Suppr超能文献

开发优化的针对 SARS-CoV-2 3CL 蛋白酶的类药小分子抑制剂,用于治疗 COVID-19。

Development of optimized drug-like small molecule inhibitors of the SARS-CoV-2 3CL protease for treatment of COVID-19.

机构信息

Department of Chemistry, Columbia University, New York, NY, 10027, USA.

Aaron Diamond AIDS Research Center, Columbia University Irving Medical Center, New York, NY, 10032, USA.

出版信息

Nat Commun. 2022 Apr 7;13(1):1891. doi: 10.1038/s41467-022-29413-2.

Abstract

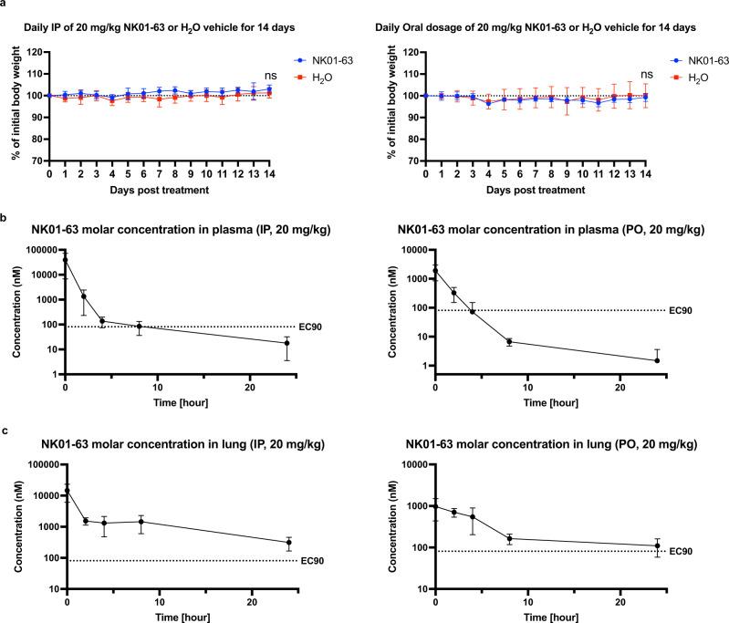
The SARS-CoV-2 3CL protease is a critical drug target for small molecule COVID-19 therapy, given its likely druggability and essentiality in the viral maturation and replication cycle. Based on the conservation of 3CL protease substrate binding pockets across coronaviruses and using screening, we identified four structurally distinct lead compounds that inhibit SARS-CoV-2 3CL protease. After evaluation of their binding specificity, cellular antiviral potency, metabolic stability, and water solubility, we prioritized the GC376 scaffold as being optimal for optimization. We identified multiple drug-like compounds with <10 nM potency for inhibiting SARS-CoV-2 3CL and the ability to block SARS-CoV-2 replication in human cells, obtained co-crystal structures of the 3CL protease in complex with these compounds, and determined that they have pan-coronavirus activity. We selected one compound, termed coronastat, as an optimized lead and characterized it in pharmacokinetic and safety studies in vivo. Coronastat represents a new candidate for a small molecule protease inhibitor for the treatment of SARS-CoV-2 infection for eliminating pandemics involving coronaviruses.

摘要

SARS-CoV-2 3CL 蛋白酶是小分子 COVID-19 治疗的关键药物靶点,因为它在病毒成熟和复制周期中具有潜在的可成药性和重要性。基于冠状病毒 3CL 蛋白酶底物结合口袋的保守性,并通过筛选,我们鉴定了四种结构不同的先导化合物,它们能抑制 SARS-CoV-2 3CL 蛋白酶。在评估了它们的结合特异性、细胞抗病毒效力、代谢稳定性和水溶性之后,我们将 GC376 支架作为优化的最佳选择。我们鉴定了多种具有 <10 nM 抑制 SARS-CoV-2 3CL 活性的类药性化合物,以及阻断人细胞中 SARS-CoV-2 复制的能力,获得了这些化合物与 3CL 蛋白酶复合物的共晶结构,并确定它们具有泛冠状病毒活性。我们选择了一种名为 coronastat 的化合物作为优化的先导化合物,并在体内进行了药代动力学和安全性研究。Coronastat 是一种用于治疗 SARS-CoV-2 感染的小分子蛋白酶抑制剂的新候选药物,可用于消除涉及冠状病毒的大流行。

https://cdn.ncbi.nlm.nih.gov/pmc/blobs/169b/8989888/a5bc6df7b7c0/41467_2022_29413_Fig1_HTML.jpg

文献检索

告别复杂PubMed语法,用中文像聊天一样搜索,搜遍4000万医学文献。AI智能推荐,让科研检索更轻松。

立即免费搜索

文件翻译

保留排版,准确专业,支持PDF/Word/PPT等文件格式,支持 12+语言互译。

免费翻译文档

深度研究

AI帮你快速写综述,25分钟生成高质量综述,智能提取关键信息,辅助科研写作。

立即免费体验