Suppr超能文献

静电纺聚丙交酯纤维作为生物chanin A控释载体

Electrospun Poly(lactide) Fibers as Carriers for Controlled Release of Biochanin A.

作者信息

Gajić Ivana, Stojanović Sanja, Ristić Ivan, Ilić-Stojanović Snežana, Pilić Branka, Nešić Aleksandra, Najman Stevo, Dinić Ana, Stanojević Ljiljana, Urošević Maja, Nikolić Vesna, Nikolić Ljubiša

机构信息

Faculty of Technology, University of Niš, Bulevar oslobodjenja 124, 16000 Leskovac, Serbia.

Department of Biology and Human Genetics, Faculty of Medicine, University of Niš, Blvd. Dr Zorana Djindjica 81, 18108 Niš, Serbia.

出版信息

Pharmaceutics. 2022 Feb 27;14(3):528. doi: 10.3390/pharmaceutics14030528.

Abstract

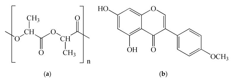
The aim of this study is to investigate the possibility of using electrospun polylactide (PLA) fibers as a carrier of the phytoestrogen biochanin A. Polylactide fibers were prepared with different contents of biochanin A by using an electrospinning method at specific process parameters. The obtained electrospun polylactide fibers, as carriers of biochanin A, were characterized by means of different methods. The presented results showed that the mechanical properties of PLA have not changed significantly in the presence of biochanin A. Scanning electron microscopy showed that the fine fiber structure is retained without visible deformations and biochanin A crystals on the surface of the fibres. The analysis by infrared spectroscopy showed that there are no strong interactions between polylactide and biochanin A molecules, which is a good prerequisite for the diffusion release of biochanin A from PLA fibers.The release of biochanin A from PLA fibers in buffer solution pH 7.4 at 37 °C was monitored by applying the HPLC method. The rate and time of the release of biochanin A from PLA fibers is in correlation with the amount of the active ingredient in the matrix of the carrier and follows zero-order kinetics. PLA fibers with biochanin A exhibit concentration-dependent activity on proliferation and migration of L929 fibroblasts in direct culture system in vitro, and proved to be suitable for a potential formulation for use in wound healing.

摘要

本研究的目的是探讨使用电纺聚乳酸(PLA)纤维作为植物雌激素染料木黄酮载体的可能性。通过在特定工艺参数下采用静电纺丝法制备了含有不同含量染料木黄酮的聚乳酸纤维。所获得的作为染料木黄酮载体的电纺聚乳酸纤维通过不同方法进行了表征。呈现的结果表明,在存在染料木黄酮的情况下,聚乳酸的机械性能没有显著变化。扫描电子显微镜显示,纤维结构保持良好,没有明显变形,且纤维表面没有染料木黄酮晶体。红外光谱分析表明,聚乳酸和染料木黄酮分子之间没有强烈相互作用,这是染料木黄酮从聚乳酸纤维中扩散释放的良好前提条件。通过应用高效液相色谱法监测了在37℃、pH 7.4的缓冲溶液中染料木黄酮从聚乳酸纤维中的释放情况。染料木黄酮从聚乳酸纤维中的释放速率和时间与载体基质中活性成分的量相关,并遵循零级动力学。含有染料木黄酮的聚乳酸纤维在体外直接培养系统中对L929成纤维细胞的增殖和迁移表现出浓度依赖性活性,并被证明适用于潜在的伤口愈合制剂。

https://cdn.ncbi.nlm.nih.gov/pmc/blobs/5531/8951644/2c127d736cc1/pharmaceutics-14-00528-g001.jpg

文献检索

告别复杂PubMed语法,用中文像聊天一样搜索,搜遍4000万医学文献。AI智能推荐,让科研检索更轻松。

立即免费搜索

文件翻译

保留排版,准确专业,支持PDF/Word/PPT等文件格式,支持 12+语言互译。

免费翻译文档

深度研究

AI帮你快速写综述,25分钟生成高质量综述,智能提取关键信息,辅助科研写作。

立即免费体验