Suppr超能文献

基于地理位置的社交网络智能手机应用使用情况与中国男男性行为大学生的高危性行为:横断面研究。

Geosocial Networking Smartphone App Use and High-Risk Sexual Behaviors Among Men Who Have Sex With Men Attending University in China: Cross-sectional Study.

机构信息

School of Public Health, Southwest Medical University, Luzhou, China.

School of Public Health, Sun Yat-sen University, Guangzhou, China.

出版信息

JMIR Public Health Surveill. 2022 Mar 28;8(3):e31033. doi: 10.2196/31033.

Abstract

BACKGROUND

Gay apps are smartphone-based geosocial networking apps where many men who have sex with men (MSM) socialize and seek sex partners. Existing studies showed that gay app use is associated with greater odds of high-risk sexual behaviors and potentially more HIV infections. However, little is known about this behavior among young MSM.

OBJECTIVE

We conducted this study to understand gay app use and its influencing factors among MSM attending university in China.

METHODS

From January to March 2019, participants were recruited from 4 regions with large populations of college students in China: Chongqing, Guangdong, Shandong, and Tianjin. The eligibility criteria were MSM aged 16 years or older, self-identified as a university student, and being HIV negative. A self-administered online structured questionnaire was used to collect data on sociodemographic information, sexual behaviors, gay app use, substance use, and HIV testing history. We performed multivariable log-binomial regression to assess correlates of seeking sex partners via gay apps.

RESULTS

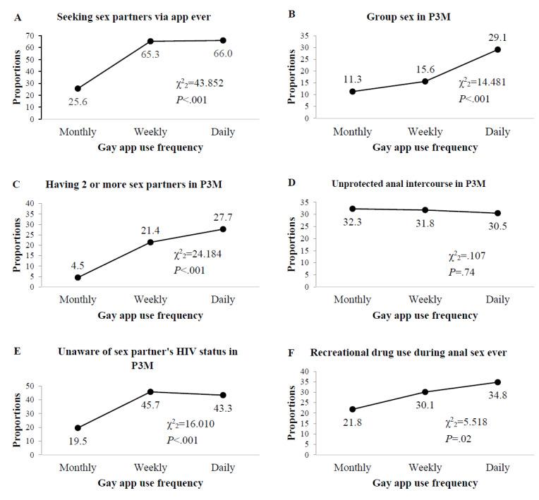
A total of 447 MSM attending university with an average age of 20.4 (SD 1.5) years were recruited. Almost all participants (439/447, 98.2%) reported gay app use at some point in their life, and 240/439 (53.7%) reported ever seeking sex partners via gay apps. Blued (428/439, 97.5%) was the most popular gay app. Higher proportions of sexual risk behaviors (including seeking sex partners via apps [P<.001], engaging in group sex [P<.001], having multiple sex partners [P<.001], unawareness of sex partners' HIV status [P<.001], and using recreational drugs during sex [P<.02]) were positively associated with the increase in the frequency of gay app use. In multivariable analysis, participants who used gay apps to seek sex partners might be more likely to have multiple sex partners in the past 3 months (adjusted prevalence ratio [APR] 1.53, 95% CI 1.33-1.76; P<.001), engage in group sex in the past 3 months (APR 1.55, 95% CI 1.35-1.78; P<.001), and have sex partners with unknown or positive HIV status (APR 1.72, 95% CI 1.46-2.01; P<.001).

CONCLUSIONS

Seeking sex partners via gay apps may associate with the increased high-risk sexual behaviors among MSM attending university. The causality between seeking sex partners via gay apps and increased high-risk sexual behaviors should be further investigated so as to inform potential policies for HIV prevention.

TRIAL REGISTRATION

Chinese Clinical Trial Registry ChiCTR1900020645; http://www.chictr.org.cn/showprojen.aspx?proj=34741.

摘要

背景

同性恋应用程序是基于智能手机的社交地理位置应用程序,许多男男性行为者(MSM)在这些应用程序上社交并寻找性伴侣。现有研究表明,同性恋应用程序的使用与更高的高危性行为几率以及潜在更多的 HIV 感染有关。然而,我们对中国年轻 MSM 中的这种行为知之甚少。

目的

我们进行这项研究是为了了解中国大学生中同性恋应用程序的使用情况及其影响因素。

方法

2019 年 1 月至 3 月,我们从中国四个大学生人口较多的地区:重庆、广东、山东和天津招募参与者。入选标准为年龄在 16 岁及以上、自我认同为大学生、HIV 阴性的 MSM。使用自填式在线结构化问卷收集社会人口学信息、性行为、同性恋应用程序使用、物质使用和 HIV 检测史等数据。我们进行多变量二项式回归分析,以评估通过同性恋应用程序寻找性伴侣的相关因素。

结果

共招募了 447 名平均年龄为 20.4(SD 1.5)岁的大学生 MSM。几乎所有参与者(439/447,98.2%)都曾在某个时候使用过同性恋应用程序,其中 240/439(53.7%)报告曾通过同性恋应用程序寻找性伴侣。Blued(428/439,97.5%)是最受欢迎的同性恋应用程序。更高比例的性行为风险(包括通过应用程序寻找性伴侣[P<.001]、参与群交[P<.001]、有多个性伴侣[P<.001]、不了解性伴侣的 HIV 状况[P<.001]和性行为中使用娱乐性药物[P<.02])与同性恋应用程序使用频率的增加呈正相关。多变量分析表明,使用同性恋应用程序寻找性伴侣的参与者过去 3 个月内更有可能有多个性伴侣(调整后的患病率比 [APR] 1.53,95%CI 1.33-1.76;P<.001),过去 3 个月内发生群交(APR 1.55,95%CI 1.35-1.78;P<.001),以及与 HIV 状况未知或阳性的性伴侣发生性关系(APR 1.72,95%CI 1.46-2.01;P<.001)。

结论

通过同性恋应用程序寻找性伴侣可能与大学生 MSM 中高危性行为的增加有关。应进一步研究通过同性恋应用程序寻找性伴侣与增加高危性行为之间的因果关系,以便为 HIV 预防提供信息。

试验注册

中国临床试验注册中心 ChiCTR1900020645;http://www.chictr.org.cn/showprojen.aspx?proj=34741。

https://cdn.ncbi.nlm.nih.gov/pmc/blobs/e713/9002592/cdb5d662f6b4/publichealth_v8i3e31033_fig1.jpg

文献AI研究员

20分钟写一篇综述,助力文献阅读效率提升50倍。

立即体验

用中文搜PubMed

大模型驱动的PubMed中文搜索引擎

马上搜索

文档翻译

学术文献翻译模型,支持多种主流文档格式。

立即体验