• 文献检索
  • 文档翻译
  • 深度研究
  • 学术资讯
  • Suppr Zotero 插件Zotero 插件
  • 邀请有礼
  • 套餐&价格
  • 历史记录
应用&插件
Suppr Zotero 插件Zotero 插件浏览器插件Mac 客户端Windows 客户端微信小程序
定价
高级版会员购买积分包购买API积分包
服务
文献检索文档翻译深度研究API 文档MCP 服务
关于我们
关于 Suppr公司介绍联系我们用户协议隐私条款
关注我们

Suppr 超能文献

核心技术专利:CN118964589B侵权必究
粤ICP备2023148730 号-1Suppr @ 2026

文献检索

告别复杂PubMed语法,用中文像聊天一样搜索,搜遍4000万医学文献。AI智能推荐,让科研检索更轻松。

立即免费搜索

文件翻译

保留排版,准确专业,支持PDF/Word/PPT等文件格式,支持 12+语言互译。

免费翻译文档

深度研究

AI帮你快速写综述,25分钟生成高质量综述,智能提取关键信息,辅助科研写作。

立即免费体验

墨西哥蒙特雷一种与死亡率相关的新的空气质量与热指数综合指标

A New Combined Air Quality and Heat Index in Relation to Mortality in Monterrey, Mexico.

作者信息

Fever Shayna K, Kahl Jonathan D W, Kalkbrenner Amy E, Cerón Bretón Rosa M, Cerón Bretón Julia G

机构信息

Atmospheric Science Program, University of Wisconsin-Milwaukee, Milwaukee, WI 53211, USA.

Zilber School of Public Health, University of Wisconsin-Milwaukee, Milwaukee, WI 53211, USA.

出版信息

Int J Environ Res Public Health. 2022 Mar 11;19(6):3299. doi: 10.3390/ijerph19063299.

DOI:10.3390/ijerph19063299
PMID:35328987
原文链接:https://pmc.ncbi.nlm.nih.gov/articles/PMC8948654/
Abstract

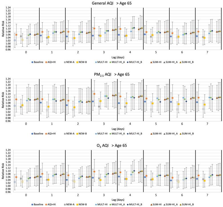
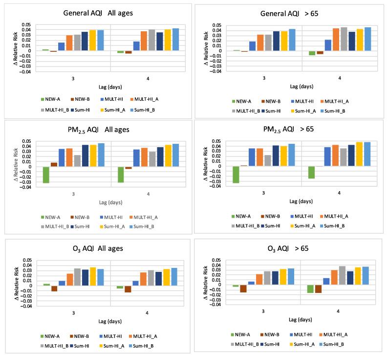
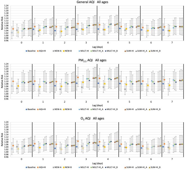
The negative synergistic effects of air pollution and sensible heat on public health have been noted in numerous studies. While separate, simplified, and public-facing indices have been developed to communicate the risks of unhealthful levels of air pollution and extreme heat, a combined index containing elements of both has rarely been investigated. Utilizing air quality, meteorology, and mortality data in Monterrey, Mexico, we investigated whether the association between the air quality index (AQI) and mortality was improved by considering elements of the heat index (HI). We created combined indices featuring additive, multiplicative, and either/or formulations and evaluated their relationship to mortality. Results showed increased associations with mortality for models employing indices that combined the AQI and the HI in an additive or multiplicative manner, with increases in the interquartile relative risk of 3-5% over that resulting from models employing the AQI alone.

摘要

空气污染和显热对公众健康的负面协同效应已在众多研究中得到关注。虽然已开发出单独的、简化的且面向公众的指数来传达空气污染不健康水平和极端高温的风险,但很少有人研究包含两者要素的综合指数。利用墨西哥蒙特雷的空气质量、气象和死亡率数据,我们研究了考虑热指数(HI)要素是否能改善空气质量指数(AQI)与死亡率之间的关联。我们创建了具有相加、相乘以及“或”关系公式的综合指数,并评估了它们与死亡率的关系。结果表明,采用以相加或相乘方式结合AQI和HI的指数的模型与死亡率的关联增加,四分位数相对风险比仅采用AQI的模型增加了3 - 5%。

https://cdn.ncbi.nlm.nih.gov/pmc/blobs/6a57/8948654/851850adee2b/ijerph-19-03299-g006.jpg
https://cdn.ncbi.nlm.nih.gov/pmc/blobs/6a57/8948654/7d38c5021bfb/ijerph-19-03299-g001.jpg
https://cdn.ncbi.nlm.nih.gov/pmc/blobs/6a57/8948654/e52722a3aa69/ijerph-19-03299-g002.jpg
https://cdn.ncbi.nlm.nih.gov/pmc/blobs/6a57/8948654/6b65c98f78c1/ijerph-19-03299-g003.jpg
https://cdn.ncbi.nlm.nih.gov/pmc/blobs/6a57/8948654/bbb32c37ab0e/ijerph-19-03299-g004.jpg
https://cdn.ncbi.nlm.nih.gov/pmc/blobs/6a57/8948654/aa7db1251aee/ijerph-19-03299-g005.jpg
https://cdn.ncbi.nlm.nih.gov/pmc/blobs/6a57/8948654/851850adee2b/ijerph-19-03299-g006.jpg
https://cdn.ncbi.nlm.nih.gov/pmc/blobs/6a57/8948654/7d38c5021bfb/ijerph-19-03299-g001.jpg
https://cdn.ncbi.nlm.nih.gov/pmc/blobs/6a57/8948654/e52722a3aa69/ijerph-19-03299-g002.jpg
https://cdn.ncbi.nlm.nih.gov/pmc/blobs/6a57/8948654/6b65c98f78c1/ijerph-19-03299-g003.jpg
https://cdn.ncbi.nlm.nih.gov/pmc/blobs/6a57/8948654/bbb32c37ab0e/ijerph-19-03299-g004.jpg
https://cdn.ncbi.nlm.nih.gov/pmc/blobs/6a57/8948654/aa7db1251aee/ijerph-19-03299-g005.jpg
https://cdn.ncbi.nlm.nih.gov/pmc/blobs/6a57/8948654/851850adee2b/ijerph-19-03299-g006.jpg

相似文献

1
A New Combined Air Quality and Heat Index in Relation to Mortality in Monterrey, Mexico.墨西哥蒙特雷一种与死亡率相关的新的空气质量与热指数综合指标
Int J Environ Res Public Health. 2022 Mar 11;19(6):3299. doi: 10.3390/ijerph19063299.
2
Multicity study of air pollution and mortality in Latin America (the ESCALA study).拉丁美洲空气污染与死亡率的多城市研究(ESCALA研究)。
Res Rep Health Eff Inst. 2012 Oct(171):5-86.
3
Characterizing multi-pollutant air pollution in China: Comparison of three air quality indices.中国多污染物空气污染特征分析:三种空气质量指数比较。
Environ Int. 2015 Nov;84:17-25. doi: 10.1016/j.envint.2015.06.014. Epub 2015 Jul 18.
4
Short-Term Effects of Atmospheric Pollution on Daily Mortality and Their Modification by Increased Temperatures Associated with a Climatic Change Scenario in Northern Mexico.墨西哥北部大气污染对每日死亡率的短期影响及其对气候变化情景下气温升高的修正。
Int J Environ Res Public Health. 2020 Dec 10;17(24):9219. doi: 10.3390/ijerph17249219.
5
Impact of control for air pollution and respiratory epidemics on the estimated associations of temperature and daily mortality.空气污染和呼吸道传染病控制对温度与每日死亡率估计关联的影响。
Int J Biometeorol. 2005 Nov;50(2):121-9. doi: 10.1007/s00484-005-0269-z. Epub 2005 May 24.
6
Part 2. Association of daily mortality with ambient air pollution, and effect modification by extremely high temperature in Wuhan, China.第二部分. 中国武汉每日死亡率与环境空气污染的关联以及极高温度的效应修正
Res Rep Health Eff Inst. 2010 Nov(154):91-217.
7
Interaction Effects of Air Pollution and Climatic Factors on Circulatory and Respiratory Mortality in Xi'an, China between 2014 and 2016.2014 年至 2016 年期间,中国西安地区空气污染与气候因素对循环系统和呼吸系统死亡率的交互影响。
Int J Environ Res Public Health. 2020 Dec 3;17(23):9027. doi: 10.3390/ijerph17239027.
8
Short-term associations between daily mortality and ambient particulate matter, nitrogen dioxide, and the air quality index in a Middle Eastern megacity.短期内每日死亡率与环境颗粒物、二氧化氮和中东大城市空气质量指数之间的关系。
Environ Pollut. 2019 Nov;254(Pt B):113121. doi: 10.1016/j.envpol.2019.113121. Epub 2019 Aug 28.
9
Short-Term Effects of Heat on Mortality and Effect Modification by Air Pollution in 25 Italian Cities.短期热暴露对 25 个意大利城市死亡率的影响及其与空气污染的交互作用
Int J Environ Res Public Health. 2018 Aug 17;15(8):1771. doi: 10.3390/ijerph15081771.
10
The construction and validity analysis of AQHI based on mortality risk: A case study in Guangzhou, China.基于死亡率风险的空气质量指数(AQHI)构建与有效性分析:以中国广州为例。
Environ Pollut. 2017 Jan;220(Pt A):487-494. doi: 10.1016/j.envpol.2016.09.091. Epub 2016 Oct 2.

本文引用的文献

1
The burden of heat-related mortality attributable to recent human-induced climate change.近期人为引起的气候变化导致的与热相关的死亡负担。
Nat Clim Chang. 2021 Jun;11(6):492-500. doi: 10.1038/s41558-021-01058-x. Epub 2021 May 31.
2
Analysis of outdoor thermal comfort and air pollution under the ınfluence of urban morphology in cold-climate cities: Erzurum/Turkey.寒冷气候城市中城市形态影响下的户外热舒适与空气污染分析:土耳其埃尔祖鲁姆。
Environ Sci Pollut Res Int. 2021 Dec;28(45):64068-64083. doi: 10.1007/s11356-021-14082-3. Epub 2021 Apr 24.
3
Short-Term Effects of Atmospheric Pollution on Daily Mortality and Their Modification by Increased Temperatures Associated with a Climatic Change Scenario in Northern Mexico.
墨西哥北部大气污染对每日死亡率的短期影响及其对气候变化情景下气温升高的修正。
Int J Environ Res Public Health. 2020 Dec 10;17(24):9219. doi: 10.3390/ijerph17249219.
4
A review of current air quality indexes and improvements under the multi-contaminant air pollution exposure.当前空气质量指数综述及其在多污染物空气污染暴露下的改善。
J Environ Manage. 2021 Feb 1;279:111681. doi: 10.1016/j.jenvman.2020.111681. Epub 2020 Dec 13.
5
The Interactive Effects between Particulate Matter and Heat Waves on Circulatory Mortality in Fuzhou, China.中国福州颗粒物与热浪对循环系统死亡率的交互影响。
Int J Environ Res Public Health. 2020 Aug 18;17(16):5979. doi: 10.3390/ijerph17165979.
6
Short term association between ozone and mortality: global two stage time series study in 406 locations in 20 countries.臭氧与死亡率的短期关联:20 个国家 406 个地点的全球两阶段时间序列研究。
BMJ. 2020 Feb 10;368:m108. doi: 10.1136/bmj.m108.
7
Short-term associations between daily mortality and ambient particulate matter, nitrogen dioxide, and the air quality index in a Middle Eastern megacity.短期内每日死亡率与环境颗粒物、二氧化氮和中东大城市空气质量指数之间的关系。
Environ Pollut. 2019 Nov;254(Pt B):113121. doi: 10.1016/j.envpol.2019.113121. Epub 2019 Aug 28.
8
Spatial differences in ambient coarse and fine particles in the Monterrey metropolitan area, Mexico: Implications for source contribution.墨西哥蒙特雷大都市区环境粗颗粒物和细颗粒物的空间差异:对来源贡献的影响。
J Air Waste Manag Assoc. 2019 May;69(5):548-564. doi: 10.1080/10962247.2018.1549121. Epub 2019 Jan 22.
9
Ambient air pollution and thrombosis.大气污染与血栓形成。
Part Fibre Toxicol. 2018 Jan 3;15(1):1. doi: 10.1186/s12989-017-0237-x.
10
Does temperature modify the effect of PM on mortality? A systematic review and meta-analysis.温度会改变细颗粒物对死亡率的影响吗?一项系统评价和荟萃分析。
Environ Pollut. 2017 May;224:326-335. doi: 10.1016/j.envpol.2017.02.012. Epub 2017 Feb 16.