• 文献检索
  • 文档翻译
  • 深度研究
  • 学术资讯
  • Suppr Zotero 插件Zotero 插件
  • 邀请有礼
  • 套餐&价格
  • 历史记录
应用&插件
Suppr Zotero 插件Zotero 插件浏览器插件Mac 客户端Windows 客户端微信小程序
定价
高级版会员购买积分包购买API积分包
服务
文献检索文档翻译深度研究API 文档MCP 服务
关于我们
关于 Suppr公司介绍联系我们用户协议隐私条款
关注我们

Suppr 超能文献

核心技术专利:CN118964589B侵权必究
粤ICP备2023148730 号-1Suppr @ 2026

文献检索

告别复杂PubMed语法,用中文像聊天一样搜索,搜遍4000万医学文献。AI智能推荐,让科研检索更轻松。

立即免费搜索

文件翻译

保留排版,准确专业,支持PDF/Word/PPT等文件格式,支持 12+语言互译。

免费翻译文档

深度研究

AI帮你快速写综述,25分钟生成高质量综述,智能提取关键信息,辅助科研写作。

立即免费体验

亚临界回火温度对高强度高韧性中锰钢组织演变及力学性能的影响

Effect of Intercritical Tempering Temperature on Microstructure Evolution and Mechanical Properties of High Strength and Toughness Medium Manganese Steel.

作者信息

Liang Xiaokai, Fu Hang, Cui Mei, Liu Gang

机构信息

Department of Structural Steels, Central Iron and Steel Research Institute Company Limited, Beijing 100081, China.

NCS Testing Technology Co., Ltd., Beijing 100081, China.

出版信息

Materials (Basel). 2022 Mar 15;15(6):2162. doi: 10.3390/ma15062162.

DOI:10.3390/ma15062162
PMID:35329620
原文链接:https://pmc.ncbi.nlm.nih.gov/articles/PMC8949609/
Abstract

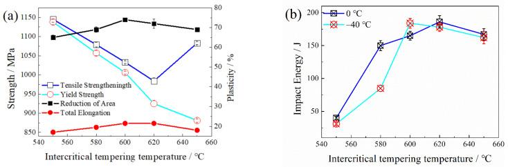
The effect of intercritical tempering temperature (TT) on the microstructure evolution and mechanical properties of 3.6Mn medium manganese steel, which contained martensite and austenite, was investigated by X-ray diffraction, electron backscattering diffraction and transmission electron microscopy, as well as Thermo-Calc calculation. The results showed that the volume fraction of reversed austenite (RA) increased firstly and then decreased with the increasing TT in the range of 550~650 °C. When the TT was below 620 °C, lath-like RA with good stability was mainly displayed between martensite laths and its size is about 100 nm. When the TT was higher than 650 °C, larger-size and block RA was formed in the martensite block boundaries, and part of the RA transformed into fresh martensite during cooling. The yield strength and tensile strength of the experimental steels decreased gradually as the TT increased, but the tensile strength increased gradually with the formation of block RA and fresh martensite. Lath-like RA could significantly improve the toughness and plasticity with slight loss of yield strength, but block RA decreased slightly them.

摘要

通过X射线衍射、电子背散射衍射、透射电子显微镜以及Thermo-Calc计算,研究了临界区回火温度(TT)对含马氏体和奥氏体的3.6Mn中锰钢微观组织演变及力学性能的影响。结果表明,在550~650℃范围内,随着TT升高,逆转变奥氏体(RA)的体积分数先增加后降低。当TT低于620℃时,主要在马氏体板条间出现稳定性良好的板条状RA,其尺寸约为100nm。当TT高于650℃时,在马氏体块边界形成尺寸较大的块状RA,且部分RA在冷却过程中转变为新鲜马氏体。试验钢的屈服强度和抗拉强度随TT升高逐渐降低,但抗拉强度随着块状RA和新鲜马氏体的形成而逐渐增加。板条状RA能在屈服强度略有损失的情况下显著提高韧性和塑性,但块状RA会使其略有降低。

https://cdn.ncbi.nlm.nih.gov/pmc/blobs/f11b/8949609/5b3753986a2e/materials-15-02162-g010.jpg
https://cdn.ncbi.nlm.nih.gov/pmc/blobs/f11b/8949609/dd7a88e7a79d/materials-15-02162-g001.jpg
https://cdn.ncbi.nlm.nih.gov/pmc/blobs/f11b/8949609/c33460a79a17/materials-15-02162-g002.jpg
https://cdn.ncbi.nlm.nih.gov/pmc/blobs/f11b/8949609/941d9c77d2db/materials-15-02162-g003.jpg
https://cdn.ncbi.nlm.nih.gov/pmc/blobs/f11b/8949609/bbd21f7653af/materials-15-02162-g004.jpg
https://cdn.ncbi.nlm.nih.gov/pmc/blobs/f11b/8949609/89e688759d25/materials-15-02162-g005.jpg
https://cdn.ncbi.nlm.nih.gov/pmc/blobs/f11b/8949609/8c3e5cbce71d/materials-15-02162-g006.jpg
https://cdn.ncbi.nlm.nih.gov/pmc/blobs/f11b/8949609/51efee5e58ce/materials-15-02162-g007.jpg
https://cdn.ncbi.nlm.nih.gov/pmc/blobs/f11b/8949609/a3f16f94dde5/materials-15-02162-g008.jpg
https://cdn.ncbi.nlm.nih.gov/pmc/blobs/f11b/8949609/b593960243f6/materials-15-02162-g009.jpg
https://cdn.ncbi.nlm.nih.gov/pmc/blobs/f11b/8949609/5b3753986a2e/materials-15-02162-g010.jpg
https://cdn.ncbi.nlm.nih.gov/pmc/blobs/f11b/8949609/dd7a88e7a79d/materials-15-02162-g001.jpg
https://cdn.ncbi.nlm.nih.gov/pmc/blobs/f11b/8949609/c33460a79a17/materials-15-02162-g002.jpg
https://cdn.ncbi.nlm.nih.gov/pmc/blobs/f11b/8949609/941d9c77d2db/materials-15-02162-g003.jpg
https://cdn.ncbi.nlm.nih.gov/pmc/blobs/f11b/8949609/bbd21f7653af/materials-15-02162-g004.jpg
https://cdn.ncbi.nlm.nih.gov/pmc/blobs/f11b/8949609/89e688759d25/materials-15-02162-g005.jpg
https://cdn.ncbi.nlm.nih.gov/pmc/blobs/f11b/8949609/8c3e5cbce71d/materials-15-02162-g006.jpg
https://cdn.ncbi.nlm.nih.gov/pmc/blobs/f11b/8949609/51efee5e58ce/materials-15-02162-g007.jpg
https://cdn.ncbi.nlm.nih.gov/pmc/blobs/f11b/8949609/a3f16f94dde5/materials-15-02162-g008.jpg
https://cdn.ncbi.nlm.nih.gov/pmc/blobs/f11b/8949609/b593960243f6/materials-15-02162-g009.jpg
https://cdn.ncbi.nlm.nih.gov/pmc/blobs/f11b/8949609/5b3753986a2e/materials-15-02162-g010.jpg

相似文献

1
Effect of Intercritical Tempering Temperature on Microstructure Evolution and Mechanical Properties of High Strength and Toughness Medium Manganese Steel.亚临界回火温度对高强度高韧性中锰钢组织演变及力学性能的影响
Materials (Basel). 2022 Mar 15;15(6):2162. doi: 10.3390/ma15062162.
2
Effect of Cu on the Microstructure and Mechanical Properties of a Low-Carbon Martensitic Stainless Steel.铜对一种低碳马氏体不锈钢微观结构及力学性能的影响
Materials (Basel). 2022 Dec 11;15(24):8849. doi: 10.3390/ma15248849.
3
Effect of Reverse-phase Transformation Annealing Process on Microstructure and Mechanical Properties of Medium Manganese Steel.逆相变退火工艺对中锰钢组织和力学性能的影响
Materials (Basel). 2018 Sep 6;11(9):1633. doi: 10.3390/ma11091633.
4
Effect of Manganese on the Strength-Toughness Relationship of Low-Carbon Copper and Nickel-Containing Hull Steel.锰对低碳铜和含镍船体钢强度-韧性关系的影响
Materials (Basel). 2024 Feb 22;17(5):1012. doi: 10.3390/ma17051012.
5
Microstructure and Mechanical Properties of Low- and Medium-Carbon Si-Rich Low-Alloy Steels Processed by Austemping after Intercritical Annealing.亚临界退火后等温淬火处理的中低碳富硅低合金钢的微观结构与力学性能
Materials (Basel). 2022 Feb 3;15(3):1178. doi: 10.3390/ma15031178.
6
Dependence of mechanical properties on the phase composition of intercritically annealed medium-Mn steel as the main competitor of high-strength DP steels.作为高强度双相钢的主要竞争对手,亚临界退火中锰钢的力学性能对其相组成的依赖性。
Sci Rep. 2024 Apr 26;14(1):9567. doi: 10.1038/s41598-024-60295-0.
7
Effect of Intercritical Annealing Time on Microstructure Evolution and Mechanical Properties of Low Carbon Medium Manganese Steel Subjected to Multi-Step Heat Treatment Process.临界区退火时间对多步热处理工艺下低碳中锰钢微观组织演变及力学性能的影响
Materials (Basel). 2022 Mar 25;15(7):2425. doi: 10.3390/ma15072425.
8
Effects of Silicon Content and Tempering Temperature on the Microstructural Evolution and Mechanical Properties of HT-9 Steels.硅含量和回火温度对HT-9钢微观组织演变及力学性能的影响
Materials (Basel). 2020 Feb 21;13(4):972. doi: 10.3390/ma13040972.
9
Research on Hot Stamping-Carbon Partition-Intercritical Annealing Process of Medium Manganese Steel.中锰钢热冲压-碳分配-临界区退火工艺研究
Materials (Basel). 2023 Jan 6;16(2):576. doi: 10.3390/ma16020576.
10
Effects of Austenitizing Temperature on Tensile and Impact Properties of a Martensitic Stainless Steel Containing Metastable Retained Austenite.奥氏体化温度对含亚稳残余奥氏体的马氏体不锈钢拉伸性能和冲击性能的影响
Materials (Basel). 2021 Feb 20;14(4):1000. doi: 10.3390/ma14041000.

引用本文的文献

1
Superior Comprehensive Mechanical Properties of a Low-Carbon Medium Manganese Steel for Replacing AISI 4330 Steel in the Oil and Gas Industry.一种用于油气行业替代AISI 4330钢的低碳中锰钢的优异综合力学性能
Materials (Basel). 2023 Jan 4;16(2):490. doi: 10.3390/ma16020490.

本文引用的文献

1
High dislocation density-induced large ductility in deformed and partitioned steels.变形和分区钢中高位错密度诱导的高延展性。
Science. 2017 Sep 8;357(6355):1029-1032. doi: 10.1126/science.aan0177. Epub 2017 Aug 24.