• 文献检索
  • 文档翻译
  • 深度研究
  • 学术资讯
  • Suppr Zotero 插件Zotero 插件
  • 邀请有礼
  • 套餐&价格
  • 历史记录
应用&插件
Suppr Zotero 插件Zotero 插件浏览器插件Mac 客户端Windows 客户端微信小程序
定价
高级版会员购买积分包购买API积分包
服务
文献检索文档翻译深度研究API 文档MCP 服务
关于我们
关于 Suppr公司介绍联系我们用户协议隐私条款
关注我们

Suppr 超能文献

核心技术专利:CN118964589B侵权必究
粤ICP备2023148730 号-1Suppr @ 2026

文献检索

告别复杂PubMed语法,用中文像聊天一样搜索,搜遍4000万医学文献。AI智能推荐,让科研检索更轻松。

立即免费搜索

文件翻译

保留排版,准确专业,支持PDF/Word/PPT等文件格式,支持 12+语言互译。

免费翻译文档

深度研究

AI帮你快速写综述,25分钟生成高质量综述,智能提取关键信息,辅助科研写作。

立即免费体验

由大豆分离蛋白/魔芋葡甘聚糖制备脂肪替代品:蛋白质和多糖浓度配方的影响。

Create Fat Substitute From Soybean Protein Isolate/Konjac Glucomannan: The Impact of the Protein and Polysaccharide Concentrations Formulations.

作者信息

Huang Lu, Ren Yuqing, Li He, Zhang Qibo, Wang Yong, Cao Jinnuo, Liu Xinqi

机构信息

National Soybean Processing Industry Technology Innovation Center, School of Food and Health, Beijing Technology and Business University, Beijing, China.

School of Chemical Engineering, UNSW Sydney, Sydney, NSW, Australia.

出版信息

Front Nutr. 2022 Mar 9;9:843832. doi: 10.3389/fnut.2022.843832. eCollection 2022.

DOI:10.3389/fnut.2022.843832
PMID:35356728
原文链接:https://pmc.ncbi.nlm.nih.gov/articles/PMC8959708/
Abstract

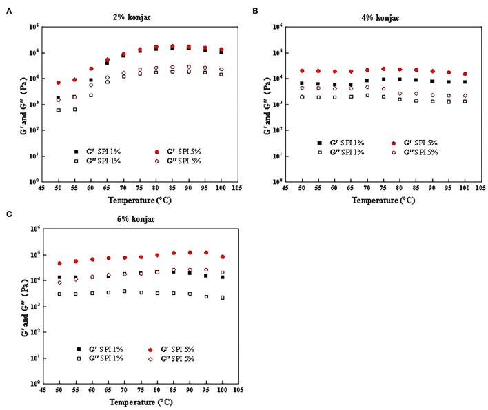
In this study, soybean protein isolate (SPI) and coconut oil were emulsified and konjac flour was added to prepare the protein/polysaccharide composite emulsion gel. The SPI/polysaccharide compound fat substitute was obtained by vacuuming. The effects of protein and konjac flour addition on the gel system of the mixed emulsion were explored. Sensory evaluation experiments showed that the overall acceptability of fat substitutes added with 1% SPI was higher. With the increase of protein and konjac content, the juiciness of the samples decreased gradually. The increase of konjac content reduced the brightness of compound fat substitutes, and the yellowness of compound fat substitute increases significantly with the increase of protein content. The rheological results showed that the G' and loss modulus (G″) increased with the increase of protein and konjac content, forming a rigid elastic gel matrix, which provided a basis for the preparation of fat substitutes. Texture profile analysis (TPA) results showed that the springiness of all samples was similar to the natural fat after 20 min of heating. With the increase of protein and konjac content, the hardness of the samples increased gradually. The results of oral tribology showed that the friction coefficients of all samples were very small. The friction behavior of the samples with SPI content of 1% was similar to that of natural fat, which could better simulate the swallowing feeling and lubricity of natural fat. To sum up, the appearance of solid fat substitutes prepared with SPI and konjac flour is similar to pork fat. They show ideal functional characteristics in mechanical properties and oral tribology. Among them, the fat substitute with the protein content of 1% and konjac content of 4% is the most popular among consumers.

摘要

在本研究中,将大豆分离蛋白(SPI)与椰子油乳化,并添加魔芋粉制备蛋白质/多糖复合乳液凝胶。通过真空处理获得SPI/多糖复合脂肪替代品。探讨了蛋白质和魔芋粉添加量对混合乳液凝胶体系的影响。感官评价实验表明,添加1% SPI的脂肪替代品总体可接受性较高。随着蛋白质和魔芋含量的增加,样品的多汁性逐渐降低。魔芋含量的增加降低了复合脂肪替代品的亮度,复合脂肪替代品的黄度随蛋白质含量的增加而显著增加。流变学结果表明,随着蛋白质和魔芋含量的增加,储能模量(G')和损耗模量(G″)增加,形成刚性弹性凝胶基质,为脂肪替代品的制备提供了依据。质地剖面分析(TPA)结果表明,加热20分钟后,所有样品的弹性与天然脂肪相似。随着蛋白质和魔芋含量的增加,样品的硬度逐渐增加。口腔摩擦学结果表明,所有样品的摩擦系数都非常小。SPI含量为1%的样品的摩擦行为与天然脂肪相似,能够更好地模拟天然脂肪的吞咽感觉和润滑性。综上所述,用SPI和魔芋粉制备的固体脂肪替代品外观与猪脂肪相似。它们在机械性能和口腔摩擦学方面表现出理想的功能特性。其中,蛋白质含量为1%、魔芋含量为4%的脂肪替代品最受消费者欢迎。

https://cdn.ncbi.nlm.nih.gov/pmc/blobs/3ae4/8959708/4519efeb95a0/fnut-09-843832-g0007.jpg
https://cdn.ncbi.nlm.nih.gov/pmc/blobs/3ae4/8959708/f37969bdbbd4/fnut-09-843832-g0001.jpg
https://cdn.ncbi.nlm.nih.gov/pmc/blobs/3ae4/8959708/827e34a20b9d/fnut-09-843832-g0002.jpg
https://cdn.ncbi.nlm.nih.gov/pmc/blobs/3ae4/8959708/7a09431bd538/fnut-09-843832-g0003.jpg
https://cdn.ncbi.nlm.nih.gov/pmc/blobs/3ae4/8959708/0d93a34ed4c1/fnut-09-843832-g0004.jpg
https://cdn.ncbi.nlm.nih.gov/pmc/blobs/3ae4/8959708/bf6746b32bc6/fnut-09-843832-g0005.jpg
https://cdn.ncbi.nlm.nih.gov/pmc/blobs/3ae4/8959708/d191a56c224d/fnut-09-843832-g0006.jpg
https://cdn.ncbi.nlm.nih.gov/pmc/blobs/3ae4/8959708/4519efeb95a0/fnut-09-843832-g0007.jpg
https://cdn.ncbi.nlm.nih.gov/pmc/blobs/3ae4/8959708/f37969bdbbd4/fnut-09-843832-g0001.jpg
https://cdn.ncbi.nlm.nih.gov/pmc/blobs/3ae4/8959708/827e34a20b9d/fnut-09-843832-g0002.jpg
https://cdn.ncbi.nlm.nih.gov/pmc/blobs/3ae4/8959708/7a09431bd538/fnut-09-843832-g0003.jpg
https://cdn.ncbi.nlm.nih.gov/pmc/blobs/3ae4/8959708/0d93a34ed4c1/fnut-09-843832-g0004.jpg
https://cdn.ncbi.nlm.nih.gov/pmc/blobs/3ae4/8959708/bf6746b32bc6/fnut-09-843832-g0005.jpg
https://cdn.ncbi.nlm.nih.gov/pmc/blobs/3ae4/8959708/d191a56c224d/fnut-09-843832-g0006.jpg
https://cdn.ncbi.nlm.nih.gov/pmc/blobs/3ae4/8959708/4519efeb95a0/fnut-09-843832-g0007.jpg

相似文献

1
Create Fat Substitute From Soybean Protein Isolate/Konjac Glucomannan: The Impact of the Protein and Polysaccharide Concentrations Formulations.由大豆分离蛋白/魔芋葡甘聚糖制备脂肪替代品:蛋白质和多糖浓度配方的影响。
Front Nutr. 2022 Mar 9;9:843832. doi: 10.3389/fnut.2022.843832. eCollection 2022.
2
Effect of variation in basic emulsion structure and polysaccharide content on the physicochemical properties and structure of composite-based emulsion gels as cube fat mimetics.基础乳液结构和多糖含量的变化对作为立方晶型脂肪模拟物的复合乳液凝胶的物理化学性质和结构的影响。
Food Chem. 2024 Feb 15;434:137450. doi: 10.1016/j.foodchem.2023.137450. Epub 2023 Sep 14.
3
Transglutaminase treatment and pH shifting to manipulate physicochemical properties and formation mechanism of cubic fat substitutes.转谷氨酰胺酶处理及pH调节对立方体形脂肪替代物理化性质和形成机制的影响
Food Chem X. 2022 Nov 11;16:100508. doi: 10.1016/j.fochx.2022.100508. eCollection 2022 Dec 30.
4
Stability and Rheological Behavior of Mayonnaise-like Emulsion Co-Emulsified by Konjac Glucomannan and Whey Protein.魔芋葡甘聚糖和乳清蛋白共同乳化的蛋黄酱状乳液的稳定性和流变行为
Foods. 2023 Jul 31;12(15):2907. doi: 10.3390/foods12152907.
5
Mimic Pork Rinds from Plant-Based Gel: The Influence of Sweet Potato Starch and Konjac Glucomannan.植物基凝胶模拟猪肉干:甘薯淀粉和魔芋葡甘聚糖的影响。
Molecules. 2022 May 12;27(10):3103. doi: 10.3390/molecules27103103.
6
Quality, Thermo-Rheology, and Microstructure Characteristics of Cubic Fat Substituted Pork Patties with Composite Emulsion Gel Composed of Konjac Glucomannan and Soy Protein Isolate.含魔芋葡甘露聚糖和大豆分离蛋白复合乳液凝胶的立方体型脂肪替代猪肉饼的品质、热流变学及微观结构特征
Gels. 2024 Jan 31;10(2):111. doi: 10.3390/gels10020111.
7
Development of β-Cyclodextrin/Konjac-Based Emulsion Gel for a Pork Backfat Substitute in Emulsion-Type Sausage.用于乳化型香肠中猪肉背膘替代品的β-环糊精/魔芋基乳液凝胶的研制。
Gels. 2022 Jun 11;8(6):369. doi: 10.3390/gels8060369.
8
Technological and sensory characteristics of reduced/low-fat, low-salt frankfurters as affected by the addition of konjac and seaweed.降低/低脂、低盐法兰克福香肠的技术和感官特性受添加魔芋和海藻的影响。
Meat Sci. 2010 Mar;84(3):356-63. doi: 10.1016/j.meatsci.2009.09.002. Epub 2009 Sep 23.
9
Screening of Optimal Konjac Glucomannan-Protein Composite Gel Formulations to Mimic the Texture and Appearance of Tripe.筛选最佳魔芋葡甘露聚糖-蛋白质复合凝胶配方以模拟牛肚的质地和外观。
Gels. 2024 Aug 12;10(8):528. doi: 10.3390/gels10080528.
10
Utilization of soy protein isolate and konjac blends in a low-fat bologna (model system).大豆分离蛋白与魔芋混合物在低脂博洛尼亚香肠(模型体系)中的应用。
Meat Sci. 1999 Sep;53(1):45-57. doi: 10.1016/s0309-1740(99)00035-2.

引用本文的文献

1
Constructing Stable Emulsion Gel from Soy Protein Isolate and Konjac Glucomannan as Pork Fat Substitute: Effect of Oil Concentration.以大豆分离蛋白和魔芋葡甘聚糖构建稳定乳液凝胶作为猪脂肪替代品:油浓度的影响。
Foods. 2025 Aug 8;14(16):2760. doi: 10.3390/foods14162760.
2
Nutritional and Technological Benefits of Pine Nut Oil Emulsion Gel in Processed Meat Products.松子油乳液凝胶在加工肉制品中的营养与工艺优势
Foods. 2025 Jul 22;14(15):2553. doi: 10.3390/foods14152553.
3
Development and Characterization of Emulsion Gels with Pine Nut Oil, Inulin, and Whey Proteins for Reduced-Fat Meat Products.

本文引用的文献

1
Influence of protein and solid fat content on mechanical properties and comminution behavior of structured plant-based lipids.蛋白质和固体脂肪含量对结构化植物油脂机械性能和粉碎行为的影响。
Food Res Int. 2021 Jul;145:110416. doi: 10.1016/j.foodres.2021.110416. Epub 2021 May 19.
2
Use of starch-based fat replacers in foods as a strategy to reduce dietary intake of fat and risk of metabolic diseases.在食品中使用淀粉基脂肪替代品作为减少膳食脂肪摄入量和代谢疾病风险的一种策略。
Food Sci Nutr. 2019 Dec 3;8(1):16-22. doi: 10.1002/fsn3.1303. eCollection 2020 Jan.
3
Formation and characterization of plant-based emulsified and crosslinked fat crystal networks to mimic animal fat tissue.
用于低脂肉类产品的含松子油、菊粉和乳清蛋白的乳液凝胶的开发与表征
Foods. 2025 Mar 12;14(6):962. doi: 10.3390/foods14060962.
4
Effects of Konjac Glucomannan and Chitin Nanowhiskers on Structural and Physical Properties of Soy Protein Isolate Composite Hydrogels.魔芋葡甘聚糖和几丁质纳米晶须对大豆分离蛋白复合水凝胶结构和物理性质的影响
Foods. 2025 Feb 24;14(5):767. doi: 10.3390/foods14050767.
5
Quality, Thermo-Rheology, and Microstructure Characteristics of Cubic Fat Substituted Pork Patties with Composite Emulsion Gel Composed of Konjac Glucomannan and Soy Protein Isolate.含魔芋葡甘露聚糖和大豆分离蛋白复合乳液凝胶的立方体型脂肪替代猪肉饼的品质、热流变学及微观结构特征
Gels. 2024 Jan 31;10(2):111. doi: 10.3390/gels10020111.
6
Reformulation of Bologna Sausage by Total Pork Backfat Replacement with an Emulsion Gel Based on Olive, Walnut, and Chia Oils, and Stabilized with Chitosan.用基于橄榄油、核桃油和奇亚籽油并以壳聚糖稳定的乳化凝胶完全替代猪背膘来重新配制博洛尼亚香肠。
Foods. 2023 Sep 16;12(18):3455. doi: 10.3390/foods12183455.
7
Food Emulsion Gels from Plant-Based Ingredients: Formulation, Processing, and Potential Applications.基于植物成分的食品乳液凝胶:配方、加工及潜在应用
Gels. 2023 Apr 26;9(5):366. doi: 10.3390/gels9050366.
8
Transglutaminase treatment and pH shifting to manipulate physicochemical properties and formation mechanism of cubic fat substitutes.转谷氨酰胺酶处理及pH调节对立方体形脂肪替代物理化性质和形成机制的影响
Food Chem X. 2022 Nov 11;16:100508. doi: 10.1016/j.fochx.2022.100508. eCollection 2022 Dec 30.
9
Ingredients and Process Affect the Structural Quality of Recombinant Plant-Based Meat Alternatives and Their Components.成分和工艺影响重组植物基肉类替代品及其成分的结构质量。
Foods. 2022 Jul 25;11(15):2202. doi: 10.3390/foods11152202.
10
Application of Emulsion Gels as Fat Substitutes in Meat Products.乳液凝胶作为肉类产品中脂肪替代品的应用。
Foods. 2022 Jun 30;11(13):1950. doi: 10.3390/foods11131950.
植物基乳化交联脂肪晶体网络的形成与特性研究——模拟动物脂肪组织。
J Food Sci. 2020 Feb;85(2):421-431. doi: 10.1111/1750-3841.14993. Epub 2020 Jan 13.
4
Using Canola Oil Organogels as Fat Replacement in Liver Pâté.用菜籽油有机凝胶替代肝酱中的脂肪。
J Food Sci. 2019 Sep;84(9):2646-2651. doi: 10.1111/1750-3841.14753. Epub 2019 Aug 20.
5
Physicochemical and textural properties of mozzarella cheese made with konjac glucomannan as a fat replacer.用魔芋葡甘聚糖作为脂肪替代品制作马苏里拉奶酪的理化和质构特性。
Food Res Int. 2018 May;107:691-699. doi: 10.1016/j.foodres.2018.02.069. Epub 2018 Feb 28.
6
Effects of Beef Fat Replacement with Gelled Emulsion Prepared with Olive Oil on Quality Parameters of Chicken Patties.用橄榄油制备的凝胶乳液替代牛肉脂肪对鸡肉饼品质参数的影响。
Korean J Food Sci Anim Resour. 2017;37(3):376-384. doi: 10.5851/kosfa.2017.37.3.376. Epub 2017 Jun 30.
7
Emulsion stability, thermo-rheology and quality characteristics of ground pork patties prepared with soy protein isolate and carrageenan.用大豆分离蛋白和卡拉胶制备的猪肉饼的乳液稳定性、热流变学和品质特性
J Sci Food Agric. 2015 Nov;95(14):2832-7. doi: 10.1002/jsfa.7023. Epub 2014 Dec 18.
8
Konjac gel as pork backfat replacer in dry fermented sausages: processing and quality characteristics.魔芋凝胶替代猪背脂在干发酵香肠中的应用:加工及品质特性。
Meat Sci. 2012 Oct;92(2):144-50. doi: 10.1016/j.meatsci.2012.04.028. Epub 2012 Apr 27.
9
Low-fat pork liver pâtés enriched with n-3 PUFA/konjac gel: dynamic rheological properties and technological behaviour during chill storage.富含 n-3PUFA/魔芋凝胶的低脂猪肝酱:冷藏过程中的动态流变特性和工艺性能。
Meat Sci. 2012 Sep;92(1):44-52. doi: 10.1016/j.meatsci.2012.04.002. Epub 2012 Apr 10.
10
Mechanical properties of ethylcellulose oleogels and their potential for saturated fat reduction in frankfurters.乙基纤维素油凝胶的机械性能及其在法兰克福香肠中降低饱和脂肪的潜力。
Food Funct. 2012 Mar;3(3):327-37. doi: 10.1039/c2fo10202a. Epub 2012 Mar 1.