Suppr超能文献

针对甲型流感病毒神经氨酸酶的新型杂环化1,2,3 - 三唑糖苷的体外和体内抗病毒研究

In Vitro and In Vivo Antiviral Studies of New Heteroannulated 1,2,3-Triazole Glycosides Targeting the Neuraminidase of Influenza A Viruses.

作者信息

Kutkat Omnia, Kandeil Ahmed, Moatasim Yassmin, Elshaier Yaseen A M M, El-Sayed Wael A, Gaballah Samir T, El Taweel Ahmed, Kamel Mina Nabil, El Sayes Mohamed, Ramadan Mohammed A, El-Shesheny Rabeh, Abdel-Megeid Farouk M E, Webby Richard, Kayali Ghazi, Ali Mohamed A

机构信息

Center of Scientific Excellence for Influenza Viruses, National Research Centre, Giza 12622, Egypt.

Department of Infectious Diseases, St. Jude Children's Research Hospital, Memphis, TN 38105, USA.

出版信息

Pharmaceuticals (Basel). 2022 Mar 14;15(3):351. doi: 10.3390/ph15030351.

Abstract

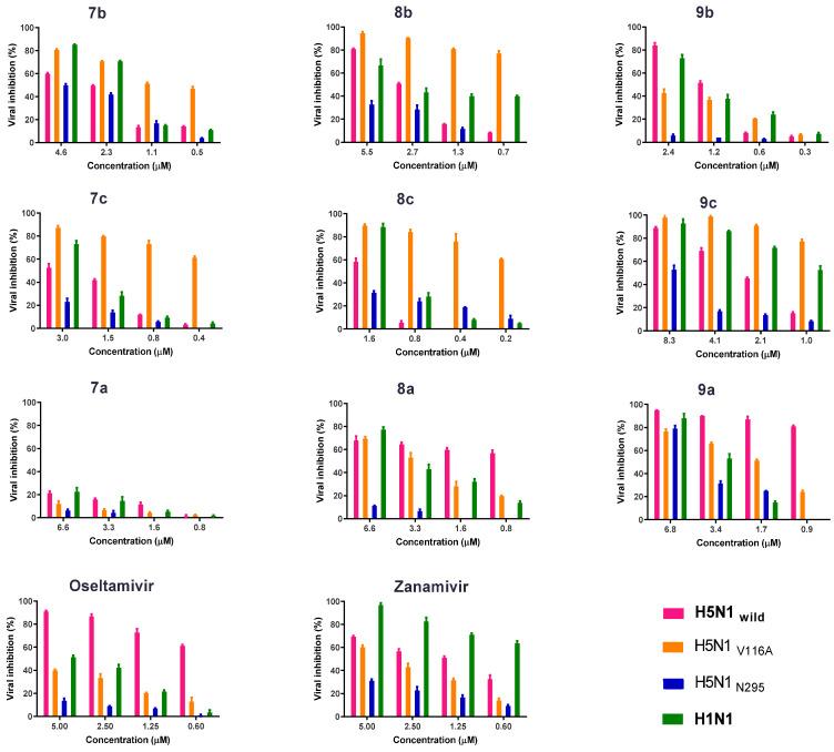
There is an urgent need to develop and synthesize new anti-influenza drugs with activity against different strains, resistance to mutations, and suitability for various populations. Herein, we tested in vitro and in vivo the antiviral activity of new 1,2,3-triazole glycosides incorporating benzimidazole, benzooxazole, or benzotriazole cores synthesized by using a click approach. The Cu-catalyzation strategy consisted of 1,3-dipolar cycloaddition of the azidoalkyl derivative of the respective heterocyclic and different glycosyl acetylenes with five or six carbon sugar moieties. The antiviral activity of the synthesized glycosides against wild-type and neuraminidase inhibitor resistant strains of the avian influenza H5N1 and human influenza H1N1 viruses was high in vitro and in mice. Structure-activity relationship studies showed that varying the glycosyl moiety in the synthesized glycosides enhanced antiviral activity. The compound (2,3,4,5)-2-((1-(Benzo[d]thiazol-2-ylmethyl)-1-1,2,3-triazol-4-yl)methoxy)tetrahydro-2-pyran-3,4,5-triyl triacetate (Compound ) had a 50% inhibitory concentration (IC) = 2.280 µM and a ligand lipophilic efficiency (LLE) of 6.84. The compound (2,3,4,5)-2-((1-((1-Benzo[d]imidazol-2-yl)methyl)-1-1,2,3-triazol-4-yl)methoxy)tetrahydro-2-pyran-3,4,5-triyl triacetate had IC = 2.75 µM and LLE = 7.3 after docking analysis with the H5N1 virus neuraminidase. Compound achieved full protection from H1N1 infection and 80% protection from H5N1 in addition to a high binding energy with neuraminidase and was safe in vitro and in vivo. This compound is suitable for further clinical studies as a new neuraminidase inhibitor.

摘要

迫切需要开发和合成具有抗不同毒株活性、抗突变性且适用于不同人群的新型抗流感药物。在此,我们对通过点击化学方法合成的、含有苯并咪唑、苯并恶唑或苯并三唑核心的新型1,2,3 - 三唑糖苷进行了体外和体内抗病毒活性测试。铜催化策略包括相应杂环的叠氮烷基衍生物与具有五个或六个碳原子糖部分的不同糖基乙炔进行1,3 - 偶极环加成反应。合成的糖苷对禽流感H5N1和人流感H1N1病毒的野生型及神经氨酸酶抑制剂耐药株在体外和小鼠体内均具有高抗病毒活性。构效关系研究表明,改变合成糖苷中的糖基部分可增强抗病毒活性。化合物(2,3,4,5)-2-((1-(苯并[d]噻唑-2-基甲基)-1-1,2,3-三唑-4-基)甲氧基)四氢-2-吡喃-3,4,5-三基三乙酸酯(化合物 )的50%抑制浓度(IC)= 2.280 μM,配体亲脂性效率(LLE)为6.84。化合物(2,3,4,5)-2-((1-((1-苯并[d]咪唑-2-基)甲基)-1-1,2,3-三唑-4-基)甲氧基)四氢-2-吡喃-3,4,5-三基三乙酸酯与H5N1病毒神经氨酸酶对接分析后IC = 2.75 μM,LLE = 7.3。化合物 除了与神经氨酸酶具有高结合能外,还能完全保护免受H1N1感染并对H5N1提供80%的保护,且在体外和体内均安全。该化合物作为一种新型神经氨酸酶抑制剂适用于进一步的临床研究。

https://cdn.ncbi.nlm.nih.gov/pmc/blobs/ec3d/8950700/84d1082bdb13/pharmaceuticals-15-00351-g001.jpg

文献检索

告别复杂PubMed语法,用中文像聊天一样搜索,搜遍4000万医学文献。AI智能推荐,让科研检索更轻松。

立即免费搜索

文件翻译

保留排版,准确专业,支持PDF/Word/PPT等文件格式,支持 12+语言互译。

免费翻译文档

深度研究

AI帮你快速写综述,25分钟生成高质量综述,智能提取关键信息,辅助科研写作。

立即免费体验