Suppr超能文献

脑泰方提取物减轻脑缺血再灌注损伤后神经元凋亡的代谢组学研究

Metabonomics Study on Naotaifang Extract Alleviating Neuronal Apoptosis after Cerebral Ischemia-Reperfusion Injury.

作者信息

Xu Dehong, Ai Qidi, Chen Xiaoqing, Wang Zhaoguo, Wei Hongda, Zhou Luobing, Mei Zhigang, Ge Jinwen

机构信息

College of Integrated Traditional Chinese and Western Medicine, Hunan University of Chinese Medicine, Changsha, Hunan 410208, China.

Laboratory of Biological Engineering, College of Pharmacy, Hunan University of Chinese Medicine, Changsha, Hunan 410208, China.

出版信息

Evid Based Complement Alternat Med. 2022 Mar 14;2022:2112433. doi: 10.1155/2022/2112433. eCollection 2022.

Abstract

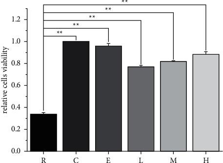
Naotaifang extract (NTE) is a clinically effective traditional Chinese medicine compound for cerebral ischemia-reperfusion injury. Although NTE can achieve neuroprotective function through different mechanisms, the pharmacodynamic substances of NTE corresponding to these mechanisms have rarely been reported. Alleviating or inhibiting neuronal apoptosis is an important way to achieve neuroprotection. Accordingly, this study has evaluated the effects of NTE on alleviating neuronal apoptosis after cerebral ischemia-reperfusion injury from two levels of cells and tissues. Meanwhile, the serum pharmacochemistry of NTE was analyzed by high performance liquid chromatography-tandem mass spectrometry (HPLC-MS/MS) with the guidance of Chinmedomics. The results included three aspects: (1) NTE could significantly alleviate neuronal apoptosis caused by in vitro cellular models and in vivo animal models; (2) a total of 21 serum differential metabolites was discovered, including adenosine, inosine, ferulic acid, calycosin, salidroside, 6-gingerol, 2-methoxycinnamaldehyde, and so on; (3) the metabolic pathway regulated by NTE was mainly purine metabolism. From these results, it can be concluded that alleviating neuronal apoptosis by NTE after cerebral ischemia-reperfusion injury is one of the important mechanisms to achieve neuroprotection. The pharmacodynamic substances of NTE for alleviating neuronal apoptosis on the one hand are related to components directly absorbed into blood, such as ferulic acid, calycosin, salidroside, 6-gingerol, and 2-methoxycinnamaldehyde and on the other hand are also closely linked to its indirect regulation of purine metabolism in the body to produce adenosine and inosine. Therefore, our research not only identified the main pharmacodynamic substances of NTE that alleviated neuronal apoptosis but also provided a methodological reference for studying other neuroprotective effects of NTE.

摘要

脑泰方提取物(NTE)是一种治疗脑缺血再灌注损伤的临床有效中药复方。尽管NTE可通过不同机制发挥神经保护作用,但其相应的药效物质却鲜有报道。减轻或抑制神经元凋亡是实现神经保护的重要途径。因此,本研究从细胞和组织两个层面评估了NTE对减轻脑缺血再灌注损伤后神经元凋亡的作用。同时,在中医组学指导下,采用高效液相色谱-串联质谱法(HPLC-MS/MS)分析了NTE的血清药物化学。结果包括三个方面:(1)NTE能显著减轻体外细胞模型和体内动物模型引起的神经元凋亡;(2)共发现21种血清差异代谢物,包括腺苷、肌苷、阿魏酸、毛蕊异黄酮、红景天苷、6-姜酚、2-甲氧基肉桂醛等;(3)NTE调节的代谢途径主要是嘌呤代谢。从这些结果可以得出结论,脑缺血再灌注损伤后NTE减轻神经元凋亡是其实现神经保护的重要机制之一。NTE减轻神经元凋亡的药效物质一方面与直接吸收入血的成分如阿魏酸、毛蕊异黄酮、红景天苷、6-姜酚、2-甲氧基肉桂醛有关,另一方面也与其间接调节体内嘌呤代谢产生腺苷和肌苷密切相关。因此,本研究不仅明确了NTE减轻神经元凋亡的主要药效物质,也为研究NTE的其他神经保护作用提供了方法学参考。

https://cdn.ncbi.nlm.nih.gov/pmc/blobs/1077/8938065/02a20d5575ae/ECAM2022-2112433.001.jpg

文献检索

告别复杂PubMed语法,用中文像聊天一样搜索,搜遍4000万医学文献。AI智能推荐,让科研检索更轻松。

立即免费搜索

文件翻译

保留排版,准确专业,支持PDF/Word/PPT等文件格式,支持 12+语言互译。

免费翻译文档

深度研究

AI帮你快速写综述,25分钟生成高质量综述,智能提取关键信息,辅助科研写作。

立即免费体验