Hospital de La Santa Creu I Sant Pau, Universitat Autonoma de Barcelona, Barcelona, Spain.
Centre of Biomedical Investigation Network for Neurodegenerative Diseases (CIBERNED), Madrid, Spain.
Mol Neurodegener. 2022 Apr 8;17(1):29. doi: 10.1186/s13024-022-00534-y.
Synapse degeneration is an early event in pathological frontotemporal lobar degeneration (FTLD). Consequently, a surrogate marker of synapse loss could be used to monitor early pathologic changes in patients with underlying FTLD. The aim of this study was to evaluate the relationship of antemortem cerebrospinal fluid (CSF) levels of 8 synaptic proteins with postmortem global tau and TDP-43 burden and cognitive performance and to assess their diagnostic capacity in a neuropathological FTLD cohort.
We included patients with a neuropathological confirmation of FTLD-Tau (n = 24, mean age-at-CSF 67 years ± 11), FTLD-TDP (n = 25, 66 years ± 9) or AD (n = 25, 73 years ± 6) as well as cognitively normal controls (n = 35, 69 years ± 7) from the Penn FTD Center and ADRC. We used a semi-quantitative measure of tau and TDP-43 inclusions to quantify pathological burden across 16 brain regions. Statistical methods included Spearman rank correlations, one-way analysis of covariance, ordinal regression, step-wise multiple linear regression and receiver-operating characteristic curves.
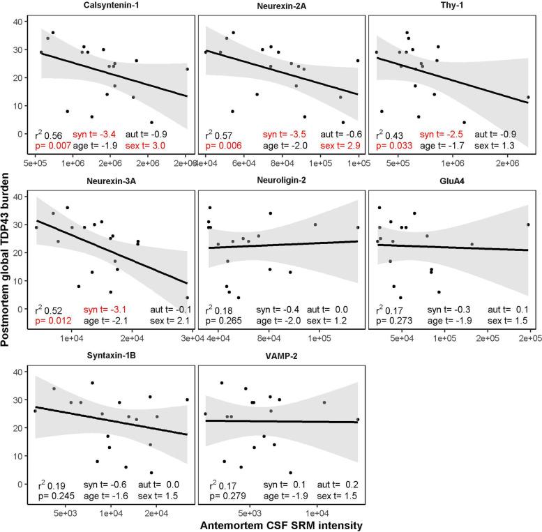
CSF calsyntenin-1 and neurexin-2a were correlated in all patient groups (r = .55 to .88). In FTLD-TDP, we observed low antemortem CSF levels of calsyntenin-1 and neurexin-2a compared to AD (.72-fold, p = .001, .77-fold, p = .04, respectively) and controls (.80-fold, p = .02, .78-fold, p = .02, respectively), which were inversely associated with post-mortem global TDP-43 burden (regression r = .56, p = .007 and r = .57, p = .006, respectively). A multimarker panel including calsyntenin-1 was associated with TDP-43 burden (r = .69, p = .003) and MMSE score (r = .19, p = .03) in FTLD. A second multimarker synaptic panel, also including calsyntenin-1, was associated with MMSE score in FTLD-tau (r = .49, p = .04) and improved diagnostic performance to discriminate FTLD-Tau and FTLD-TDP neuropathologic subtypes (AUC = .83).
These synaptic panels have potential in the differential diagnosis of FTLD neuropathologic subtypes and as surrogate markers of cognitive performance in future clinical trials targeting TDP-43 or tau.
突触退化是病理性额颞叶变性(FTLD)的早期事件。因此,突触丢失的替代标志物可用于监测潜在 FTLD 患者的早期病理变化。本研究旨在评估 8 种突触蛋白的脑脊液(CSF)水平与死后总 tau 和 TDP-43 负担以及认知表现的关系,并评估它们在神经病理学 FTLD 队列中的诊断能力。
我们纳入了宾夕法尼亚州 FTLD 中心和 ADRC 的神经病理学确诊的 FTLD-Tau(n=24,CSF 时的平均年龄为 67±11 岁)、FTLD-TDP(n=25,66±9 岁)或 AD(n=25,73±6 岁)患者以及认知正常对照(n=35,69±7 岁)。我们使用 tau 和 TDP-43 包涵体的半定量测量来量化 16 个大脑区域的病理负担。统计方法包括 Spearman 秩相关、单因素方差分析、有序回归、逐步多元线性回归和受试者工作特征曲线。
在所有患者组中,CSF 钙黏蛋白-1 和神经连接蛋白-2a 均呈相关性(r=.55 至.88)。在 FTLD-TDP 中,与 AD(0.72 倍,p=0.001,0.77 倍,p=0.04)和对照组(0.80 倍,p=0.02,0.78 倍,p=0.02)相比,我们观察到 FTLD-TDP 患者的 CSF 钙黏蛋白-1 和神经连接蛋白-2a 水平较低,这与死后的总 TDP-43 负担呈负相关(回归 r=.56,p=0.007 和 r=.57,p=0.006)。包括钙黏蛋白-1 在内的多标志物面板与 TDP-43 负担(r=.69,p=0.003)和 MMSE 评分(r=.19,p=0.03)相关 FTLD。第二个包括钙黏蛋白-1 在内的多突触蛋白面板与 FTLD-tau 中的 MMSE 评分相关(r=.49,p=0.04),并提高了鉴别 FTLD-Tau 和 FTLD-TDP 神经病理亚型的诊断性能(AUC=.83)。
这些突触蛋白在 FTLD 神经病理亚型的鉴别诊断以及作为靶向 TDP-43 或 tau 的未来临床试验中认知表现的替代标志物方面具有潜力。