Suppr超能文献

颅骨振动诱发的眼球震颤在前庭神经炎随访中有用吗?

Is Skull Vibration-Induced Nystagmus Useful in Vestibular Neuritis Follow Up?

作者信息

Díaz Ma Piedad García, Torres-García Lidia, Zamora Enrique García, Belén Castilla Jiménez Ana, Pérez Guillén Vanesa

机构信息

Department of Otorhinolaryngology, Hospital Universitario y Politécnico La Fe, 46026 València, Spain.

Department of Otorhinolaryngology, Hospital Vega Baja, 03314 Alicante, Spain.

出版信息

Audiol Res. 2022 Feb 26;12(2):126-131. doi: 10.3390/audiolres12020015.

Abstract

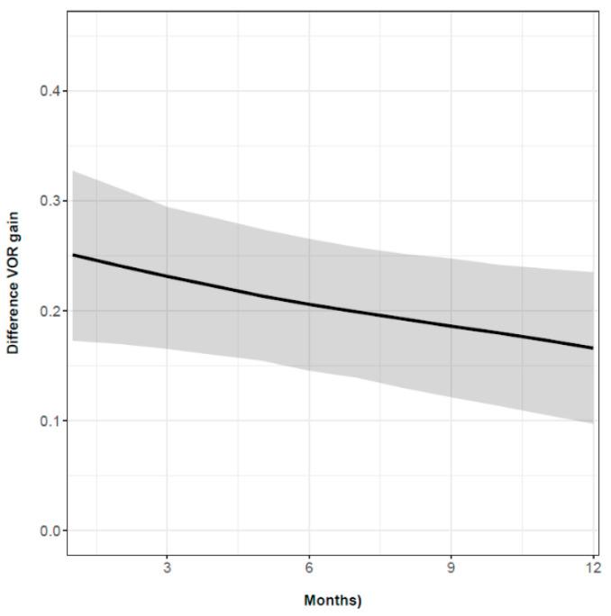
The aim of this study was to evaluate the vestibulo-ocular reflex (VOR) gain and the saccade regrouping pattern PR score of the Video Head Impulse Test (vHIT) and its relationship with the slow-phase velocity (SPV) of skull vibration-induced nystagmus (SVIN) in recovery after a unilateral vestibular loss (UVL). A total of 36 patients suffering from vestibular neuritis (VN) were recruited and followed up for twelve months. In every visit, horizontal vHIT and an SVIN were performed, as well as VOR gain; PR score and the SPV of SVIN were measured. We observed a positive association between the VOR gain difference and the SPV of SVIN over time (probability greater than 0.86). Additionally, we obtained a positive association between the SPV of SVIN and the PR score in successive visits (odds ratio (OR) = -0.048; CI [0.898, 1.01]), with a probability of 0.95. Our results confirm that SPV of SVIN; VOR gain difference; and PR score decrease over time after a UVL. Both tests are useful in the follow-up of VN, as they could reflect its clinical compensation or partial recovery.

摘要

本研究的目的是评估视频头脉冲试验(vHIT)的前庭眼反射(VOR)增益和扫视重新分组模式PR评分,及其与单侧前庭丧失(UVL)恢复过程中颅骨振动诱发眼震(SVIN)慢相速度(SPV)的关系。共招募了36例前庭神经炎(VN)患者,并随访12个月。每次就诊时,均进行水平vHIT和SVIN检查,同时测量VOR增益、PR评分和SVIN的SPV。我们观察到随着时间的推移,VOR增益差异与SVIN的SPV之间存在正相关(概率大于0.86)。此外,在连续就诊中,我们还发现SVIN的SPV与PR评分之间存在正相关(优势比(OR)=-0.048;可信区间[0.898, 1.01]),概率为0.95。我们的结果证实,UVL后,SVIN的SPV、VOR增益差异和PR评分随时间下降。这两种检查在VN的随访中均有用,因为它们可以反映其临床代偿或部分恢复情况。

https://cdn.ncbi.nlm.nih.gov/pmc/blobs/f02c/8938810/f88e920d0d36/audiolres-12-00015-g001.jpg

文献AI研究员

20分钟写一篇综述,助力文献阅读效率提升50倍。

立即体验

用中文搜PubMed

大模型驱动的PubMed中文搜索引擎

马上搜索

文档翻译

学术文献翻译模型,支持多种主流文档格式。

立即体验