• 文献检索
  • 文档翻译
  • 深度研究
  • 学术资讯
  • Suppr Zotero 插件Zotero 插件
  • 邀请有礼
  • 套餐&价格
  • 历史记录
应用&插件
Suppr Zotero 插件Zotero 插件浏览器插件Mac 客户端Windows 客户端微信小程序
定价
高级版会员购买积分包购买API积分包
服务
文献检索文档翻译深度研究API 文档MCP 服务
关于我们
关于 Suppr公司介绍联系我们用户协议隐私条款
关注我们

Suppr 超能文献

核心技术专利:CN118964589B侵权必究
粤ICP备2023148730 号-1Suppr @ 2026

文献检索

告别复杂PubMed语法,用中文像聊天一样搜索,搜遍4000万医学文献。AI智能推荐,让科研检索更轻松。

立即免费搜索

文件翻译

保留排版,准确专业,支持PDF/Word/PPT等文件格式,支持 12+语言互译。

免费翻译文档

深度研究

AI帮你快速写综述,25分钟生成高质量综述,智能提取关键信息,辅助科研写作。

立即免费体验

血液细胞外囊泡中 CDH2 和 MCP-1 mRNAs 在预测早期糖尿病肾病中的作用。

The role of CDH2 and MCP-1 mRNAs of blood extracellular vesicles in predicting early-stage diabetic nephropathy.

机构信息

Diabetes Research Center, Endocrinology and Metabolism Clinical Sciences Institute, Tehran University of Medical Sciences, Tehran, Iran.

Metabolomics and Genomics Research Center, Endocrinology and Metabolism Molecular-Cellular Sciences Institute, Tehran University of Medical Sciences, Tehran, Iran.

出版信息

PLoS One. 2022 Apr 1;17(4):e0265619. doi: 10.1371/journal.pone.0265619. eCollection 2022.

DOI:10.1371/journal.pone.0265619
PMID:35363774
原文链接:https://pmc.ncbi.nlm.nih.gov/articles/PMC8975111/
Abstract

BACKGROUND

Extracellular vesicles (EVs), including exosomes and microvesicles, are involved in intercellular communication by transferring biomolecules such as mRNA, which has been shown to be as essential biomarkers for many physiological and pathological conditions such as diabetic nephropathy (DN). This study aimed to investigate the expression of CDH1, CDH2, MCP-1, and PAI-1 mRNAs in blood EVs of DN patients and to determine their accuracy in predicting early-stage DN.

METHODS

We recruited 196 participants, including 35 overt DN patients, 53 incipient DN patients, 62 diabetic patients (DM), and 46 healthy individuals. Quantification of the mRNA profile of blood EVs was performed using the qRT-PCR method. The diagnostic performance of mRNA was evaluated using receiver operating characteristic analysis.

RESULTS

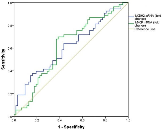
The mRNA expression of CDH2 and MCP-1 was downregulated in overt DN group (0.22-fold change and 0.15-fold change, respectively) and incipient DN group (0.60-fold change and 0.43-fold change, respectively) compared to DM group (1.72-fold change and 2.77-fold change, respectively), while PAI-1 mRNA expression decreased in incipient DN group (0.70-fold change) and DM group (0.58-fold change) compared to control. However, the expression level of CDH1 mRNA was not significantly different among the four groups (p = 0.408). Moreover, CDH2 and MCP-1 mRNAs inversely correlated with creatinine (r = -0.370 and r = -0.361, p<0.001) and Alb/Cr ratio (r = -0.355 and r = -0.297, p<0.001). 1/CDH2 mRNA also predicted overt DN with an accuracy of 0.75 (95%CI: 0.65-0.85) and incipient DN with an accuracy of 0.61 (95%CI: 0.50-0.71) while 1/MCP-1 mRNA had an accuracy of 0.66 (95%CI: 0.55-0.77) for overt DN prediction and an accuracy of 0.61 (95%CI: 0.51-0.71) for incipient DN prediction.

CONCLUSION

CDH2 and MCP-1 mRNAs expression in blood EVs was decreased with the development of DN, suggesting the renoprotective effect of these mRNAs in diabetic individuals. Moreover, their quantifications could serve as diagnostic biomarkers for early-stage DN.

摘要

背景

细胞外囊泡(EVs),包括外泌体和微囊泡,通过转移 mRNA 等生物分子参与细胞间通讯,mRNA 已被证明是许多生理和病理状况(如糖尿病肾病(DN))的重要生物标志物。本研究旨在探讨 DN 患者血液 EVs 中 CDH1、CDH2、MCP-1 和 PAI-1 mRNA 的表达,并确定其在预测早期 DN 中的准确性。

方法

我们招募了 196 名参与者,包括 35 名显性 DN 患者、53 名早期 DN 患者、62 名糖尿病患者(DM)和 46 名健康个体。使用 qRT-PCR 方法定量检测血液 EVs 的 mRNA 谱。使用受试者工作特征分析评估 mRNA 的诊断性能。

结果

与 DM 组相比,显性 DN 组(分别下调 0.22 倍和 0.15 倍)和早期 DN 组(分别下调 0.60 倍和 0.43 倍)中 CDH2 和 MCP-1 的 mRNA 表达降低,而 PAI-1 mRNA 表达在早期 DN 组(下调 0.70 倍)和 DM 组(下调 0.58 倍)中降低。然而,四组间 CDH1 mRNA 的表达水平无显著差异(p = 0.408)。此外,CDH2 和 MCP-1 mRNAs 与肌酐(r = -0.370 和 r = -0.361,p<0.001)和 Alb/Cr 比值(r = -0.355 和 r = -0.297,p<0.001)呈负相关。1/CDH2 mRNA 也可准确预测显性 DN,准确率为 0.75(95%CI:0.65-0.85),预测早期 DN 的准确率为 0.61(95%CI:0.50-0.71),而 1/MCP-1 mRNA 预测显性 DN 的准确率为 0.66(95%CI:0.55-0.77),预测早期 DN 的准确率为 0.61(95%CI:0.51-0.71)。

结论

DN 发展过程中血液 EVs 中 CDH2 和 MCP-1 mRNA 的表达降低,提示这些 mRNA 在糖尿病个体中具有肾保护作用。此外,它们的定量可以作为早期 DN 的诊断生物标志物。

https://cdn.ncbi.nlm.nih.gov/pmc/blobs/2310/8975111/a6910fc797d7/pone.0265619.g005.jpg
https://cdn.ncbi.nlm.nih.gov/pmc/blobs/2310/8975111/214becc10a23/pone.0265619.g001.jpg
https://cdn.ncbi.nlm.nih.gov/pmc/blobs/2310/8975111/0c39f14fa560/pone.0265619.g002.jpg
https://cdn.ncbi.nlm.nih.gov/pmc/blobs/2310/8975111/3006aa18acba/pone.0265619.g003.jpg
https://cdn.ncbi.nlm.nih.gov/pmc/blobs/2310/8975111/8a7eafbce4a5/pone.0265619.g004.jpg
https://cdn.ncbi.nlm.nih.gov/pmc/blobs/2310/8975111/a6910fc797d7/pone.0265619.g005.jpg
https://cdn.ncbi.nlm.nih.gov/pmc/blobs/2310/8975111/214becc10a23/pone.0265619.g001.jpg
https://cdn.ncbi.nlm.nih.gov/pmc/blobs/2310/8975111/0c39f14fa560/pone.0265619.g002.jpg
https://cdn.ncbi.nlm.nih.gov/pmc/blobs/2310/8975111/3006aa18acba/pone.0265619.g003.jpg
https://cdn.ncbi.nlm.nih.gov/pmc/blobs/2310/8975111/8a7eafbce4a5/pone.0265619.g004.jpg
https://cdn.ncbi.nlm.nih.gov/pmc/blobs/2310/8975111/a6910fc797d7/pone.0265619.g005.jpg

相似文献

1
The role of CDH2 and MCP-1 mRNAs of blood extracellular vesicles in predicting early-stage diabetic nephropathy.血液细胞外囊泡中 CDH2 和 MCP-1 mRNAs 在预测早期糖尿病肾病中的作用。
PLoS One. 2022 Apr 1;17(4):e0265619. doi: 10.1371/journal.pone.0265619. eCollection 2022.
2
WT1 and ACE mRNAs of blood extracellular vesicle as biomarkers of diabetic nephropathy.血液细胞外囊泡中的 WT1 和 ACE mRNAs 作为糖尿病肾病的生物标志物。
J Transl Med. 2021 Jul 10;19(1):299. doi: 10.1186/s12967-021-02964-6.
3
Urinary small extracellular vesicles derived CCL21 mRNA as biomarker linked with pathogenesis for diabetic nephropathy.尿中小细胞外囊泡衍生的 CCL21 mRNA 作为与糖尿病肾病发病机制相关的生物标志物。
J Transl Med. 2021 Aug 17;19(1):355. doi: 10.1186/s12967-021-03030-x.
4
A pilot trial assessing urinary gene expression profiling with an mRNA array for diabetic nephropathy.评估用于糖尿病肾病的 mRNA 芯片的尿基因表达谱的初步试验。
PLoS One. 2012;7(5):e34824. doi: 10.1371/journal.pone.0034824. Epub 2012 May 18.
5
Diabetic Nephropathy: Perspective on Extracellular Vesicles.糖尿病肾病:细胞外囊泡的研究视角。
Front Immunol. 2020 Jun 3;11:943. doi: 10.3389/fimmu.2020.00943. eCollection 2020.
6
[Effect of ginsenoside Rgl on the expression of TNF-alpha and MCP-1 in rats with diabetic nephropathy].人参皂苷Rg1对糖尿病肾病大鼠肿瘤坏死因子-α和单核细胞趋化蛋白-1表达的影响
Sichuan Da Xue Xue Bao Yi Xue Ban. 2009 May;40(3):466-71.
7
Assessment of two novel renal tubular proteins in type 2 diabetic patients with nephropathy.评估 2 型糖尿病肾病患者的两种新型肾小管蛋白。
J Investig Med. 2020 Mar;68(3):748-755. doi: 10.1136/jim-2019-001135. Epub 2019 Nov 12.
8
Urinary monocyte chemoattractant protein-1 and vitamin D-binding protein as biomarkers for early detection of diabetic nephropathy in type 2 diabetes mellitus.尿单核细胞趋化蛋白-1和维生素D结合蛋白作为2型糖尿病患者早期糖尿病肾病检测的生物标志物。
Mol Cell Biochem. 2015 Oct;408(1-2):25-35. doi: 10.1007/s11010-015-2479-y. Epub 2015 Jun 24.
9
Enhanced glomerular Toll-like receptor 4 expression and signaling in patients with type 2 diabetic nephropathy and microalbuminuria.2 型糖尿病肾病伴微量白蛋白尿患者肾小球 Toll 样受体 4 表达和信号增强。
Kidney Int. 2014 Dec;86(6):1229-43. doi: 10.1038/ki.2014.116. Epub 2014 Apr 30.
10
Analysis of circulating lncRNA expression profiles in patients with diabetes mellitus and diabetic nephropathy: Differential expression profile of circulating lncRNA
.糖尿病及糖尿病肾病患者循环lncRNA表达谱分析:循环lncRNA的差异表达谱
Clin Nephrol. 2019 Jul;92(1):25-35. doi: 10.5414/CN109525.

引用本文的文献

1
Emerging roles of exosomes in the diagnosis and treatment of kidney diseases.外泌体在肾脏疾病诊断和治疗中的新作用。
Front Pharmacol. 2025 Apr 16;16:1525314. doi: 10.3389/fphar.2025.1525314. eCollection 2025.
2
Research progress on small extracellular vesicles in diabetic nephropathy.糖尿病肾病中小细胞外囊泡的研究进展
Front Cell Dev Biol. 2025 Mar 5;13:1535249. doi: 10.3389/fcell.2025.1535249. eCollection 2025.
3
The role of exosomes in the pathogenesis and management of diabetic kidney disease: a systematic review and meta-analysis.

本文引用的文献

1
Urinary small extracellular vesicles derived CCL21 mRNA as biomarker linked with pathogenesis for diabetic nephropathy.尿中小细胞外囊泡衍生的 CCL21 mRNA 作为与糖尿病肾病发病机制相关的生物标志物。
J Transl Med. 2021 Aug 17;19(1):355. doi: 10.1186/s12967-021-03030-x.
2
Advanced-Glycation End-Products Induce Podocyte Injury and Contribute to Proteinuria.晚期糖基化终末产物诱导足细胞损伤并导致蛋白尿。
Front Med (Lausanne). 2021 Jul 1;8:685447. doi: 10.3389/fmed.2021.685447. eCollection 2021.
3
WT1 and ACE mRNAs of blood extracellular vesicle as biomarkers of diabetic nephropathy.
外泌体在糖尿病肾病发病机制及治疗中的作用:一项系统综述和荟萃分析
Front Endocrinol (Lausanne). 2024 Dec 3;15:1398382. doi: 10.3389/fendo.2024.1398382. eCollection 2024.
4
Role of MCP-1 as an inflammatory biomarker in nephropathy.MCP-1 在肾病中的炎症生物标志物作用。
Front Immunol. 2024 Jan 4;14:1303076. doi: 10.3389/fimmu.2023.1303076. eCollection 2023.
5
The Molecular Mechanism of Renal Tubulointerstitial Inflammation Promoting Diabetic Nephropathy.肾小管间质炎症促进糖尿病肾病的分子机制
Int J Nephrol Renovasc Dis. 2023 Dec 5;16:241-252. doi: 10.2147/IJNRD.S436791. eCollection 2023.
6
Multifaceted relationship between diabetes and kidney diseases: Beyond diabetes.糖尿病与肾脏疾病之间的多方面关系:超越糖尿病本身。
World J Diabetes. 2023 Oct 15;14(10):1450-1462. doi: 10.4239/wjd.v14.i10.1450.
血液细胞外囊泡中的 WT1 和 ACE mRNAs 作为糖尿病肾病的生物标志物。
J Transl Med. 2021 Jul 10;19(1):299. doi: 10.1186/s12967-021-02964-6.
4
How to Assess Diabetic Kidney Disease Progression? From Albuminuria to GFR.如何评估糖尿病肾病的进展?从蛋白尿到肾小球滤过率。
J Clin Med. 2021 Jun 5;10(11):2505. doi: 10.3390/jcm10112505.
5
Circulating microRNA-122, microRNA-126-3p and microRNA-146a are associated with inflammation in patients with pre-diabetes and type 2 diabetes mellitus: A case control study.循环 microRNA-122、microRNA-126-3p 和 microRNA-146a 与前驱糖尿病和 2 型糖尿病患者的炎症相关:一项病例对照研究。
PLoS One. 2021 Jun 2;16(6):e0251697. doi: 10.1371/journal.pone.0251697. eCollection 2021.
6
Urinary Extracellular Vesicles for Diabetic Kidney Disease Diagnosis.用于糖尿病肾病诊断的尿液细胞外囊泡
J Clin Med. 2021 May 11;10(10):2046. doi: 10.3390/jcm10102046.
7
mRNAs in urinary nano-extracellular vesicles as potential biomarkers for non-invasive kidney biopsy.尿液纳米细胞外囊泡中的mRNA作为非侵入性肾活检的潜在生物标志物。
Biomed Rep. 2021 Jan;14(1):11. doi: 10.3892/br.2020.1387. Epub 2020 Nov 12.
8
Urinary podocyte mRNAs precede microalbuminuria as a progression risk marker in human type 2 diabetic nephropathy.尿足细胞 mRNA 先于微量白蛋白尿,成为人类 2 型糖尿病肾病进展的风险标志物。
Sci Rep. 2020 Oct 23;10(1):18209. doi: 10.1038/s41598-020-75320-1.
9
Identification of hub genes in diabetic kidney disease via multiple-microarray analysis.通过多重微阵列分析鉴定糖尿病肾病中的枢纽基因
Ann Transl Med. 2020 Aug;8(16):997. doi: 10.21037/atm-20-5171.
10
Systems-level differential gene expression analysis reveals new genetic variants of oral cancer.系统水平的差异基因表达分析揭示了口腔癌的新遗传变异。
Sci Rep. 2020 Sep 4;10(1):14667. doi: 10.1038/s41598-020-71346-7.