Weskamp Pia, Ufton Dominic, Drysch Marius, Wagner Johannes Maximilian, Dadras Mehran, Lehnhardt Marcus, Behr Björn, Wallner Christoph
Department of Plastic Surgery, BG-University Hospital Bergmannsheil, Ruhr University Bochum, 44789 Bochum, Germany.
Cancers (Basel). 2022 Mar 1;14(5):1273. doi: 10.3390/cancers14051273.
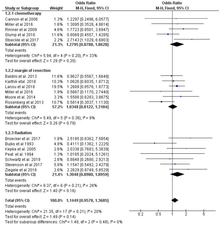
The diagnosis and prognostic outcome of STS pose a therapeutic challenge in an interdisciplinary setting. The treatment protocols are still discussed controversially. This systematic meta-analysis aimed to determine prognostic factors leading to the development and recurrence of STS. Eligible studies that investigated potential risk factors such as smoking, genetic dispositions, toxins, chronic inflammation as well as prognostic relapse factors including radiation, chemotherapy and margins of resection were identified. Data from 24 studies published between 1993 and 2019 that comprised 6452 patients were pooled. A statistically significant effect developing STS was found in overall studies stating a causality between risk factors and the development of STS (p < 0.01). Although subgroup analysis did not meet statistical significances, it revealed a greater magnitude with smoking (p = 0.23), genetic predisposition (p = 0.13) chronic inflammation, (p = 0.20), and toxins (p = 0.14). Secondly, pooled analyses demonstrated a higher risk of relapse for margin of resection (p = 0.78), chemotherapy (p = 0.20) and radiation (p = 0.16); after 3 years of follow-up. Therefore, we were able to identify risk and relapse prognostic factors for STS, helping to diagnose and treat this low incidental cancer properly.
在多学科背景下,软组织肉瘤(STS)的诊断和预后结果带来了治疗挑战。治疗方案仍存在争议。这项系统性荟萃分析旨在确定导致STS发生和复发的预后因素。我们识别了符合条件的研究,这些研究调查了吸烟、遗传易感性、毒素、慢性炎症等潜在风险因素,以及包括放疗、化疗和手术切缘等预后复发因素。汇总了1993年至2019年间发表的24项研究的数据,这些研究共纳入了6452例患者。在总体研究中发现,风险因素与STS发生之间存在因果关系,这一结果具有统计学意义(p < 0.01)。尽管亚组分析未达到统计学显著性,但吸烟(p = 0.23)、遗传易感性(p = 0.13)、慢性炎症(p = 0.20)和毒素(p = 0.14)显示出更大的关联度。其次,汇总分析表明,手术切缘(p = 0.78)、化疗(p = 0.20)和放疗(p = 0.16)在随访3年后复发风险更高。因此,我们能够识别出STS的风险和复发预后因素,有助于正确诊断和治疗这种低发癌症。