found a high reproducibility of fNIRS measurements on a single-subject level ( and correlation ). SCR increased the reproducibility from 0.64 to 0.81 ( ) but did not affect classification (85% overall accuracy). Significant intersubject variability in the reproducibility was observed and was explained by Mayer wave oscillations and low raw signal strength. The raw signal-to-noise ratio (threshold at 40 dB) allowed for distinguishing between persons with weak and strong activations. We report, for the first time, that fNIRS measurements are reproducible on a single-subject level using our optoHIVE fNIRS system and that SCR improves reproducibility. In addition, we give a benchmark to easily assess the ability of a subject to elicit sufficiently strong hemodynamic responses. With these insights, we pave the way for the reliable use of fNIRS neuroimaging in single subjects for neuroscientific research and clinical applications.
功能近红外光谱技术(fNIRS)能够无创地测量大脑活动。已有研究表明,基于fNIRS的光学神经成像在群体水平上具有可重复性,因此是一种出色的研究工具,但在单受试者水平上的可重复性仍不足,这对其临床应用构成了挑战。我们研究了短通道回归(SCR)作为一种在单受试者水平上获得更高可重复性fNIRS测量值的方法的效果。SCR同时考虑了长距离和短距离通道的贡献,并通过对短距离通道信息的回归消除混杂的生理变化。我们使用可穿戴式fNIRS设备optoHIVE对15名健康受试者进行了一项抓握任务的重测研究。通过经颅磁刺激定位相关脑区,以确保光极放置正确。通过组内相关系数、相关性分析、混合效应建模以及抓握任务的分类准确率来评估可重复性。此外,我们还表征了SCR对可重复性的影响。我们发现fNIRS测量在单受试者水平上具有较高的可重复性(组内相关系数和相关性)。SCR将可重复性从0.64提高到了0.81( ),但并未影响分类(总体准确率为85%)。观察到可重复性存在显著的受试者间变异性,这可以通过迈尔波振荡和低原始信号强度来解释。原始信噪比(阈值为40 dB)能够区分激活较弱和较强的个体。我们首次报告,使用我们的optoHIVE fNIRS系统,fNIRS测量在单受试者水平上具有可重复性,并且SCR提高了可重复性。此外,我们给出了一个基准,以便轻松评估受试者引发足够强烈血液动力学反应的能力。有了这些见解,我们为在单受试者中可靠地使用fNIRS神经成像进行神经科学研究和临床应用铺平了道路。