• 文献检索
  • 文档翻译
  • 深度研究
  • 学术资讯
  • Suppr Zotero 插件Zotero 插件
  • 邀请有礼
  • 套餐&价格
  • 历史记录
应用&插件
Suppr Zotero 插件Zotero 插件浏览器插件Mac 客户端Windows 客户端微信小程序
定价
高级版会员购买积分包购买API积分包
服务
文献检索文档翻译深度研究API 文档MCP 服务
关于我们
关于 Suppr公司介绍联系我们用户协议隐私条款
关注我们

Suppr 超能文献

核心技术专利:CN118964589B侵权必究
粤ICP备2023148730 号-1Suppr @ 2026

文献检索

告别复杂PubMed语法,用中文像聊天一样搜索,搜遍4000万医学文献。AI智能推荐,让科研检索更轻松。

立即免费搜索

文件翻译

保留排版,准确专业,支持PDF/Word/PPT等文件格式,支持 12+语言互译。

免费翻译文档

深度研究

AI帮你快速写综述,25分钟生成高质量综述,智能提取关键信息,辅助科研写作。

立即免费体验

高侵袭性软组织肉瘤中癌/睾丸抗原NY-ESO-1和MAGE-A4的临床病理评估

Clinicopathological Assessment of Cancer/Testis Antigens NY-ESO-1 and MAGE-A4 in Highly Aggressive Soft Tissue Sarcomas.

作者信息

Hashimoto Kazuhiko, Nishimura Shunji, Ito Tomohiko, Akagi Masao

机构信息

Department of Orthopedic Surgery, Kindai University Hospital, Osakasayama 589-8511, Japan.

出版信息

Diagnostics (Basel). 2022 Mar 17;12(3):733. doi: 10.3390/diagnostics12030733.

DOI:10.3390/diagnostics12030733
PMID:35328286
原文链接:https://pmc.ncbi.nlm.nih.gov/articles/PMC8946957/
Abstract

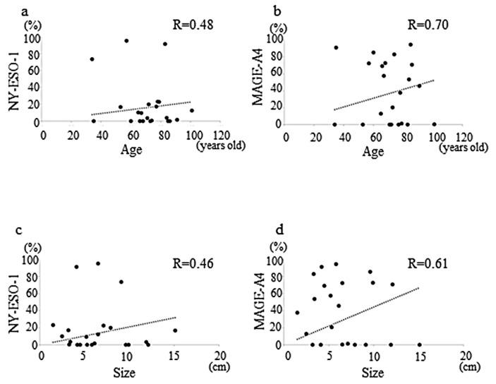
We aimed to investigate the clinical significance of the expression of NY-ESO-1 and MAGE-A4 in soft tissue sarcoma (STS). Immunostaining for NY-ESO-1, MAGE-A4, and Ki67 was performed using pathological specimens harvested from 10 undifferentiated pleomorphic sarcoma (UPS), nine myxofibrosarcoma (MFS), and three malignant peripheral nerve sheath tumor (MPNST) patients treated at our hospital. We examined the correlation of NY-ESO-1 and MAGE-A4 expression levels with tumor size, histological grade, and SUVmax values. Positive cell rates of various markers were also compared between patients in remission and those who were not in remission. The rates of cases positive for NY-ESO, MAGE-A4, and Ki67 were 50%, 63.6%, and 90.9%, respectively. The average rates of cells positive for NY-ESO, MAGE-A4, and Ki67 in all STS types were 18.2%, 39.4%, and 16.8%, respectively. A positive correlation was observed between rates of cells positive for NY-ESO-1 and MAGE-A4 and between NY-ESO-1 and MAGE-A4 expression levels and clinical features. There was no significant difference in the positive cell rate of NY-ESO-1 or MAGE-A4 between remission and non-remission cases. Our results suggest that NY-ESO-1 and MAGE-A4 expression may be useful for the diagnosis and prognostication of UPS, MFS, and MPNST.

摘要

我们旨在研究NY-ESO-1和MAGE-A4在软组织肉瘤(STS)中的表达的临床意义。使用从我院治疗的10例未分化多形性肉瘤(UPS)、9例黏液纤维肉瘤(MFS)和3例恶性外周神经鞘瘤(MPNST)患者获取的病理标本,对NY-ESO-1、MAGE-A4和Ki67进行免疫染色。我们检测了NY-ESO-1和MAGE-A4表达水平与肿瘤大小、组织学分级和SUVmax值之间的相关性。还比较了缓解期患者和未缓解期患者各种标志物的阳性细胞率。NY-ESO、MAGE-A4和Ki67的阳性病例率分别为50%、63.6%和90.9%。所有STS类型中NY-ESO、MAGE-A4和Ki67的平均阳性细胞率分别为18.2%、39.4%和16.8%。观察到NY-ESO-1和MAGE-A4的阳性细胞率之间以及NY-ESO-1和MAGE-A4的表达水平与临床特征之间存在正相关。缓解期和未缓解期病例中NY-ESO-1或MAGE-A4的阳性细胞率无显著差异。我们的结果表明,NY-ESO-1和MAGE-A4的表达可能有助于UPS、MFS和MPNST的诊断和预后评估。

https://cdn.ncbi.nlm.nih.gov/pmc/blobs/ee41/8946957/84952be07dbf/diagnostics-12-00733-g004.jpg
https://cdn.ncbi.nlm.nih.gov/pmc/blobs/ee41/8946957/c61bc513eb4a/diagnostics-12-00733-g001.jpg
https://cdn.ncbi.nlm.nih.gov/pmc/blobs/ee41/8946957/15ac23db6f75/diagnostics-12-00733-g002.jpg
https://cdn.ncbi.nlm.nih.gov/pmc/blobs/ee41/8946957/7ee2fc25746d/diagnostics-12-00733-g003.jpg
https://cdn.ncbi.nlm.nih.gov/pmc/blobs/ee41/8946957/84952be07dbf/diagnostics-12-00733-g004.jpg
https://cdn.ncbi.nlm.nih.gov/pmc/blobs/ee41/8946957/c61bc513eb4a/diagnostics-12-00733-g001.jpg
https://cdn.ncbi.nlm.nih.gov/pmc/blobs/ee41/8946957/15ac23db6f75/diagnostics-12-00733-g002.jpg
https://cdn.ncbi.nlm.nih.gov/pmc/blobs/ee41/8946957/7ee2fc25746d/diagnostics-12-00733-g003.jpg
https://cdn.ncbi.nlm.nih.gov/pmc/blobs/ee41/8946957/84952be07dbf/diagnostics-12-00733-g004.jpg

相似文献

1
Clinicopathological Assessment of Cancer/Testis Antigens NY-ESO-1 and MAGE-A4 in Highly Aggressive Soft Tissue Sarcomas.高侵袭性软组织肉瘤中癌/睾丸抗原NY-ESO-1和MAGE-A4的临床病理评估
Diagnostics (Basel). 2022 Mar 17;12(3):733. doi: 10.3390/diagnostics12030733.
2
Immunohistochemical expression and clinicopathological assessment of PD-1, PD-L1, NY-ESO-1, and MAGE-A4 expression in highly aggressive soft tissue sarcomas.高侵袭性软组织肉瘤中 PD-1、PD-L1、NY-ESO-1 和 MAGE-A4 的免疫组化表达及临床病理评估。
Eur J Histochem. 2022 Apr 22;66(2):3393. doi: 10.4081/ejh.2022.3393.
3
Immunohistochemical expression and clinicopathological assessment of the cancer testis antigens NY-ESO-1 and MAGE-A4 in high-grade soft-tissue sarcoma.癌睾丸抗原NY-ESO-1和MAGE-A4在高级别软组织肉瘤中的免疫组化表达及临床病理评估
Oncol Lett. 2019 Apr;17(4):3937-3943. doi: 10.3892/ol.2019.10044. Epub 2019 Feb 14.
4
Clinicopathological assessment of cancer/testis antigens NY‑ESO‑1 and MAGE‑A4 in osteosarcoma.骨肉瘤中肿瘤/睾丸抗原 NY-ESO-1 和 MAGE-A4 的临床病理评估。
Eur J Histochem. 2022 Jun 23;66(3):3377. doi: 10.4081/ejh.2022.3377.
5
Involvement of NY-ESO-1 and MAGE-A4 in the pathogenesis of desmoid tumors.NY-ESO-1 和 MAGE-A4 参与韧带样瘤的发病机制。
Medicine (Baltimore). 2023 Jun 2;102(22):e33908. doi: 10.1097/MD.0000000000033908.
6
Limited expression of cancer-testis antigens in renal cell carcinoma patients.肾细胞癌患者中癌胚抗原的表达有限。
Mol Clin Oncol. 2013 Mar;1(2):326-330. doi: 10.3892/mco.2012.40. Epub 2012 Nov 19.
7
Expression and possible prognostic role of MAGE-A4, NY-ESO-1, and HER-2 antigens in women with relapsing invasive ductal breast cancer: retrospective immunohistochemical study.MAGE - A4、NY - ESO - 1和HER - 2抗原在复发性浸润性导管癌女性中的表达及可能的预后作用:回顾性免疫组化研究
Croat Med J. 2006 Feb;47(1):32-41.
8
MAGE-A4, NY-ESO-1 and SAGE mRNA expression rates and co-expression relationships in solid tumours.实体瘤中 MAGE-A4、NY-ESO-1 和 SAGE mRNA 的表达率及共表达关系。
BMC Cancer. 2020 Jun 29;20(1):606. doi: 10.1186/s12885-020-07098-4.
9
Myeloid-derived suppressor cells infiltration in non-small-cell lung cancer tumor and MAGE-A4 and NY-ESO-1 expression.髓源性抑制细胞在非小细胞肺癌肿瘤中的浸润以及MAGE-A4和NY-ESO-1的表达。
Oncol Lett. 2020 Jun;19(6):3982-3992. doi: 10.3892/ol.2020.11497. Epub 2020 Mar 31.
10
Expression of the MAGE-A4 and NY-ESO-1 cancer-testis antigens and T cell infiltration in non-small cell lung carcinoma and their prognostic significance.MAGE-A4和NY-ESO-1癌胚抗原的表达及T细胞浸润在非小细胞肺癌中的情况及其预后意义。
Int J Oncol. 2006 May;28(5):1089-98.

引用本文的文献

1
Immunotherapy in the Treatment of Undifferentiated Pleomorphic Sarcoma and Myxofibrosarcoma.免疫疗法在未分化多形性肉瘤和黏液纤维肉瘤治疗中的应用
Curr Treat Options Oncol. 2025 Sep 1. doi: 10.1007/s11864-025-01349-x.
2
Expression of Cancer-Testis Antigens MAGE-A1, MAGE-A4, NY-ESO-1 and PRAME in Bone and Soft Tissue Sarcomas: The Experience From a Single Center in China.癌-睾丸抗原MAGE-A1、MAGE-A4、NY-ESO-1和PRAME在骨与软组织肉瘤中的表达:来自中国单中心的经验
Cancer Med. 2025 Apr;14(7):e70750. doi: 10.1002/cam4.70750.
3
Digging Through the Complexities of Immunological Approaches in Emerging Osteosarcoma Therapeutics: A Comprehensive Narrative Review with Updated Clinical Trials.

本文引用的文献

1
Characterization of PD-1/PD-L1 immune checkpoint expression in soft tissue sarcomas.PD-1/PD-L1 免疫检查点在软组织肉瘤中的表达特征。
Eur J Histochem. 2021 Jul 2;65(3):3203. doi: 10.4081/ejh.2021.3203.
2
Evaluation of the Predictive Potential of 18F-FDG PET and DWI Data Sets for Relevant Prognostic Parameters of Primary Soft-Tissue Sarcomas.评估18F-FDG PET和DWI数据集对原发性软组织肉瘤相关预后参数的预测潜力。
Cancers (Basel). 2021 Jun 1;13(11):2753. doi: 10.3390/cancers13112753.
3
Role of 18F-FDG PET/computed tomography in prognostication and management of malignant peripheral nerve sheath tumors.
深入探究新兴骨肉瘤治疗中免疫疗法的复杂性:一项包含最新临床试验的全面叙述性综述
Biomedicines. 2025 Mar 8;13(3):664. doi: 10.3390/biomedicines13030664.
4
Tumor-to-tumor metastases: systematic review and meta-analysis of 685 reported cases.肿瘤间转移:对685例报告病例的系统评价和荟萃分析
Clin Exp Metastasis. 2025 Jan 31;42(2):14. doi: 10.1007/s10585-025-10332-7.
5
"Add More Arrows to Your Quiver": The Role of Adding Another Chemotherapy Drug to Fluoropyrimidine and Long Term Radiotherapy in Locally Advanced Rectal Cancer: A Systematic Review and Meta-Analysis.“为你的箭袋增添更多箭矢”:在氟尿嘧啶基础上加用另一种化疗药物及长期放疗在局部晚期直肠癌治疗中的作用:一项系统评价与荟萃分析
J Clin Med. 2025 Jan 8;14(2):345. doi: 10.3390/jcm14020345.
6
Exosome applications for the diagnosis and treatment of pancreatic ductal adenocarcinoma: An update (Review).外泌体在胰腺导管腺癌的诊断和治疗中的应用:最新进展(综述)。
Oncol Rep. 2025 Jan;53(1). doi: 10.3892/or.2024.8846. Epub 2024 Nov 22.
7
Exploring the landscape of immunotherapy approaches in sarcomas.探索肉瘤免疫治疗方法的前景。
Front Oncol. 2023 Jan 9;12:1069963. doi: 10.3389/fonc.2022.1069963. eCollection 2022.
8
Long-Term Efficacy and Safety of Anlotinib as a Monotherapy and Combined Therapy for Advanced Sarcoma.安罗替尼单药及联合治疗晚期肉瘤的长期疗效与安全性
Onco Targets Ther. 2022 Jun 14;15:669-679. doi: 10.2147/OTT.S365506. eCollection 2022.
18F-FDG PET/CT 在恶性外周神经鞘瘤的预后和治疗中的作用。
Nucl Med Commun. 2020 Sep;41(9):924-932. doi: 10.1097/MNM.0000000000001237.
4
MAGE-A4, NY-ESO-1 and SAGE mRNA expression rates and co-expression relationships in solid tumours.实体瘤中 MAGE-A4、NY-ESO-1 和 SAGE mRNA 的表达率及共表达关系。
BMC Cancer. 2020 Jun 29;20(1):606. doi: 10.1186/s12885-020-07098-4.
5
Undifferentiated Pleomorphic Sarcoma: Long-Term Follow-Up from a Large Institution.未分化多形性肉瘤:来自大型机构的长期随访
Cancer Manag Res. 2019 Nov 27;11:10001-10009. doi: 10.2147/CMAR.S226896. eCollection 2019.
6
A nationwide cohort study on treatment and survival in patients with malignant peripheral nerve sheath tumours.一项全国性队列研究:恶性外周神经鞘瘤患者的治疗和生存情况。
Eur J Cancer. 2020 Jan;124:77-87. doi: 10.1016/j.ejca.2019.10.014. Epub 2019 Nov 21.
7
Immunohistochemical expression and clinicopathological assessment of the cancer testis antigens NY-ESO-1 and MAGE-A4 in high-grade soft-tissue sarcoma.癌睾丸抗原NY-ESO-1和MAGE-A4在高级别软组织肉瘤中的免疫组化表达及临床病理评估
Oncol Lett. 2019 Apr;17(4):3937-3943. doi: 10.3892/ol.2019.10044. Epub 2019 Feb 14.
8
Prognostic Factors for Patients With Undifferentiated High Grade Pleomorphic Sarcoma of the Spine.脊柱未分化高级别多形性肉瘤患者的预后因素。
Spine (Phila Pa 1976). 2019 May 1;44(9):E539-E548. doi: 10.1097/BRS.0000000000002932.
9
NY-ESO-1 Based Immunotherapy of Cancer: Current Perspectives.基于 NY-ESO-1 的癌症免疫治疗:当前观点。
Front Immunol. 2018 May 1;9:947. doi: 10.3389/fimmu.2018.00947. eCollection 2018.
10
Clinicopathological features and prognosis of malignant peripheral nerve sheath tumor: a retrospective study of 159 cases from 1999 to 2016.恶性周围神经鞘膜瘤的临床病理特征及预后:一项对1999年至2016年159例病例的回顾性研究
Oncotarget. 2017 Jul 4;8(62):104785-104795. doi: 10.18632/oncotarget.18975. eCollection 2017 Dec 1.