Suppr超能文献

异位妊娠患者氧化应激的评估。

Evaluation of Oxidative Stress in Ectopic Pregnancies.

机构信息

a:1:{s:5:"en_US";s:31:"Çubuk Halil Şıvgın Hospital";}.

Health Sciences University, Istanbul Kanuni Sultan Suleyman Training and Research Hospital, Department of Obstetrics and Gynecology, Istanbul/Turkey.

出版信息

Acta Biomed. 2022 Mar 14;93(1):e2022025. doi: 10.23750/abm.v93i1.11097.

Abstract

PURPOSE

The aim of the study is to show the relationship between oxidative stress and ectopic pregnancy.

MATERIALS AND METHODS

A total of 62 patients, 31 in the ectopic pregnancy group (study group) and 31 in the first-trimester pregnancy (control group) were included in the study. Patients between 18-45 years of age who had tubal ectopic pregnancy diagnosed by transvaginal ultrasonography and serum β-HCG values were included in the study group. Serum thiol- disulfide hemostasis were measured from venous blood.

RESULTS

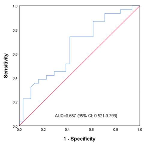
Between the control group and the ectopic pregnant group; there was no statistically significant difference in terms of age, total thiol, albumin, disulfide, index 1 (disulfide / total thiol), index 2 (disulfide / native thiol), and index 3 levels (p> 0.05). The area under the ROC curve for native thiol measurements was statistically significant in distinguishing the control group and the ectopic pregnant group [AUC = 0.657, 95% CI: 0.521-0.793, p = 0.034] Conclusion: This study shows that ectopic pregnancies may be associated with the presence of high oxidative stress. Especially in early stage suspected patients, demonstrating the presence of oxidative stress together with serial β-HCG follow-up may be helpful in diagnosis.

摘要

目的

本研究旨在展示氧化应激与宫外孕之间的关系。

材料和方法

共纳入 62 例患者,31 例异位妊娠组(研究组)和 31 例早期妊娠组(对照组)。研究组纳入经阴道超声和血清β-HCG 值诊断为输卵管异位妊娠且年龄在 18-45 岁之间的患者。从静脉血中测量巯基-二硫键止血。

结果

在对照组和异位妊娠组之间;在年龄、总巯基、白蛋白、二硫键、指数 1(二硫键/总巯基)、指数 2(二硫键/天然巯基)和指数 3 水平方面无统计学显著差异(p>0.05)。天然巯基测量的 ROC 曲线下面积在区分对照组和异位妊娠组方面具有统计学意义[AUC=0.657,95%CI:0.521-0.793,p=0.034]。结论:本研究表明,宫外孕可能与存在高氧化应激有关。特别是在早期疑似患者中,与连续β-HCG 随访一起显示氧化应激的存在可能有助于诊断。

https://cdn.ncbi.nlm.nih.gov/pmc/blobs/99ee/8972882/d494f3bed97b/ACTA-93-25-g001.jpg

文献AI研究员

20分钟写一篇综述,助力文献阅读效率提升50倍。

立即体验

用中文搜PubMed

大模型驱动的PubMed中文搜索引擎

马上搜索

文档翻译

学术文献翻译模型,支持多种主流文档格式。

立即体验