Suppr超能文献

在总量管制与交易和补贴机制下的供应链减排与定价。

Emissions reduction and pricing of supply chain under cap-and-trade and subsidy mechanisms.

机构信息

School of Business Administration, Shanghai University of Finance and Economics Zhejiang College, Jinhua, Zhejiang, China.

School of Marxism, Shanghai University of Finance and Economics Zhejiang College, Jinhua, Zhejiang, China.

出版信息

PLoS One. 2022 Apr 1;17(4):e0266413. doi: 10.1371/journal.pone.0266413. eCollection 2022.

Abstract

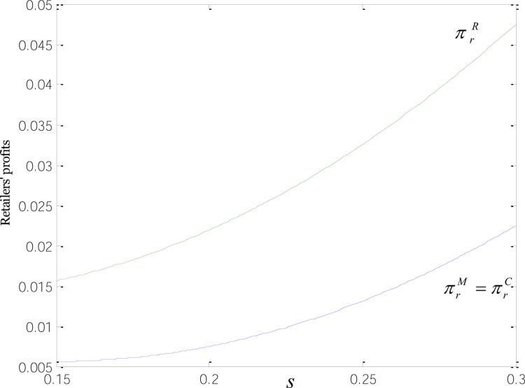
This paper explored how the government provides low-carbon subsidies for the manufacturers, retailers, and consumers in a secondary supply chain under cap-and-trade scheme. We calculated the best prices, emissions reductions, and the demands for common and low-carbon products when subsidizing each of the abovementioned market players. In particular, a comparative analysis of their equilibrium outcomes was made thereafter. The MATLAB simulation found that the optimal emissions reductions under the three subsidy modes were even and positively correlated to low-carbon subsidies, which, however, negatively correlated to the prices of both product types. Higher subsidies drove up demand for low-carbon products and dragged down that for common goods. But the prices of these products maintained the highest levels when consumers were subsidized; demand for common products was greater when subsidies went to retailers than to manufacturers or consumers, consequently generating the largest emissions and highest profits. When the subsidies were greater than [Formula: see text], all three subsidy modes saw a drop in total carbon emissions. That being so, the government should offer proper subsidies before seeing energy-saving progress.

摘要

本文探讨了在总量管制与排放交易制度下,政府如何为二级供应链中的制造商、零售商和消费者提供低碳补贴。我们计算了补贴上述每个市场参与者时,普通和低碳产品的最佳价格、减排量和需求。特别是,此后还对它们的均衡结果进行了比较分析。MATLAB 模拟发现,在三种补贴模式下,最优减排量与低碳补贴呈均匀正相关,而与两种产品类型的价格呈负相关。较高的补贴提高了低碳产品的需求,降低了普通商品的需求。但是,当消费者获得补贴时,这些产品的价格保持在最高水平;当补贴给零售商而不是制造商或消费者时,对普通商品的需求更大,从而产生最大的排放量和最高的利润。当补贴大于[公式:见正文]时,三种补贴模式的总碳排放量都有所下降。因此,政府应该在看到节能进展之前提供适当的补贴。

https://cdn.ncbi.nlm.nih.gov/pmc/blobs/ffb9/8975140/ed0618fa8c85/pone.0266413.g001.jpg

文献AI研究员

20分钟写一篇综述,助力文献阅读效率提升50倍。

立即体验

用中文搜PubMed

大模型驱动的PubMed中文搜索引擎

马上搜索

文档翻译

学术文献翻译模型,支持多种主流文档格式。

立即体验