• 文献检索
  • 文档翻译
  • 深度研究
  • 学术资讯
  • Suppr Zotero 插件Zotero 插件
  • 邀请有礼
  • 套餐&价格
  • 历史记录
应用&插件
Suppr Zotero 插件Zotero 插件浏览器插件Mac 客户端Windows 客户端微信小程序
定价
高级版会员购买积分包购买API积分包
服务
文献检索文档翻译深度研究API 文档MCP 服务
关于我们
关于 Suppr公司介绍联系我们用户协议隐私条款
关注我们

Suppr 超能文献

核心技术专利:CN118964589B侵权必究
粤ICP备2023148730 号-1Suppr @ 2026

文献检索

告别复杂PubMed语法,用中文像聊天一样搜索,搜遍4000万医学文献。AI智能推荐,让科研检索更轻松。

立即免费搜索

文件翻译

保留排版,准确专业,支持PDF/Word/PPT等文件格式,支持 12+语言互译。

免费翻译文档

深度研究

AI帮你快速写综述,25分钟生成高质量综述,智能提取关键信息,辅助科研写作。

立即免费体验

日粮中添加废弃佛手柑副产品对猪的生产性能、肉及肉制品脂肪酸组成和氧化稳定性的影响

Influence of Dietary Inclusion of Exhausted Bergamot By-Product in Pigs on Animal Performance, Fatty Acid Profile and Oxidative Stability of Meat and Meat Products.

作者信息

Scerra Manuel, Rao Rosa, Foti Francesco, Caparra Pasquale, Cilione Caterina, Natalello Antonio, Biondi Luisa, Bella Marco Sebastiano, Chies Luigi

机构信息

Dipartimento di Agraria, Produzioni Animali, University of Reggio Calabria, Via dell'Università, 25, 89124 Reggio Calabria, Italy.

Dipartimento di Agricoltura, Alimentazione e Ambiente (Di3A), University of Catania, Via Valdisavoia 5, 95123 Catania, Italy.

出版信息

Animals (Basel). 2022 Mar 17;12(6):757. doi: 10.3390/ani12060757.

DOI:10.3390/ani12060757
PMID:35327154
原文链接:https://pmc.ncbi.nlm.nih.gov/articles/PMC8944746/
Abstract

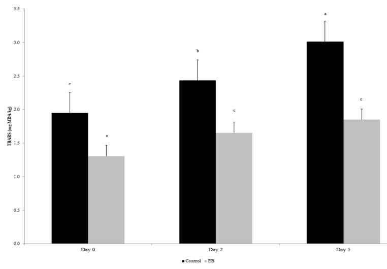
An investigation was carried out on the effect in pig diet of supplementation with exhausted bergamot by-product, stemming from pharmaceutical industry after extraction of phenolic compounds, on growth performance and on the quality of meat and meat products. Twenty pigs were assigned to two dietary treatments and fed a conventional concentrate (control) or a concentrate including exhausted bergamot by-product at the level of 15% on a DM basis (EB). No significant differences between dietary treatments were found for final weight (p = 0.243), carcass weight (p = 0.679), dry matter intake (p = 0.321). In EB pork, the proportion of docosapentaenoic acid was significantly increased (p < 0.05); it tended to have a greater proportion of n-3 PUFA (p = 0.09), and the n-6/n-3 PUFA ratio was lower in EB treatment (p = 0.01). In salami from EB pigs fed, the proportion of α-linolenic acid and the total n-3 PUFA were higher than in the control group (p < 0.001). In salami, the TBARS value was lower after 5 days of storage (p < 0.001) in the EB group. Therefore, the present results suggest that the inclusion of exhausted bergamot by-product in pig diet resulted in a qualitative improvement of meat and meat products.

摘要

对猪日粮中添加来自制药行业提取酚类化合物后剩余的佛手柑副产品对生长性能以及肉和肉制品质量的影响进行了一项研究。将20头猪分配到两种日粮处理组,分别饲喂常规浓缩料(对照组)或干物质基础上含15%佛手柑副产品的浓缩料(EB组)。在最终体重(p = 0.243)、胴体重(p = 0.679)、干物质摄入量(p = 0.321)方面,日粮处理组之间未发现显著差异。在EB组猪肉中,二十二碳五烯酸的比例显著增加(p < 0.05);其n-3多不饱和脂肪酸的比例往往更高(p = 0.09),并且EB处理组的n-6/n-3多不饱和脂肪酸比值更低(p = 0.01)。在饲喂EB组猪的萨拉米香肠中,α-亚麻酸和总n-3多不饱和脂肪酸的比例高于对照组(p < 0.001)。在萨拉米香肠中,EB组在储存5天后的硫代巴比妥酸反应物(TBARS)值更低(p < 0.001)。因此,目前的结果表明,在猪日粮中添加佛手柑副产品可使肉和肉制品的质量得到改善。

https://cdn.ncbi.nlm.nih.gov/pmc/blobs/a49d/8944746/d031d97dc791/animals-12-00757-g001.jpg
https://cdn.ncbi.nlm.nih.gov/pmc/blobs/a49d/8944746/d031d97dc791/animals-12-00757-g001.jpg
https://cdn.ncbi.nlm.nih.gov/pmc/blobs/a49d/8944746/d031d97dc791/animals-12-00757-g001.jpg

相似文献

1
Influence of Dietary Inclusion of Exhausted Bergamot By-Product in Pigs on Animal Performance, Fatty Acid Profile and Oxidative Stability of Meat and Meat Products.日粮中添加废弃佛手柑副产品对猪的生产性能、肉及肉制品脂肪酸组成和氧化稳定性的影响
Animals (Basel). 2022 Mar 17;12(6):757. doi: 10.3390/ani12060757.
2
Effect of feeding pigs with bergamot by-product on fatty acid composition and oxidative stability of meat and salami.给猪喂食佛手柑副产物对肉和萨拉米香肠脂肪酸组成和氧化稳定性的影响。
Meat Sci. 2022 Jan;183:108662. doi: 10.1016/j.meatsci.2021.108662. Epub 2021 Aug 26.
3
Effects of feeding bergamot pulp and olive leaves on performance and meat quality in Apulo-Calabrese pigs.喂食佛手柑果肉和橄榄叶对阿普利亚-卡拉布里亚猪生产性能和肉质的影响。
Vet Anim Sci. 2024 Jan 21;23:100336. doi: 10.1016/j.vas.2024.100336. eCollection 2024 Mar.
4
Effects of Bergamot ( Risso) By-Product on Growth Performance and Meat Quality of Growing Rabbits.佛手柑(里索)副产品对生长兔生长性能和肉质的影响。
Foods. 2024 Aug 20;13(16):2611. doi: 10.3390/foods13162611.
5
Effects of feeding diets containing highly peroxidized distillers dried grains with solubles and increasing vitamin E levels to wean-finish pigs on growth performance, carcass characteristics, and pork fat composition.给断奶至育肥猪饲喂含有高度过氧化的干酒糟及其可溶物的日粮并提高维生素E水平对生长性能、胴体特性和猪肉脂肪组成的影响。
J Anim Sci. 2014 Jan;92(1):198-210. doi: 10.2527/jas.2013-6334. Epub 2013 Oct 28.
6
Influence of extruded linseed on growth, carcass composition, and meat quality of slaughtered pigs at one hundred ten and one hundred sixty kilograms of liveweight.挤压亚麻籽对体重110千克和160千克的屠宰猪生长性能、胴体组成及肉质的影响
J Anim Sci. 2008 Aug;86(8):1850-60. doi: 10.2527/jas.2007-0155. Epub 2008 Apr 25.
7
Effect of dietary magnolia bark extract supplementation in finishing pigs on the oxidative stability of meat.日粮添加厚朴树皮提取物对育肥猪猪肉氧化稳定性的影响。
J Anim Sci Biotechnol. 2022 Aug 8;13(1):89. doi: 10.1186/s40104-022-00740-0.
8
Impact of dietary fat source and concentration and daily fatty acid intake on the composition of carcass fat and iodine value sampled in three regions of the pork carcass.日粮脂肪来源、浓度及每日脂肪酸摄入量对猪胴体三个部位采样的胴体脂肪组成和碘值的影响。
J Anim Sci. 2014 Dec;92(12):5485-95. doi: 10.2527/jas.2014-7567. Epub 2014 Nov 3.
9
Effects of increasing co-product inclusion and reducing dietary protein on growth performance, carcass characteristics, and jowl fatty acid profile of growing-finishing pigs.增加副产物的添加量和降低饲粮蛋白质对生长育肥猪生长性能、胴体特性和颊脂脂肪酸谱的影响。
J Anim Sci. 2013 May;91(5):2178-91. doi: 10.2527/jas.2011-5065. Epub 2013 Mar 5.
10
Low Dietary n-6/n-3 PUFA Ratio Regulates Meat Quality, Reduces Triglyceride Content, and Improves Fatty Acid Composition of Meat in Heigai Pigs.低膳食n-6/n-3多不饱和脂肪酸比例调节黑盖猪的肉质、降低甘油三酯含量并改善肉的脂肪酸组成。
Animals (Basel). 2020 Sep 1;10(9):1543. doi: 10.3390/ani10091543.

引用本文的文献

1
The Effects of Olive Cake and Linseed Dietary Supplementation on the Performance, Carcass Traits, and Oxidative Stability of Beef from Young Podolian Bulls.添加橄榄饼和亚麻籽对青年波多利牛牛肉性能、胴体性状及氧化稳定性的影响
Animals (Basel). 2025 Jul 25;15(15):2188. doi: 10.3390/ani15152188.
2
Effects of Bergamot ( Risso) By-Product on Growth Performance and Meat Quality of Growing Rabbits.佛手柑(里索)副产品对生长兔生长性能和肉质的影响。
Foods. 2024 Aug 20;13(16):2611. doi: 10.3390/foods13162611.
3
Effects of feeding bergamot pulp and olive leaves on performance and meat quality in Apulo-Calabrese pigs.

本文引用的文献

1
Effect of different levels of organic zinc supplementation on pork quality.不同水平有机锌补充对猪肉品质的影响。
Meat Sci. 2022 Apr;186:108731. doi: 10.1016/j.meatsci.2021.108731. Epub 2022 Jan 3.
2
Effect of feeding pigs with bergamot by-product on fatty acid composition and oxidative stability of meat and salami.给猪喂食佛手柑副产物对肉和萨拉米香肠脂肪酸组成和氧化稳定性的影响。
Meat Sci. 2022 Jan;183:108662. doi: 10.1016/j.meatsci.2021.108662. Epub 2021 Aug 26.
3
Carotenoids and Liposoluble Vitamins in the Plasma and Tissues of Light Lambs Given Different Maternal Feedings and Fattening Concentrates.
喂食佛手柑果肉和橄榄叶对阿普利亚-卡拉布里亚猪生产性能和肉质的影响。
Vet Anim Sci. 2024 Jan 21;23:100336. doi: 10.1016/j.vas.2024.100336. eCollection 2024 Mar.
给予不同母羊饲料和育肥精料的轻体重羔羊血浆和组织中的类胡萝卜素及脂溶性维生素
Animals (Basel). 2020 Oct 5;10(10):1813. doi: 10.3390/ani10101813.
4
Feeding lambs with silage mixtures of grass, sainfoin and red clover improves meat oxidative stability under high oxidative challenge.用草、红三叶草和紫云英青贮混合物喂养羔羊可提高其在高氧化应激下肉的氧化稳定性。
Meat Sci. 2019 Oct;156:59-67. doi: 10.1016/j.meatsci.2019.05.020. Epub 2019 May 19.
5
Assessment of lipid peroxidation by measuring malondialdehyde (MDA) and relatives in biological samples: Analytical and biological challenges.通过测量生物样品中的丙二醛(MDA)及相关物质评估脂质过氧化:分析和生物学挑战。
Anal Biochem. 2017 May 1;524:13-30. doi: 10.1016/j.ab.2016.10.021. Epub 2016 Oct 24.
6
Vitamin E is the major contributor to the antioxidant capacity in lambs fed whole dried citrus pulp.维生素E是饲喂全干柑橘果肉的羔羊抗氧化能力的主要贡献者。
Animal. 2017 Mar;11(3):411-417. doi: 10.1017/S1751731116001683. Epub 2016 Aug 11.
7
The Influence of Naringin or Hesperidin Dietary Supplementation on Broiler Meat Quality and Oxidative Stability.柚皮苷或橙皮苷膳食补充剂对肉鸡肌肉品质和氧化稳定性的影响
PLoS One. 2015 Oct 28;10(10):e0141652. doi: 10.1371/journal.pone.0141652. eCollection 2015.
8
In vitro effect of bergamot (Citrus bergamia) juice against cagA-positive and-negative clinical isolates of Helicobacter pylori.佛手柑(Citrus bergamia)汁对幽门螺杆菌cagA阳性和阴性临床分离株的体外作用。
BMC Complement Altern Med. 2015 Jul 30;15:256. doi: 10.1186/s12906-015-0769-2.
9
Eicosapentaenoic acid and docosapentaenoic acid monoglycerides are more potent than docosahexaenoic acid monoglyceride to resolve inflammation in a rheumatoid arthritis model.在类风湿性关节炎模型中,二十碳五烯酸和二十二碳五烯酸单甘油酯在消除炎症方面比二十二碳六烯酸单甘油酯更有效。
Arthritis Res Ther. 2015 May 29;17:142. doi: 10.1186/s13075-015-0653-y.
10
Long-chain omega-3 fatty acids and the brain: a review of the independent and shared effects of EPA, DPA and DHA.长链ω-3脂肪酸与大脑:对二十碳五烯酸(EPA)、二十二碳五烯酸(DPA)和二十二碳六烯酸(DHA)的独立作用和共同作用的综述
Front Aging Neurosci. 2015 Apr 21;7:52. doi: 10.3389/fnagi.2015.00052. eCollection 2015.