• 文献检索
  • 文档翻译
  • 深度研究
  • 学术资讯
  • Suppr Zotero 插件Zotero 插件
  • 邀请有礼
  • 套餐&价格
  • 历史记录
应用&插件
Suppr Zotero 插件Zotero 插件浏览器插件Mac 客户端Windows 客户端微信小程序
定价
高级版会员购买积分包购买API积分包
服务
文献检索文档翻译深度研究API 文档MCP 服务
关于我们
关于 Suppr公司介绍联系我们用户协议隐私条款
关注我们

Suppr 超能文献

核心技术专利:CN118964589B侵权必究
粤ICP备2023148730 号-1Suppr @ 2026

文献检索

告别复杂PubMed语法,用中文像聊天一样搜索,搜遍4000万医学文献。AI智能推荐,让科研检索更轻松。

立即免费搜索

文件翻译

保留排版,准确专业,支持PDF/Word/PPT等文件格式,支持 12+语言互译。

免费翻译文档

深度研究

AI帮你快速写综述,25分钟生成高质量综述,智能提取关键信息,辅助科研写作。

立即免费体验

靶向人血液和肺部髓样细胞基因表达谱分析在肺结核病和其他肺部疾病患者中的应用。

Targeted Gene Expression Profiling of Human Myeloid Cells From Blood and Lung Compartments of Patients With Tuberculosis and Other Lung Diseases.

机构信息

DSI-NRF Centre of Excellence for Biomedical Tuberculosis Research, South African Medical Research Council Centre for Tuberculosis Research, Division of Molecular Biology and Human Genetics, Faculty of Medicine and Health Sciences, Stellenbosch University, Cape Town, South Africa.

South African Tuberculosis Vaccine Initiative, Division of Immunology, Department of Pathology, Institute of Infectious Disease and Molecular Medicine, University of Cape Town, Cape Town, South Africa.

出版信息

Front Immunol. 2022 Mar 8;13:839747. doi: 10.3389/fimmu.2022.839747. eCollection 2022.

DOI:10.3389/fimmu.2022.839747
PMID:35356003
原文链接:https://pmc.ncbi.nlm.nih.gov/articles/PMC8959218/
Abstract

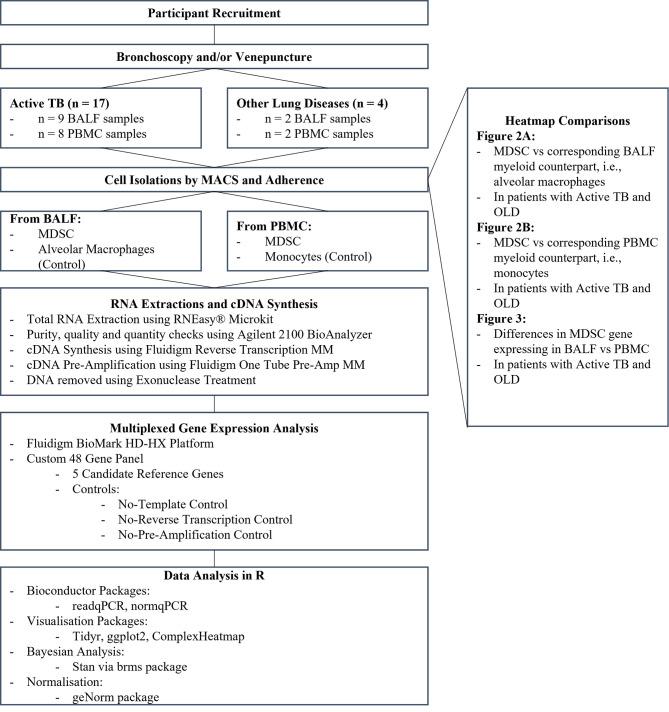
Myeloid-derived suppressor cells (MDSC) have been identified in the peripheral blood and granulomas of patients with active TB disease, but their phenotype-, function-, and immunosuppressive mechanism- spectrum remains unclear. Importantly, the frequency and signaling pathways of MDSC at the site of disease is unknown with no indication how this compares to MDSC identified in peripheral blood or to those of related myeloid counterparts such as alveolar macrophages and monocytes. Most phenotypic and functional markers have been described in oncological studies but have not yet been validated in TB. Using a panel of 43 genes selected from pathways previously shown to contribute to tumor-derived MDSC, we set out to evaluate if the expression of these additional functional markers and properties may also be relevant to TB-derived MDSC. Differential expression was investigated between MDSC, alveolar macrophages and monocytes enriched from bronchoalveolar lavage fluid and peripheral blood of patients with active TB, patients with other lung diseases (OLD). Results demonstrated that anatomical compartments may drive compartment-specific immunological responses and subsequent MDSC immunosuppressive functions, demonstrated by the observation that MDSC and/or monocytes from PB alone can discriminate, hierarchical clustering, between patients with active TB disease and OLD. Our data show that the gene expression patterns of MDSC in peripheral blood and bronchoalveolar lavage fluid do not cluster according to disease states (TB vs OLD). This suggests that MDSC from TB patients may display similar gene expression profiles to those found for MDSC in cancer, but this needs to be validated in a larger cohort. These are important observations for TB research and may provide direction for future studies aimed at repurposing and validating cancer immunotherapies for use in TB.

摘要

髓系来源的抑制细胞(MDSC)已在活动性结核病患者的外周血和肉芽肿中被鉴定出来,但它们的表型、功能和免疫抑制机制范围尚不清楚。重要的是,疾病部位的 MDSC 的频率和信号通路尚不清楚,也没有迹象表明其与外周血中鉴定的 MDSC 或与肺泡巨噬细胞和单核细胞等相关髓样细胞相比如何。大多数表型和功能标志物已在肿瘤学研究中描述,但尚未在结核病中得到验证。我们使用了一组从先前显示有助于肿瘤衍生 MDSC 的途径中选择的 43 个基因,旨在评估这些额外的功能标志物和特性的表达是否也与结核病衍生的 MDSC 相关。我们研究了来自活动性结核病患者、其他肺部疾病(OLD)患者支气管肺泡灌洗液和外周血中分离的 MDSC、肺泡巨噬细胞和单核细胞之间这些基因的差异表达。结果表明,解剖隔室可能驱动特定隔室的免疫反应和随后的 MDSC 免疫抑制功能,这一观察结果表明,仅来自 PB 的 MDSC 和/或单核细胞可以区分活动性结核病患者和 OLD 患者,进行层次聚类。我们的数据表明,外周血和支气管肺泡灌洗液中 MDSC 的基因表达模式不根据疾病状态(TB 与 OLD)聚类。这表明 TB 患者的 MDSC 可能表现出与癌症中发现的 MDSC 相似的基因表达谱,但这需要在更大的队列中进行验证。这些对于结核病研究是重要的观察结果,并可能为旨在重新利用和验证癌症免疫疗法用于结核病的未来研究提供方向。

https://cdn.ncbi.nlm.nih.gov/pmc/blobs/5eee/8959218/1c5d29331031/fimmu-13-839747-g003.jpg
https://cdn.ncbi.nlm.nih.gov/pmc/blobs/5eee/8959218/29016798168a/fimmu-13-839747-g001.jpg
https://cdn.ncbi.nlm.nih.gov/pmc/blobs/5eee/8959218/97464555b156/fimmu-13-839747-g002.jpg
https://cdn.ncbi.nlm.nih.gov/pmc/blobs/5eee/8959218/1c5d29331031/fimmu-13-839747-g003.jpg
https://cdn.ncbi.nlm.nih.gov/pmc/blobs/5eee/8959218/29016798168a/fimmu-13-839747-g001.jpg
https://cdn.ncbi.nlm.nih.gov/pmc/blobs/5eee/8959218/97464555b156/fimmu-13-839747-g002.jpg
https://cdn.ncbi.nlm.nih.gov/pmc/blobs/5eee/8959218/1c5d29331031/fimmu-13-839747-g003.jpg

相似文献

1
Targeted Gene Expression Profiling of Human Myeloid Cells From Blood and Lung Compartments of Patients With Tuberculosis and Other Lung Diseases.靶向人血液和肺部髓样细胞基因表达谱分析在肺结核病和其他肺部疾病患者中的应用。
Front Immunol. 2022 Mar 8;13:839747. doi: 10.3389/fimmu.2022.839747. eCollection 2022.
2
Circulating Monocyte-Like Myeloid Derived Suppressor Cells and CD16 Positive Monocytes Correlate With Immunological Responsiveness of Tuberculosis Patients.循环单核细胞样髓系来源抑制细胞和 CD16 阳性单核细胞与结核病患者的免疫应答相关。
Front Cell Infect Microbiol. 2022 Mar 14;12:841741. doi: 10.3389/fcimb.2022.841741. eCollection 2022.
3
Myeloid-Derived Suppressor Cells Mediate T Cell Dysfunction in Nonhuman Primate TB Granulomas.髓源性抑制细胞在非人类灵长类结核肉芽肿中介导 T 细胞功能障碍。
mBio. 2021 Dec 21;12(6):e0318921. doi: 10.1128/mbio.03189-21. Epub 2021 Dec 14.
4
PMN-MDSC Frequency Discriminates Active Versus Latent Tuberculosis and Could Play a Role in Counteracting the Immune-Mediated Lung Damage in Active Disease.PMN-MDSC 频率可区分活动性与潜伏性结核,且可能在对抗活动性疾病中的免疫介导性肺损伤中发挥作用。
Front Immunol. 2021 Apr 26;12:594376. doi: 10.3389/fimmu.2021.594376. eCollection 2021.
5
Phenotypically resembling myeloid derived suppressor cells are increased in children with HIV and exposed/infected with Mycobacterium tuberculosis.在感染艾滋病毒且接触/感染结核分枝杆菌的儿童中,表型上类似髓系来源抑制细胞的细胞数量增加。
Eur J Immunol. 2017 Jan;47(1):107-118. doi: 10.1002/eji.201646658. Epub 2016 Dec 16.
6
Immunometabolism of Myeloid-Derived Suppressor Cells: Implications for Infection and Insights from Tumor Biology.髓系来源抑制细胞的免疫代谢:感染的意义及肿瘤生物学的启示。
Int J Mol Sci. 2022 Mar 23;23(7):3512. doi: 10.3390/ijms23073512.
7
The Frequency and Effect of Granulocytic Myeloid-Derived Suppressor Cells on Mycobacterial Survival in Patients With Tuberculosis: A Preliminary Report.粒细胞髓系来源抑制细胞对结核分枝杆菌存活的影响及其频率:初步报告。
Front Immunol. 2021 Jun 1;12:676679. doi: 10.3389/fimmu.2021.676679. eCollection 2021.
8
Isolation and Functional Characterization of Myeloid-Derived Suppressor Cells in Infections Under High Containment.高防护条件下感染中髓系来源抑制细胞的分离与功能特征鉴定。
Methods Mol Biol. 2021;2236:129-156. doi: 10.1007/978-1-0716-1060-2_12.
9
The Emerging Role of Myeloid-Derived Suppressor Cells in Tuberculosis.髓系来源抑制细胞在结核病中的新作用。
Front Immunol. 2019 Apr 30;10:917. doi: 10.3389/fimmu.2019.00917. eCollection 2019.
10
Mycobacterium tuberculosis and myeloid-derived suppressor cells: Insights into caveolin rich lipid rafts.结核分枝杆菌与髓系来源的抑制性细胞:富含窖蛋白的脂筏研究进展。
EBioMedicine. 2020 Mar;53:102670. doi: 10.1016/j.ebiom.2020.102670. Epub 2020 Feb 26.

引用本文的文献

1
Long non-coding RNA transcripts in -host interactions.宿主相互作用中的长链非编码RNA转录本。
Noncoding RNA Res. 2024 Dec 15;11:281-293. doi: 10.1016/j.ncrna.2024.12.005. eCollection 2025 Apr.
2
The post-septic peripheral myeloid compartment reveals unexpected diversity in myeloid-derived suppressor cells.脓毒症后外周髓系隔室揭示了髓系来源的抑制细胞的意外多样性。
Front Immunol. 2024 Apr 24;15:1355405. doi: 10.3389/fimmu.2024.1355405. eCollection 2024.
3
Whole blood coagulation in an ex vivo thrombus is sufficient to induce clot neutrophils to adopt a myeloid-derived suppressor cell signature and shed soluble Lox-1.

本文引用的文献

1
Stan: A Probabilistic Programming Language.斯坦:一种概率编程语言。
J Stat Softw. 2017;76. doi: 10.18637/jss.v076.i01. Epub 2017 Jan 11.
2
Evaluation of autophagy mediators in myeloid-derived suppressor cells during human tuberculosis.人类结核病中髓源性抑制细胞自噬介体的评估。
Cell Immunol. 2021 Nov;369:104426. doi: 10.1016/j.cellimm.2021.104426. Epub 2021 Aug 24.
3
The Frequency and Effect of Granulocytic Myeloid-Derived Suppressor Cells on Mycobacterial Survival in Patients With Tuberculosis: A Preliminary Report.
在体外血栓中,全血凝固足以诱导血栓中性粒细胞采用髓系来源的抑制细胞特征,并释放可溶性 Lox-1。
J Thromb Haemost. 2024 Apr;22(4):1031-1045. doi: 10.1016/j.jtha.2023.12.014. Epub 2023 Dec 20.
4
Cross center single-cell RNA sequencing study of the immune microenvironment in rapid progressing multiple myeloma.快速进展性多发性骨髓瘤免疫微环境的跨中心单细胞RNA测序研究
NPJ Genom Med. 2023 Jan 26;8(1):3. doi: 10.1038/s41525-022-00340-x.
粒细胞髓系来源抑制细胞对结核分枝杆菌存活的影响及其频率:初步报告。
Front Immunol. 2021 Jun 1;12:676679. doi: 10.3389/fimmu.2021.676679. eCollection 2021.
4
MDSC: Markers, development, states, and unaddressed complexity.骨髓来源抑制细胞:标志物、分化、状态和未解决的复杂性。
Immunity. 2021 May 11;54(5):875-884. doi: 10.1016/j.immuni.2021.04.004.
5
Targeting of myeloid-derived suppressor cells by all-trans retinoic acid as host-directed therapy for human tuberculosis.全反式维甲酸靶向髓系来源抑制细胞作为人类结核病的宿主定向治疗。
Cell Immunol. 2021 Jun;364:104359. doi: 10.1016/j.cellimm.2021.104359. Epub 2021 Apr 8.
6
Myeloid-derived suppressor cells in the era of increasing myeloid cell diversity.在髓系细胞多样性不断增加的时代中的髓源性抑制细胞。
Nat Rev Immunol. 2021 Aug;21(8):485-498. doi: 10.1038/s41577-020-00490-y. Epub 2021 Feb 1.
7
Myeloid-Derived Suppressor Cells as a Therapeutic Target for Cancer.髓源性抑制细胞作为癌症治疗靶点。
Cells. 2020 Feb 27;9(3):561. doi: 10.3390/cells9030561.
8
Mycobacterium tuberculosis and myeloid-derived suppressor cells: Insights into caveolin rich lipid rafts.结核分枝杆菌与髓系来源的抑制性细胞:富含窖蛋白的脂筏研究进展。
EBioMedicine. 2020 Mar;53:102670. doi: 10.1016/j.ebiom.2020.102670. Epub 2020 Feb 26.
9
Caveolin-1 Controls Vesicular TLR2 Expression, p38 Signaling and T Cell Suppression in BCG Infected Murine Monocytic Myeloid-Derived Suppressor Cells.窖蛋白-1 调控结核分枝杆菌感染的小鼠单核细胞来源的髓系抑制细胞中囊泡 TLR2 的表达、p38 信号通路和 T 细胞抑制作用。
Front Immunol. 2019 Dec 3;10:2826. doi: 10.3389/fimmu.2019.02826. eCollection 2019.
10
Tumor Microenvironment following Gemcitabine Treatment Favors Differentiation of Immunosuppressive Ly6C Myeloid Cells.吉西他滨治疗后肿瘤微环境有利于免疫抑制性 Ly6C 髓样细胞的分化。
J Immunol. 2020 Jan 1;204(1):212-223. doi: 10.4049/jimmunol.1900930. Epub 2019 Nov 27.