Suppr超能文献

利用铜(II)氮杂环配合物对水中亚硫酸盐的荧光检测。

Fluorogenic Detection of Sulfite in Water by Using Copper(II) Azacyclam Complexes.

机构信息

Dipartimento di Chimica, Università di Pavia, Via Taramelli 12, 27100 Pavia, Italy.

Centro Grandi Strumenti, Università di Pavia, Via Bassi 21, 27100 Pavia, Italy.

出版信息

Molecules. 2022 Mar 12;27(6):1852. doi: 10.3390/molecules27061852.

Abstract

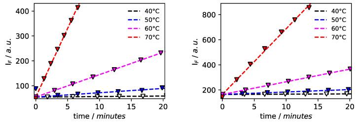
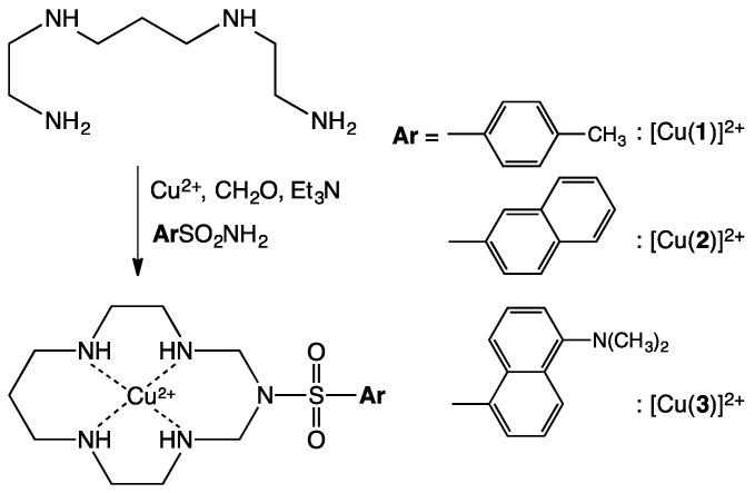
Copper(II) azacyclam complexes (azacyclam = 1,3,5,8,12-pentaazacyclotetradecane) containing naphthyl or dansyl subunits can be prepared by template synthesis involving proper sulfonamide derivatives as locking fragments. The macrocyclic complexes are very poorly emissive due to the fluorescence-quenching behavior displayed by Cu ions. However, the fluorescence can be recovered as a result of the decomposition of the complexes, which induces the release of free light-emitting subunits to the solution. This reaction takes place very slowly in neutral water but its rate is increased by the presence of sulfite. Therefore, [Cu(azacyclam)] derivatives have been investigated as simple chemical probes for the fluorogenic detection of sulfite both on laboratory and real samples. Preliminary tests performed on samples of white wine provided sulfite concentration values that are in agreement with those obtained by a standard analytical method.

摘要

铜(II)氮杂环十四烷配合物(氮杂环十四烷=1,3,5,8,12-五氮杂环十四烷)含有萘基或丹磺酰基部分,可以通过模板合成制备,涉及适当的磺酰胺衍生物作为锁定片段。由于 Cu 离子表现出荧光猝灭行为,大环配合物的发光性非常差。然而,由于配合物的分解,荧光可以恢复,这导致游离发光部分释放到溶液中。该反应在中性水中进行得非常缓慢,但亚硫酸根的存在会增加其速率。因此,[Cu(氮杂环十四烷)]衍生物已被研究为用于检测亚硫酸盐的简单化学荧光探针,可用于实验室和实际样品。在白葡萄酒样品上进行的初步测试提供了与标准分析方法获得的亚硫酸盐浓度值一致的结果。

https://cdn.ncbi.nlm.nih.gov/pmc/blobs/ea27/8951044/0099f52112dd/molecules-27-01852-sch001.jpg

文献检索

告别复杂PubMed语法,用中文像聊天一样搜索,搜遍4000万医学文献。AI智能推荐,让科研检索更轻松。

立即免费搜索

文件翻译

保留排版,准确专业,支持PDF/Word/PPT等文件格式,支持 12+语言互译。

免费翻译文档

深度研究

AI帮你快速写综述,25分钟生成高质量综述,智能提取关键信息,辅助科研写作。

立即免费体验